Temperature-Dependent Food Consumption Rates of the Sea Urchin Mesocentrotus nudus and Top Shell Turbo sazae: Potential Impacts on Seaweed Beds
Abstract
Simple Summary
Abstract
1. Introduction
2. Materials and Methods
2.1. Animal Preparation
2.2. Experimental System
2.3. Nutrient Analysis
2.4. Feeding Assay and Consumption Rates
2.5. Statistical Analysis
3. Results
3.1. Comparison of Morphometric Data
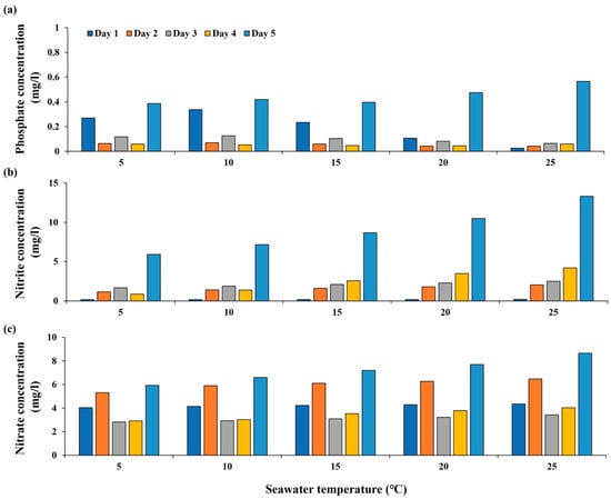
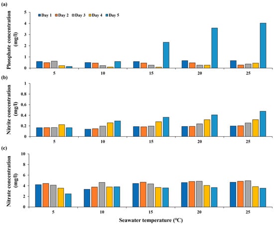
3.2. Seawater Nutrients
3.3. Food Consumption Rates
4. Discussion
5. Conclusions
Author Contributions
Funding
Institutional Review Board Statement
Informed Consent Statement
Data Availability Statement
Conflicts of Interest
References
- Pearse, J.S.; Clark, M.E.; Leighton, D.L.; Mitchell, C.T.; North, W.J. Marine waste disposal and sea urchin ecology. In Kelp Habitat Improvement Project, California Annual Report, 1969 to 1970; North, W.J., Ed.; California Institute of Technology: Pasadena, CA, USA, 1970; pp. 1–93. [Google Scholar]
- Konar, B.; Estes, J.A. The stability of boundary regions between kelp beds and deforested areas. Ecology 2003, 84, 174–185. [Google Scholar] [CrossRef]
- Ling, S.D. Range expansion of a habitat-modifying species leads to loss of taxonomic diversity: A new and impoverished reef state. Oecologia 2008, 156, 883–894. [Google Scholar] [CrossRef] [PubMed]
- Bonaviri, C.; Gianguzza, P.; Pipitone, C.; Hereu, B. Micropredation on sea urchins as a potential stabilizing process for rocky reefs. J. Sea. Res. 2012, 73, 18–23. [Google Scholar] [CrossRef]
- Sala, E.; Boudouresque, C.F.; Harmelin-Vivien, M. Fishing, trophic cascades and the structure of algal assemblages; evaluation of an old but untested paradigm. Oikos 1998, 82, 425–439. [Google Scholar] [CrossRef]
- Pinnegar, J.K.; Polunin, N.V.C.; Francour, P.; Badalamenti, F. Trophic cascades in benthic marine ecosystems: Lessons for fisheries and protected-area management. Environ. Conserv. 2000, 27, 179–200. [Google Scholar] [CrossRef]
- Steneck, R.S.; Graham, M.H.; Bourque, B.J.; Corbett, D.; Erlandson, J.M.; Estes, J.A.; Tegner, M.J. Kelp forest ecosystems: Biodiversity, stability, resilience and future. Environ. Conserv. 2002, 29, 436–459. [Google Scholar] [CrossRef]
- Filbee-Dexter, K.; Scheibling, R.E. Hurricane-mediated defoliation of kelp beds and pulsed delivery of kelp detritus to offshore sedimentary habitats. Mar. Ecol. Prog. Ser. 2012, 455, 51–64. [Google Scholar] [CrossRef]
- Kang, J.W. Illustrated Encyclopedia of Fauna & Flora of Korea, Volume 8. Marine Algae; Ministry of Education: Seoul, Republic of Korea, 1968; 465p. [Google Scholar]
- KORDI. A Preliminary Marine Ecological Study for Gojeong-Ri Power Plant Site; BSPI 00014-14-3; Korea Ocean Research & Development Institute: Ansan, Republic of Korea, 1978; 138p. [Google Scholar]
