Leveraging Accelerometer Data for Lameness Detection in Dairy Cows: A Longitudinal Study of Six Farms in Germany
Abstract
:Simple Summary
Abstract
1. Introduction
2. Materials and Methods
2.1. Animal Management and Housing
2.2. Locomotion Assessment and Daily Milk Data
2.3. Data Description
2.4. Statistical Modeling
3. Results
3.1. Data Processing
3.2. Model Description
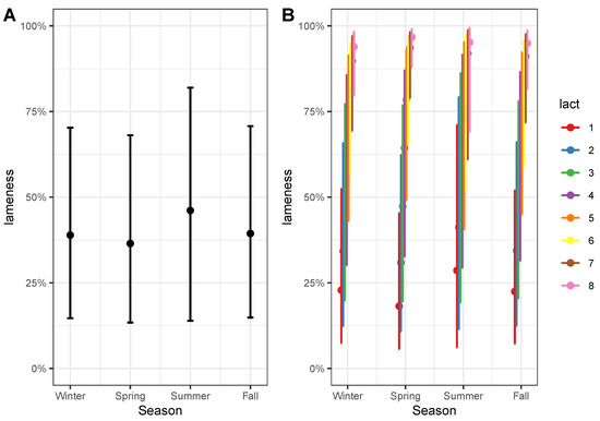
3.3. Model Predictions
4. Discussion
4.1. Interaction between Lameness Risk Factors and Seasons
4.2. Quality of Fit of the Model
5. Conclusions
Supplementary Materials
Author Contributions
Funding
Institutional Review Board Statement
Informed Consent Statement
Data Availability Statement
Conflicts of Interest
References
- Archer, S.; Bell, N.; Huxley, J. Lameness in UK dairy cows: A review of the current status. Practice 2010, 32, 492–504. [Google Scholar] [CrossRef]
- Olechnowicz, J.; Jaskowski, J.M. Behaviour of lame cows: A review. Vet. Med. 2011, 56, 581–588. [Google Scholar] [CrossRef]
- Sprecher DE, A.; Hostetler, D.E.; Kaneene, J.B. A lameness scoring system that uses posture and gait to predict dairy cattle reproductive performance. Theriogenology 1997, 47, 1179–1187. [Google Scholar] [CrossRef] [PubMed]
- Oehm, A.W.; Knubben-Schweizer, G.; Rieger, A.; Stoll, A.; Hartnack, S. A systematic review and meta-analyses of risk factors associated with lameness in dairy cows. Bmc Vet. Res. 2019, 15, 1–14. [Google Scholar] [CrossRef] [PubMed]
- Mandel, R.; Harazy, H.; Gygax, L.; Nicol, C.J.; Ben-David, A.; Whay, H.R.; Klement, E. Detection of lameness in dairy cows using a grooming device. J. Dairy Sci. 2018, 101, 1511–1517. [Google Scholar] [CrossRef] [PubMed]
- Thomsen, P.T.; Shearer, J.K.; Houe, H. Prevalence of lameness in dairy cows. Vet. J. 2023, 295, 105975. [Google Scholar] [CrossRef] [PubMed]
- Rilanto, T.; Reimus, K.; Orro, T.; Emanuelson, U.; Viltrop, A.; Mõtus, K. Culling reasons and risk factors in estonian dairy cows. BMC Vet. Res. 2020, 16, 1–16. [Google Scholar] [CrossRef]
- Schlageter-Tello, A.; Bokkers, E.A.M.; Koerkamp, P.W.G.G.; Van Hertem, T.; Viazzi, S.; Romanini, C.E.B.; Halachmi, I.; Bahr, C.; Berckmans, D.; Lokhorst, K. Manual and automatic locomotion scoring systems in dairy cows: A review. Prev. Vet. Med. 2014, 116, 12–25. [Google Scholar] [CrossRef]
- O’Leary, N.W.; Byrne, D.T.; O’Connor, A.H.; Shalloo, L. Invited review: Cattle lameness detection with accelerometers. J. Dairy Sci. 2020, 103, 3895–3911. [Google Scholar] [CrossRef]
- Edwards, J.L.; Tozer, P.R. Using activity and milk yield as predictors of fresh cow disorders. J. Dairy Dcience 2004, 87, 524–531. [Google Scholar] [CrossRef]
- Liboreiro, D.N.; Machado, K.S.; Silva, P.R.B.; Maturana, M.M.; Nishimura, T.K.; Brand, A.P.; Endres, I.; Chebel, R.C. Characterization of peripartum rumination and activity of cows diagnosed with metabolic and uterine diseases. J. Dairy Sci. 2015, 98, 6812–6827. [Google Scholar] [CrossRef] [PubMed]
