Attitudes towards the Potential Use of Aversive Geofencing Devices to Manage Wild Elephant Movement
Abstract
:Simple Summary
Abstract
1. Introduction
2. Materials and Methods
2.1. Survey Administration
2.2. Survey Questions
2.3. Data Analysis
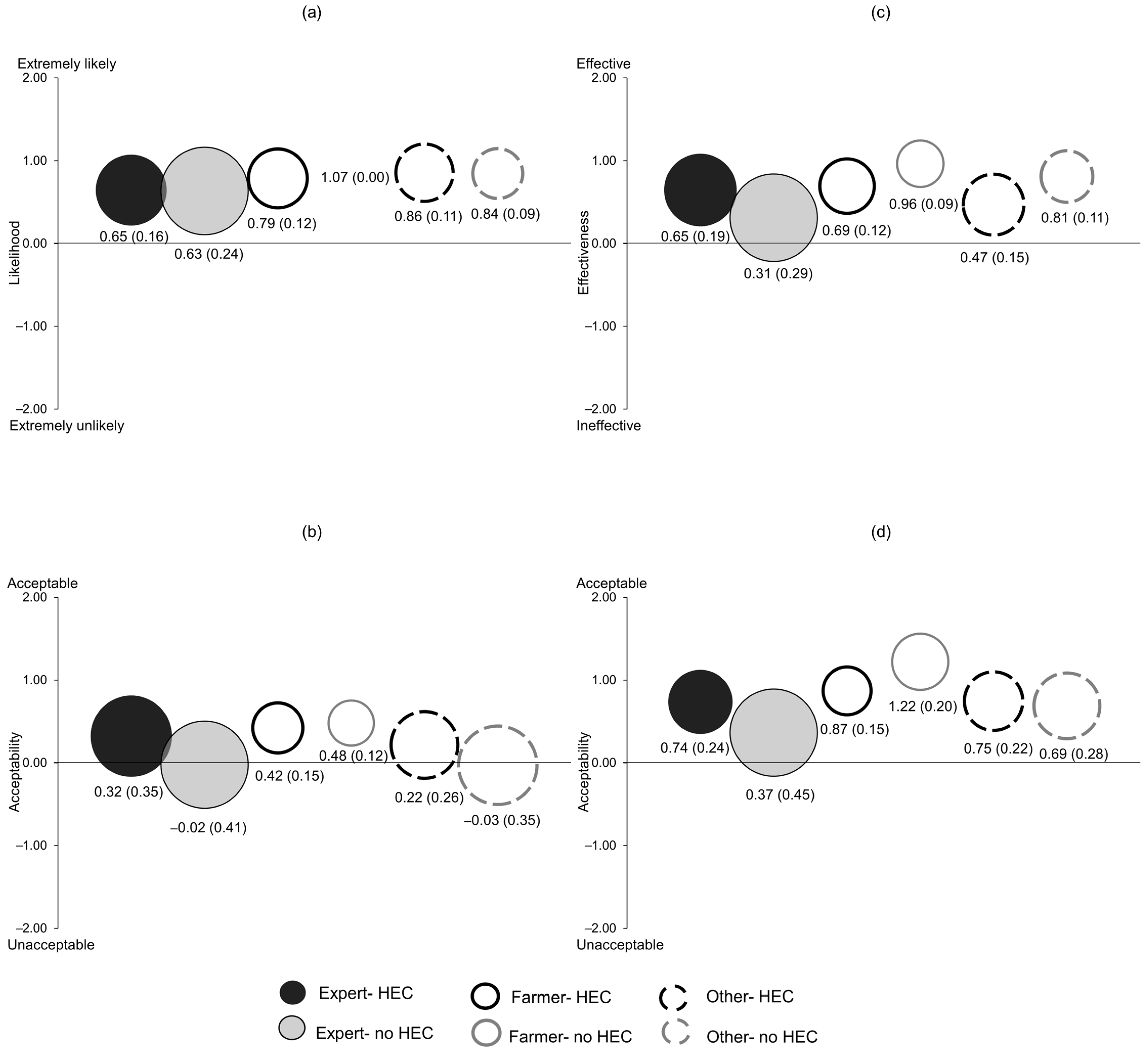
3. Results
4. Discussion
5. Conclusions
Supplementary Materials
Author Contributions
Funding
Institutional Review Board Statement
Informed Consent Statement
Data Availability Statement
Acknowledgments
Conflicts of Interest
References
- Padalia, H.; Ghosh, S.; Reddy, C.S.; Nandy, S.; Singh, S.; Kumar, A.S. Assessment of Historical Forest Cover Loss and Fragmentation in Asian Elephant Ranges in India. Environ. Monit. Assess. 2019, 191, 802. [Google Scholar] [CrossRef] [PubMed]
- Fernando, P.; De Silva, M.K.C.R.; Jayasinghe, L.K.A.; Janaka, H.K.; Pastorini, J. First Country-Wide Survey of the Endangered Asian Elephant: Towards Better Conservation and Management in Sri Lanka. Oryx 2021, 55, 46–55. [Google Scholar] [CrossRef]
- Liu, P.; Wen, H.; Harich, F.K.; He, C.; Wang, L.; Guo, X.; Zhao, J.; Luo, A.; Yang, H.; Sun, X.; et al. Conflict between Conservation and Development: Cash Forest Encroachment in Asian Elephant Distributions. Sci. Rep. 2017, 7, 6404. [Google Scholar] [CrossRef]
- Wadey, J.; Beyer, H.L.; Saaban, S.; Othman, N.; Leimgruber, P.; Campos-Arceiz, A. Why Did the Elephant Cross the Road? The Complex Response of Wild Elephants to a Major Road in Peninsular Malaysia. Biol. Conserv. 2018, 218, 91–98. [Google Scholar] [CrossRef]