- FIRA. Barren Grounds Spreads over 60% in Bedrock on the East Sea; Press Release; FIRA: Busan, Republic of Korea, 15 July 2015. [Google Scholar]
- Elner, R.W.; Vadas, R.L., Sr. Inference in ecology: The sea urchin phenomenon in the northwestern Atlantic. Am. Nat. 1990, 136, 108–125. [Google Scholar] [CrossRef]
- Dayton, P.K.; Tegner, M.J.; Parnell, P.E.; Edwards, P.B. Temporal and spatial patterns of disturbance and recovery in a kelp forest community. Ecol. Monogr. 1992, 62, 421–445. [Google Scholar] [CrossRef]
- Pearse, J.S. Ecological role of purple sea urchins. Science 2006, 314, 940–941. [Google Scholar] [CrossRef]
- Agnetta, D.; Bonaviri, C.; Badalamenti, F.; Scianna, C.; Vizzini, S.; Gianguzza, P. Functional traits of two cooccurring sea urchins across a barren/forest patch system. J. Sea Res. 2013, 76, 170–177. [Google Scholar] [CrossRef]
- Machiguchi, Y.; Mizutori, S.; Sanbonsuga, Y. Food preference of sea urchin Strogylocentrotus nudus in laboratory. Bull. Hokkaido Natl. Fish. Res. Inst. 1994, 58, 35–43. [Google Scholar]
- Kawamata, S. Modelling the feeding rate of the sea urchin Strongylocentrotus nudus (A. agassiz) on kelp. J. Exp. Mar. Biol. Ecol. 1997, 210, 107–127. [Google Scholar] [CrossRef]
- Kim, S.K.; Kim, Y.D.; Jeon, C.Y.; Gong, Y.G.; Kim, D.S.; Kim, J.H.; Kim, M.L.; Han, H.K. Algal consumption and preference of sea urchins, Strongylocentrotus nudus, S. intermedius and abalone, Haliotis discus hannai. J. Korean Fish. Soc. 2007, 40, 133–140. [Google Scholar]
- Yoo, J.W.; Kim, H.J.; Lee, H.J.; Lee, C.G.; Kim, C.S.; Hong, J.S.; Hong, J.P.; Kim, D.S. Interaction between invertebrate grazers and seaweeds in the East Coast of Korea. J. Korean Soc. Oceanogr. 2007, 12, 125–132. [Google Scholar]
- Yang, K.M.; Jeon, B.H.; Kim, H.G.; Kim, J.H. Feeding behaviors of a sea urchin, Mesocentrotus nudus, on six common seaweeds from the east coast of Korea. Algae 2021, 36, 51–60. [Google Scholar] [CrossRef]
- Poloczanska, E.S.; Hawkins, S.J.; Southward, A.J.; Burrows, M.T. Modeling the response of populations of competing species to climate change. Ecology 2008, 89, 3138–3149. [Google Scholar] [CrossRef]
- Hawkins, S.; Sugden, H.; Mieszkowska, N.; Moore, P.; Poloczanska, E.; Leaper, R.; Herbert, R.J.; Genner, M.; Moschella, P.; Thompson, R. Consequences of climate-driven biodiversity changes for ecosystem functioning of North European rocky shores. Mar. Ecol. Prog. Ser. 2009, 396, 245–259. [Google Scholar] [CrossRef]
- Noke, R. What Is Driving the Range Extension of Gibbula umbilicalis (Gastropda, Trochidae) in the Eastern English Channel? Master’s Thesis, Bournemouth University, Bournemouth, UK, 2016. [Google Scholar]
- Team, G. GISS Surface Temperature Analysis (GISTEMP); NASA Goddard Institute for Space Studies: New York, NY, USA, 2017.