- olano, L.; Barkema, H.; Pajor, E.; Mason, S.; LeBlanc, S.; Nash, C.; Haley, D.; Pellerin, D.; Rushen, J.; de Passillé, A.; et al. Associations between lying behavior and lameness in canadian holstein-friesian cows housed in freestall barns. J. Dairy Sci. 2016, 99, 2086–2101. [Google Scholar]
- Westin, R.; Vaughan, A.; de Passillé, A.M.; Devries, T.J.; Pajor, E.A.; Pellerin, D.; Siegford, J.M.; Vasseur, E.; Rushen, J. Lying times of lactating cows on dairy farms with automatic milking systems and the relation to lameness, leg lesions, and body condition score. J. Dairy Sci. 2016, 99, 551–561. [Google Scholar] [CrossRef] [PubMed]
- Reith, S.; Hoy, S. Behavioral signs of estrus and the potential of fully automated systems for detection of estrus in dairy cattle. Animal 2018, 12, 398–407. [Google Scholar] [CrossRef] [PubMed]
- Tippenhauer, C.M.; Plenio, J.L.; Madureira, A.M.L.; Cerri, R.L.A.; Heuwieser, W.; Borchardt, S. Factors associated with estrous expression and subsequent fertility in lactating dairy cows using automated activity monitoring. J. Dairy Sci. 2021, 104, 6267–6282. [Google Scholar] [CrossRef] [PubMed]
- Tippenhauer, C.; Plenio, J.L.; Madureira, A.; Cerri, R.; Heuwieser, W.; Borchardt, S. Timing of artificial insemination using fresh or frozen semen after automated activity monitoring of estrus in lactating dairy cows. J. Dairy Sci. 2021, 104, 3585–3595. [Google Scholar] [CrossRef] [PubMed]
- Alawneh, J.I.; Laven, R.A.; Stevenson, M.A. Interval between detection of lameness by locomotion scoring and treatment for lameness: A survival analysis. Vet. J. 2012, 193, 622–625. [Google Scholar] [CrossRef]
- Jiang, B.; Song, H.; He, D. Lameness detection of dairy cows based on a double normal background statistical model. Comput. Electron. Agric. 2019, 158, 140–149. [Google Scholar] [CrossRef]
- Miekley, B.; Traulsen, I.; Krieter, J. Detection of mastitis and lameness in dairy cows using wavelet analysis. Livestig. Sci. 2012, 148, 227–236. [Google Scholar] [CrossRef]
- Warnick, L.; Janssen, D.; Guard, C.; Gröhn, Y. The effect of lameness on milk production in dairy cows. J. Dairy Sci. 2001, 84, 1988–1997. [Google Scholar] [CrossRef]
- Miguel-Pacheco, G.G.; Kaler, J.; Remnant, J.; Cheyne, L.; Abbott, C.; French, A.P.; Pridmore, T.P.; Huxley, J.N. Behavioural changes in dairy cows with lameness in an automatic milking system. Appl. Anim. Behav. Sci. 2014, 150, 1–8. [Google Scholar] [CrossRef]
- Van Hertem, T.; Maltz, E.; Antler, A.; Romanini, C.; Viazzi, S.; Bahr, C.; Schlageter-Tello, A.; Lokhorst, C.; Berckmans, D.; Halachmi, I. Lameness detection based on multivariate continuous sensing of milk yield, rumination, and neck activity. J. Dairy Sci. 2013, 96, 4286–4298. [Google Scholar] [CrossRef] [PubMed]
- Miekley, B.; Traulsen, I.; Krieter, J. Principal component analysis for the early detection of mastitis and lameness in dairy cows. J. Dairy Res. 2013, 80, 335–343. [Google Scholar] [CrossRef] [PubMed]