- Jung, S.; Pang, I.-C.; Lee, J.-H.; Choi, I.; Cha, H.K. Latitudinal shifts in the distribution of exploited fishes in Korean waters during the last 30 years: A consequence of climate change. Rev. Fish Biol. Fish. 2014, 24, 443–462. [Google Scholar] [CrossRef]
- KMA. Report of Global Atmosphere Watch 2018; National Institute of Meteorological Sciences: Seogwipo, Republic of Korea, 2019; p. 268. [Google Scholar]
- Gillooly, J.F.; Brown, J.H.; West, G.B.; Savage, V.M.; Charnov, E.L. Effects of size and temperature on metabolic rate. Science 2001, 293, 2248–2251. [Google Scholar] [CrossRef]
- Byrne, M.; Ho, M.; Selvakumaraswamy, P.; Nguyen, H.D.; Dworjanyn, S.A.; Davis, A.R. Temperature, but not pH, compromises sea urchin fertilization and early development under near-future climate change scenarios. Proc. R. Soc. B 2009, 276, 1883–1888. [Google Scholar] [CrossRef] [PubMed]
- Tagliarolo, M.; Porri, F.; Scharler, U.M. Temperature-induced variability in metabolic activity of ecologically important estuarine macrobenthos. Mar. Biol. 2018, 165, 23. [Google Scholar] [CrossRef]
- Huey, R.B.; Stevenson, R.D. Integrating thermal physiology and ecology of ectotherms: A discussion of approaches. Am. Zool. 1979, 19, 357–366. [Google Scholar] [CrossRef]
- Dell, A.I.; Pawar, S.; Savage, V.M. Systematic variation in the temperature dependence of physiological and ecological traits. Proc. Natl. Acad. Sci. USA 2011, 108, 10591–10596. [Google Scholar] [CrossRef]
- Lemoine, N.P.; Burkepile, D.E. Temperature-induced mismatches between consumption and metabolism reduce consumer fitness. Ecology 2012, 93, 2483–2489. [Google Scholar] [CrossRef]
- IPCC. Climate Change 2014: Synthesis Report. Contribution of Working Groups I, II and III to the Fifth Assessment Report of the Intergovernmental Panel on Climate Change; Pachauri, R.K., Meyer, L., Eds.; The Core Writing Team, IPCC: Geneva, Switzerland, 2014; p. 151. [Google Scholar]
- Rho, S. Studies on the propagation of top shell-I. Spawning and early development of the top shell, Turbo cornutus SOLANDER. Korean J. Fish. Aquat. Sci. 1976, 9, 43–55. [Google Scholar]
- Cha, B.Y.; Kim, D.H.; Kim, B.Y. Growth of Batillus cornutus by capture-recapture method. Korean J. Malacol. 2007, 23, 227–233. [Google Scholar]
- Cheung, W.W.; Watson, R.; Pauly, D. Signature of ocean warming in global fisheries catch. Nature 2013, 497, 365–368. [Google Scholar] [CrossRef]
- Lee, J.Y.; Yang, H.S.; Kang, D.H.; Jeung, H.D.; Hong, H.K.; Lee, H.J.; Kang, H.S.; Choi, K.S. Spatial variation in the annual reproductive cycle of Turbo (Batillus) cornutus (Gastropoda: Trochidae) at Jeju Island, Korea. Invertebr. Reprod. Dev. 2014, 58, 23–33. [Google Scholar] [CrossRef]
- Lightfoot, J. A Catalogue of the Portland Museum, Lately the Property of the Dutchess Dowager of Portland, Deceased; Which Will Be Sold by Auction by Mr. Skinner & Co, London; Forgotten Books: London, UK, 1786. [Google Scholar]
- Fukuda, H. Nomenclature of the horned turbans previously known as Turbo cornutus (Lightfoot, 1786) and Turbo chinensis Ozawa & Tomida, 1995 (Vetigastropoda: Trochoidea: Turbinidae) from China, Japan and Korea. Molluscan Res. 2017, 37, 268–281. [Google Scholar]
- Choe, B. Illustrated Encyclopedia of Fauna and Flora of Korea, Volume 33, Mollusca (II); National Textbook Company: Seoul, Republic of Korea, 1992; p. 860. [Google Scholar]
- Son, M.H.; Lee, C.I.; Park, J.M.; Kim, H.J.; Riedel, R.; Hwang, I.; Lim, Y.N.; Jung, H.K. The Northward Habitat Expansion of the Korean Top Shell Turbo sazae (Gastropoda: Vetigastropoda: Turbinidae) in the Korean Peninsula: Effects of Increasing Water Temperature. J. Mar. Sci. Eng. 2020, 8, 782. [Google Scholar] [CrossRef]
- Wernberg, T.; White, M.; Vanderklift, M.A. Population structure of turbinid gastropods on wave-exposed subtidal reefs: Effects of density, body size and algae on grazing behavior. Mar. Ecol. Prog. Ser. 2008, 362, 169–179. [Google Scholar] [CrossRef]
- Suskiewicz, T.S.; Johnson, L.E. Consumption rates of a key marine herbivore: A review of the extrinsic and intrinsic control of feeding in the green sea urchin. Mar. Biol. 2017, 164, 131. [Google Scholar] [CrossRef]
- Roma, J.; Schertenleib, K.; Ramalhosa, P.; Gestoso, I.; Canning-Clode, J.; Lenz, M. Moderately elevated temperatures increase macroalgal food consumption in two sea urchin species from coastal waters of Madeira. J. Exp. Mar. Biol. Ecol. 2021, 542, 151603. [Google Scholar] [CrossRef]
- Böttger, S.A.; McClintock, J.B.; Klinger, T.S. Effects of inorganic and organic phosphates on feeding, feeding absorption, nutrient allocation, growth and righting responses of the sea urchin Lytechinus variegatus. Mar. Biol. 2001, 138, 741–751. [Google Scholar] [CrossRef]
- Pulgar, J.; Moya, A.; Fernández, M.; Varas, O.; Guzmán-Rivas, F.; Urzúa, Á.; Quijón, P.A.; García-Huidobro, M.R.; Aldana, M.; Duarte, C. Upwelling enhances seaweed nutrient quality, altering feeding behavior and growth rates in and intertidal sea urchin, Loxechinus albus. Sci. Total Environ. 2022, 851, 158307. [Google Scholar] [CrossRef]
- Cheng, S.; Chen, J. Hemocyanin oxygen affinity and the fractionation of oxyhemocyanin and deoxyhemocyanin for Penaeus monodon exposed to elevated nitrite. Aquat. Toxicol. 1999, 45, 35–46. [Google Scholar] [CrossRef]
- Soucek, D.; Dickinson, A. Acute toxicity of nitrate and nitrite to sensitive freshwater insects, mollusks and a crustacean. Arch. Environ. Contam. Toxicol. 2012, 62, 233–242. [Google Scholar] [CrossRef]
- Harris, J.; Maguire, G.; Edwards, S.; Hindrum, S. Effect of ammonia on the growth rate and oxygen consumption of juvenile greenlip abalone, Haliotis laevigata Donovan. Aquaculture 1998, 160, 259–272. [Google Scholar] [CrossRef]
- Basuyaux, O.; Mathieu, M. Inorganic nitrogen and its effect on growth of the abalone Haliotis tuberculata Linnaeus and the sea urchin Paracentrotus lividus Lamarck. Aquaculture 1999, 174, 95–107. [Google Scholar] [CrossRef]
- Cox, T.E.; Murray, S.N. Feeding preferences and the relationships between food choice and assimilation efficiency in the herbivorous marine snail Lithopoma undosum (Turbinidae). Mar. Biol. 2006, 148, 1295–1306. [Google Scholar] [CrossRef]