- Van Hertem, T.; Bahr, C.; Tello, A.S.; Viazzi, S.; Steensels, M.; Romanini, C.; Lokhorst, C.; Maltz, E.; Halachmi, I.; Berckmans, D. Lameness detection in dairy cattle: Single predictor v. multivariate analysis of image-based posture processing and behaviour and performance sensing. Animal 2016, 10, 1525–1532. [Google Scholar] [CrossRef] [PubMed]
- Rutten, C.J.; Velthuis, A.; Steeneveld, W.; Hogeveen, H. Invited review: Sensors to support health management on dairy farms. J. Dairy Sci. 2013, 96, 1928–1952. [Google Scholar] [CrossRef]
- Sundrum, A.; Anderssen, R.; Postler, G. Animal Needs Index 200/1994—A Manual for the Assessment of Housing Systems; Köllen Druck und Verlag GmbH: Aachen, Germany, 1994. [Google Scholar]
- Robert, B.; White, B.J.; Renter, D.G.; Larson, R.L. Evaluation of three-dimensional accelerometers to monitor and classify behavior patterns in cattle. Comput. Electron. Agric. 2009, 67, 80–84. [Google Scholar] [CrossRef]
- Szura, G.; Schäfers, S.; von Soosten, D.; Meyer, U.; Klüß, J.; Breves, G.; Dänicke, S.; Rehage, J.; Ruda, L. Gain and loss of subcutaneous and abdominal adipose tissue depot mass of german holstein dairy cows with different body conditions during the transition period. J. Dairy Sci. 2020, 103, 12015–12032. [Google Scholar] [CrossRef]
- Van Rossum, G.; Drake, F.L. Python 3 Reference Manual; CreateSpace: Valley, CA, USA, 2009. [Google Scholar]
- R Core Team. R: A Language and Environment for Statistical Computing; R Foundation for Statistical Computing: Vienna, Austria, 2020. [Google Scholar]
- Lüdecke, D. ggeffects: Tidy data frames of marginal effects from regression models. J. Open Source Softw. 2018, 3, 772. [Google Scholar] [CrossRef]
- Randall, L.; Green, M.; Green, L.E.; Chagunda, M.; Mason, C.; Archer, S.; Huxley, J. The contribution of previous lameness events and body condition score to the occurrence of lameness in dairy herds: A study of 2 herds. J. Dairy Sci. 2018, 101, 1311–1324. [Google Scholar] [CrossRef]
- Heinicke, J.; Ibscher, S.; Belik, V.; Amon, T. Effects of the Accumulation of Heat Load Duration on the Activity Behaviour of Lactating Dairy Cows. In Proceedings of the New Engineering Concepts for Valued Agriculture. European Conference of Agricultural Engineering EurAgEng 2018, Wageningen, The Netherlands, 8–12 July 2018; pp. 741–748. [Google Scholar]
- Heinicke, J.; Ibscher, S.; Belik, V.; Amon, T. Cow individual activity response to the accumulation of heat load duration. J. Therm. Biol. 2019, 82, 23–32. [Google Scholar] [CrossRef]
- Will, M.K.; Büttner, K.; Kaufholz, T.; Müller-Graf, C.; Selhorst, T.; Krieter, J. Accuracy of a real-time location system in static positions under practical conditions: Prospects to track group-housed sows. Comput. Electron. Agric. 2017, 142, 473–484. [Google Scholar] [CrossRef]
- Rocha, L.E.; Terenius, O.; Veissier, I.; Meunier, B.; Nielsen, P.P. Persistence of sociality in group dynamics of dairy cattle. Appl. Anim. Behav. Sci. 2020, 223, 104921. [Google Scholar] [CrossRef]