- Watson, G.; Davies, J.; Wood, H.; Cocks, A. A comparison of survivourship and function (grazing and behaviour) of three gastropod species used as clean-up crew for the marine aquarium trade. PLoS ONE 2018, 13, e0199516. [Google Scholar] [CrossRef] [PubMed]
- Gao, X.; Sun, M.; Hu, Q.; Li, G. Influence of temperature on various development stages of the sea urchin Strongylocentrotus Nudus A. Oceanol. Limnol. Sin. 1993, 24, 634–640. [Google Scholar]
- Feng, W.; Nakabayashi, N.; Narita, K.; Inomata, E.; Aoki, M.N.; Agatsuma, Y. Sexually unbalanced gonad development and nutrition of the newly range-extended sea urchin Heliocidaris crassispina in the northeastern Honshu, Japan. Estuar. Coast. Shelf. Sci. 2021, 249, 107120. [Google Scholar] [CrossRef]
- De Ridder, C.; Lawrence, J.M. Food and feeding mechanisms: Echinoidea. In Echinoderm Nutrition; Jangoux, M., Lawrence, J.M., Eds.; A.A. Balkema Publishers: Rotterdam, The Netherlands, 1982; pp. 57–92. [Google Scholar]
- Klinger, T.S.; Hsieh, H.L.; Pangallo, R.A.; Chen, C.P.; Lawrence, J.M. The effect of temperature on feeding, digestion, and absorption, of Lytechinus variegatus (Lamarck) (Echinodermata: Echinoidea). Physiol. Zool. 1986, 59, 332–336. [Google Scholar] [CrossRef]
- Sawabe, T.; Oda, Y.; Shiomi, Y.; Ezura, Y. Alginate degradation by bacteria isolated from the gut of sea urchins and abalones. Microb. Ecol. 1995, 30, 193–202. [Google Scholar] [CrossRef] [PubMed]
- Azad, A.K.; Pearce, C.M.; McKinley, R.S. Effects of diet and temperature on ingestion, absorption, assimilation, gonad yield, and gonad quality of the purple sea urchin (Strongylocentrotus purpuratus). Aquaculture 2011, 317, 187–196. [Google Scholar] [CrossRef]
- Edwards, D.C.; Huebner, J.D. Feeding and growth rates of Polinices duplicatus preying on Mya arenaria at Barnstable Harbour, Massachusetts. Ecology 1977, 58, 1218–1236. [Google Scholar] [CrossRef]
- Stickle, W.B.; Moore, M.N.; Bayne, B.L. Effects of temperature, salinity and aerial exposure on predation and lysosomal stability of the dogwelk Thais (Nucella) lapillus (L.). J. Exp. Mar. Biol. Ecol. 1985, 93, 235–258. [Google Scholar] [CrossRef]
- Lee, Y.J.; Yoo, S.K.; Rho, S.; Kim, S.H. The stocking density and growth of young abalone Haliotis discus hannai Ino cultured in the hanging net cage. Bull. Nat. Fish. Res. Dev. Agency 1988, 42, 59–69. [Google Scholar]
- Gao, X.; Liu, Y.; Liu, Y.; Liu, J. Influence of temperature on feeding and growth of young abalone. Oceanol. Limnol. Sin. 1990, 21, 20–26. [Google Scholar]
- Foster, G.G.; Hodgson, A.N. Consumption and apparent dry matter digestibility of six intertidal macroalgae by Turbo sarmaticus (Mollusca: Vetigastropoda: Turbinidae). Aquaculture 1998, 167, 211–227. [Google Scholar] [CrossRef]
- Dixon, M.G. The Effect of Temperature and Photoperiod on the Digestive Physiology of the South African Abalone, Haliotis Midae. Master’s Thesis, Rhodes University, Grahamstown, South Africa, 1992. [Google Scholar]
- Matoto, S.V.; Shimizu, T.; Mita, H.; Tsuchiya, K.; Segawa, S. Reproduction and metabolism of Turbo (Batillus) cornutus in Chiba, Japan. Fish. Sci. 2002, 68, 330–333. [Google Scholar] [CrossRef] [PubMed][Green Version]