- Eriksson, H.K.; Daros, R.R.; von Keyserlingk, M.A.; Weary, D.M. Effects of case definition and assessment frequency on lameness incidence estimates. J. Dairy Sci. 2020, 103, 638–648. [Google Scholar] [CrossRef] [PubMed]
- Andresen, N.; Wöllhaf, M.; Hohlbaum, K.; Lewejohann, L.; Hellwich, O.; Thöne-Reineke, C.; Belik, V. Towards a fully automated surveillance of well-being status in laboratory mice using deep learning: Starting with facial expression analysis. PLoS ONE 2020, 15, e0228059. [Google Scholar] [CrossRef]
- Jarchi, D.; Kaler, J.; Sanei, S. Lameness detection in cows using hierarchical deep learning and synchrosqueezed wavelet transform. IEEE Sens. J. 2021, 21, 9349–9358. [Google Scholar] [CrossRef]
- Broomé, S.; Gleerup, K.B.; Andersen, P.H.; Kjellstrom, H. Dynamics are important for the recognition of equine pain in video. In Proceedings of the IEEE/CVF Conference on Computer Vision and Pattern Recognition, Long Beach, CA, USA, 15–20 June 2019; pp. 12667–12676. [Google Scholar]
- Postnikov, E.B.; Esmedljaeva, D.A.; Lavrova, A.I. A catboost machine learning for prognosis of pathogen’s drug resistance in pulmonary tuberculosis. In Proceedings of the 2020 IEEE 2nd Global Conference on Life Sciences and Technologies (LifeTech), Kyoto, Japan, 10–12 March 2020; pp. 86–87. [Google Scholar]




| Variable | Meaning |
|---|---|
| mean_impulses | Fixed effect referring to the individual cow’s activity (number of impulses) averaged over 3 days preceding the locomotion scoring |
| mean_lyi | Fixed effect referring to the individual cow’s activity (lying duration)averaged over 3 days preceding the locomotion scoring |
| mean_yield | Fixed effect referring to the individual cow’s developments of daily milk yield averaged over 3 days preceding the locomotion scoring |
| lact | Fixed effect of lactation number (parity) considered as a continuous variable |
| DIM | Fixed effects of the stage of lactation (days in milk) considered as a continuous variable |
| season | Fixed effect of season which can take values: Spring, Summer, Fall, and Winter |
| Random effect (random intercept) of the i-th animal () | |
| Farm as random effect | |
| Random residual |
| Fixed Effects | Estimate | Std. Error | Odds Ratios | OR CI | OR CI | p-Value | |
|---|---|---|---|---|---|---|---|
| Lower | Upper | ||||||
| Intercept | −1.144 | 7.223 | 0.320 | 0.080 | 1.310 | 0.113 | |
| mean_impulses | −2.011 | 1.090 | 1.001 | 0.995 | 1.002 | 0.065 | . |
| mean_lyi | −5.070 | 2.790 | 0.990 | 0.990 | 1.002 | 0.069 | . |
| lact | 6.350 | 5.570 | 1.890 | 1.690 | 2.100 | <2 | *** |
| DIM | −1.480 | 8.670 | 1.000 | 0.996 | 1.003 | 0.089 | . |
| mean_yield | 1.150 | 3.620 | 1.001 | 0.990 | 1.010 | 0.751 | |
| season_Spring | −6.330 | 3.070 | 0.530 | 0.290 | 0.970 | 0.039 | * |
| season_Summer | −9.560 | 1.680 | 0.380 | 0.010 | 1.029 | 0.569 | |
| season_Fall | −1.270 | 0.350 | 3.930 | 0.130 | 0.610 | 0.001 | ** |
| mean_impulses:season_Spring | 2.640 | 1.570 | 1.001 | 0.997 | 1.003 | 0.867 | |
| mean_impulses:season_Summer | −2.670 | 4.940 | 0.993 | 0.984 | 1.003 | 0.589 | . |