- Davis, A.R.; Benkendorff, K.; Ward, D.W. Responses of common SE Australian herbivores to three suspected invasive Caulerpa spp. Mar. Biol. 2005, 146, 859–868. [Google Scholar] [CrossRef]
- Eppley, R.W.; Lasker, R. Alginase in the sea urchin Strongylocentrotus purpuratus. Science 1959, 129, 214–215. [Google Scholar] [CrossRef]
- Boolootian, R.A.; Lasker, R. Digestion of brown algae and the distribution of nutrients in the purple sea urchin Strongylocentrotus purpuratus. Comp. Biochem. Physiol. 1964, 11, 273–289. [Google Scholar] [CrossRef]
- Kikutani, K.; Ohba, H.; Yamakawa, H. Distribution and gut contents of the green snail Turbo marmoratus in Tokunoshima Island, Ryukyus (southern Japan). J. Tokyo Univ. Fish. 2002, 88, 47–52. [Google Scholar]
- Lyons, D.A.; Scheibling, R.E. Effect of dietary history and algal traits on feeding rate and food preference in the green sea urchin Strongylocentrotus droebachiensis. J. Exp. Mar. Biol. Ecol. 2007, 349, 194–204. [Google Scholar] [CrossRef]
- Freeland, W.J.; Janzen, D.H. Strategies in herbivory by mammals: The role of plant secondary compounds. Am. Nat. 1974, 108, 269–289. [Google Scholar] [CrossRef]
- Vadas, R.L. Preferential feeding: An optimization strategy in sea urchins. Ecol. Monogr. 1977, 47, 337–371. [Google Scholar] [CrossRef]
- Rapport, D.J. Optimal foraging for complementary resources. Am. Nat. 1980, 116, 324–346. [Google Scholar] [CrossRef]
- Pennings, S.C.; Nadeau, M.T.; Paul, V.J. Selectivity and growth of the generalist herbivore Dolabella auricularia feeding upon complementary resources. Ecology 1993, 74, 879–890. [Google Scholar] [CrossRef]
- Cruz-Rivera, E.; Hay, M.E. Macroalgal traits and the feeding and fitness of an herbivorous amphipod: The roles of selectivity, mixing, and compensation. Mar. Ecol. Prog. Ser. 2001, 218, 249–266. [Google Scholar] [CrossRef]
- Jung, S.W.; Rho, H.S.; Choi, C.G. Seaweed beds and community structure in the East and South Coast of Korea. J. Mar. Sci. Eng. 2022, 10, 689. [Google Scholar] [CrossRef]





| 5 °C | 10 °C | 15 °C | 20 °C | 25 °C | |
|---|---|---|---|---|---|
| Diameter (mm) | 64.8 ± 2.7 | 65.6 ± 7.4 | 66.6 ± 6.6 | 62.4 ± 2.2 | 66.5 ± 6.1 |
| Wet weight (g) | 91.1 ± 8.1 | 88.8 ± 30.0 | 93.5 ± 27.5 | 78.9 ± 8.2 | 92.6 ± 24.4 |
| 5 °C | 10 °C | 15 °C | 20 °C | 25 °C | |
|---|---|---|---|---|---|
| Shell height (mm) | 75.0 ± 2.7 | 77.2 ± 1.1 | 75.5 ± 6.4 | 70.3 ± 0.3 | 73.7 ± 3.9 |
| Wet weight (g) | 91.8 ± 8.2 | 101.5 ± 2.5 | 91.6 ± 14.5 | 84.6 ± 1.3 | 89.8 ± 18.2 |
| 5 °C | 10 °C | 15 °C | 20 °C | 25 °C | ||||||
|---|---|---|---|---|---|---|---|---|---|---|
| Diameter (mm) | Wet Weight (g) | Diameter (mm) | Wet Weight (g) | Diameter (mm) | Wet Weight (g) | Diameter (mm) | Wet Weight (g) | Diameter (mm) | Wet Weight (g) | |
| Before | 64.8 ± 2.7 | 94.1 ± 8.1 | 65.6 ± 7.4 | 88.8 ± 30.0 | 66.6 ± 6.6 | 93.5 ± 27.5 | 62.4 ± 2.3 | 78.9 ± 8.3 | 67.7 | 102.4 |
| After | 66.0 ± 2.7 | 94.1 ± 8.7 | 67.8 ± 8.2 | 87.8 ± 37.0 | 67.7 ± 5.3 | 91.6 ± 22.8 | 64.1 ± 3.0 | 78.3 ± 3.9 | 70.3 | 102.3 |