| mean_impulses:season_Fall | 5.210 | 1.830 | 1.002 | 0.999 | 1.001 | 0.004 | ** |
| mean_lyi:DIM | 1.840 | 8.958 | 1.001 | 1.002 | 1.010 | 0.070 | . |
| mean_lyi:season_Spring | 1.700 | 2.590 | 1.002 | 1.002 | 1.010 | 0.513 | |
| mean_lyi:season_Summer | 7.440 | 1.360 | 1.010 | 0.980 | 1.030 | 0.584 | |
| mean_lyi:season_Fall | 6.040 | 3.180 | 1.010 | 1.002 | 1.010 | 0.057 | . |
| lact:DIM | −8.330 | 2.110 | 1.002 | 0.998 | 1.004 | 0.066 | . |
| lact:season_Spring | 1.340 | 4.520 | 1.140 | 1.050 | 1.250 | 0.003 | ** |
| lact:season_Summer | −5.760 | 1.700 | 0.940 | 0.680 | 1.320 | 0.735 | |
| lact:season_Fall | −1.080 | 5.300 | 0.990 | 0.890 | 1.100 | 0.839 | |
| mean_yield:season_Spring | 2.720 | 4.790 | 1.002 | 0.990 | 1.010 | 0.569 | |
| mean_yield:season_Summer | 4.420 | 2.760 | 1.050 | 0.990 | 1.100 | 0.109 | |
| mean_yield:season_Fall | 7.630 | 6.690 | 1.010 | 0.999 | 1.020 | 0.254 | |
| Random effects | |||||||
| Groups | Names | Variance | Std. Error | ||||
| cow:farm | Intercept | 2.32 | 1.52 | ||||
| farm | Intercept | 2.58 | 1.61 | ||||
Disclaimer/Publisher’s Note: The statements, opinions and data contained in all publications are solely those of the individual author(s) and contributor(s) and not of MDPI and/or the editor(s). MDPI and/or the editor(s) disclaim responsibility for any injury to people or property resulting from any ideas, methods, instructions or products referred to in the content. |
© 2023 by the authors. Licensee MDPI, Basel, Switzerland. This article is an open access article distributed under the terms and conditions of the Creative Commons Attribution (CC BY) license (https://creativecommons.org/licenses/by/4.0/).
Share and Cite
Lavrova, A.I.; Choucair, A.; Palmini, A.; Stock, K.F.; Kammer, M.; Querengässer, F.; Doherr, M.G.; Müller, K.E.; Belik, V. Leveraging Accelerometer Data for Lameness Detection in Dairy Cows: A Longitudinal Study of Six Farms in Germany. Animals 2023, 13, 3681. https://doi.org/10.3390/ani13233681
Lavrova AI, Choucair A, Palmini A, Stock KF, Kammer M, Querengässer F, Doherr MG, Müller KE, Belik V. Leveraging Accelerometer Data for Lameness Detection in Dairy Cows: A Longitudinal Study of Six Farms in Germany. Animals. 2023; 13(23):3681. https://doi.org/10.3390/ani13233681
Chicago/Turabian StyleLavrova, Anastasia I., Alexander Choucair, Andrea Palmini, Kathrin F. Stock, Martin Kammer, Friederike Querengässer, Marcus G. Doherr, Kerstin E. Müller, and Vitaly Belik. 2023. "Leveraging Accelerometer Data for Lameness Detection in Dairy Cows: A Longitudinal Study of Six Farms in Germany" Animals 13, no. 23: 3681. https://doi.org/10.3390/ani13233681
APA StyleLavrova, A. I., Choucair, A., Palmini, A., Stock, K. F., Kammer, M., Querengässer, F., Doherr, M. G., Müller, K. E., & Belik, V. (2023). Leveraging Accelerometer Data for Lameness Detection in Dairy Cows: A Longitudinal Study of Six Farms in Germany. Animals, 13(23), 3681. https://doi.org/10.3390/ani13233681