| p value | 0.05< | 0.05< | 0.05< | 0.05< | 0.05< | 0.05< | 0.05< | 0.05< | nd | nd |
| 5 °C | 10 °C | 15 °C | 20 °C | 25 °C | ||||||
|---|---|---|---|---|---|---|---|---|---|---|
| Diameter (mm) | Wet Weight (g) | Diameter (mm) | Wet Weight (g) | Diameter (mm) | Wet Weight (g) | Diameter (mm) | Wet Weight (g) | Diameter (mm) | Wet Weight (g) | |
| Before | 64.9 ± 2.9 | 91.8 ± 8.2 | 67.8 ± 0.8 | 101.5 ± 2.5 | 65.8 ± 3.4 | 91.6 ± 14.5 | 70.3 ± 0.3 | 84.6 ± 1.3 | 73.7 ± 3.9 | 89.8 ± 18.2 |
| After | 65.5 ± 2.3 | 87.8 ± 6.4 | 67.6 ± 0.8 | 100.3 ± 2.9 | 66.0 ± 3.4 | 91.2 ± 14.1 | 70.5 ± 0.57 | 84.7 ± 1.6 | 7.3 ± 4.4 | 90.0 ± 18.5 |
| p value | 0.05< | 0.05< | 0.05< | 0.05< | 0.05< | 0.05< | 0.05< | 0.05< | 0.05< | 0.05< |
| 5 °C | 10 °C | 15 °C | 20 °C | 25 °C | ||||||
|---|---|---|---|---|---|---|---|---|---|---|
| Ind. (g ind−1 d−1) | Biomass (g g−1 d−1) | Ind. (g ind−1 d−1) | Biomass (g g−1 d−1) | Ind. (g ind−1 d−1) | Biomass (g g−1 d−1) | Ind. (g ind−1 d−1) | Biomass (g g−1 d−1) | Ind. (g ind−1 d−1) | Biomass (g g−1 d−1) | |
| M. nudus | 0.46 ± 0.59 | 0.002 ± 0.004 | 1.41 ± 1.07 | 0.007 ± 0.013 | 3.19 ± 1.97 | 0.010 ± 0.013 | 2.73 ± 1.27 | 0.010 ± 0.013 | 0.37 ± 0.56 | 0.002 ± 0.004 |
| T. sazae | 0.29 ± 0.46 | 0.003 ± 0.003 | 1.45 ± 1.70 | 0.032 ± 0.024 | 1.70 ± 1.14 | 0.061 ± 0.053 | 1.96 ± 2.04 | 0.062 ± 0.075 | 2.54 ± 3.07 | 0.087 ± 0.127 |
| p value | 0.05< | 0.05< | 0.05< | 0.05< | 0.05< | 0.05< | 0.05< | 0.05< | 0.05< | 0.05< |
Disclaimer/Publisher’s Note: The statements, opinions and data contained in all publications are solely those of the individual author(s) and contributor(s) and not of MDPI and/or the editor(s). MDPI and/or the editor(s) disclaim responsibility for any injury to people or property resulting from any ideas, methods, instructions or products referred to in the content. |
© 2023 by the authors. Licensee MDPI, Basel, Switzerland. This article is an open access article distributed under the terms and conditions of the Creative Commons Attribution (CC BY) license (https://creativecommons.org/licenses/by/4.0/).
Share and Cite
Seo, J.; Koo, B.J. Temperature-Dependent Food Consumption Rates of the Sea Urchin Mesocentrotus nudus and Top Shell Turbo sazae: Potential Impacts on Seaweed Beds. Animals 2023, 13, 3436. https://doi.org/10.3390/ani13223436
Seo J, Koo BJ. Temperature-Dependent Food Consumption Rates of the Sea Urchin Mesocentrotus nudus and Top Shell Turbo sazae: Potential Impacts on Seaweed Beds. Animals. 2023; 13(22):3436. https://doi.org/10.3390/ani13223436
Chicago/Turabian StyleSeo, Jaehwan, and Bon Joo Koo. 2023. "Temperature-Dependent Food Consumption Rates of the Sea Urchin Mesocentrotus nudus and Top Shell Turbo sazae: Potential Impacts on Seaweed Beds" Animals 13, no. 22: 3436. https://doi.org/10.3390/ani13223436
APA StyleSeo, J., & Koo, B. J. (2023). Temperature-Dependent Food Consumption Rates of the Sea Urchin Mesocentrotus nudus and Top Shell Turbo sazae: Potential Impacts on Seaweed Beds. Animals, 13(22), 3436. https://doi.org/10.3390/ani13223436