- Othman, N.; Goossens, B.; Cheah, C.P.I.; Nathan, S.; Bumpus, R.; Ancrenaz, M. Shift of Paradigm Needed towards Improving Human–Elephant Coexistence in Monoculture Landscapes in Sabah. Int. Zoo Yearb. 2019, 53, 161–173. [Google Scholar] [CrossRef]
- Williams, C.; Tiwari, S.K.R.; Goswami, V.R.; de Silva, S.; Kumar, A.; Baskaran, N.; Yoganand, K.; Menon, V. Elephas maximus. Available online: https://www.iucnredlist.org/species/7140/45818198 (accessed on 17 June 2023).
- Acharya, K.P.; Paudel, P.K.; Neupane, P.R.; Köhl, M. Human-Wildlife Conflicts in Nepal: Patterns of Human Fatalities and Injuries Caused by Large Mammals. PLoS ONE 2016, 11, e0161717. [Google Scholar] [CrossRef] [PubMed]
- Prakash, T.G.S.L.; Wijeratne, A.W.; Fernando, P. Human-Elephant Conflict in Sri Lanka: Patterns and Extent. Gajah 2020, 51, 16–25. [Google Scholar]
- Ganesh, S. Human Elephant Conflict Kills 1713 People, 373 Pachyderms in 3 Years. Available online: https://www.thehindu.com/news/national/human-elephant-conflict-kills-1713-people-373-pachyderms-in-3-years/article26225515.ece (accessed on 11 May 2020).
- Karanth, K.K.; Gupta, S.; Vanamamalai, A. Compensation Payments, Procedures and Policies towards Human-Wildlife Conflict Management: Insights from India. Biol. Conserv. 2018, 227, 383–389. [Google Scholar] [CrossRef]
- Nair, R.P.; Jayson, E.A. Estimation of Economic Loss and Identifying the Factors Affecting the Crop Raiding Behaviour of Asian Elephant (Elephas maximus) in Nilambur Part of the Southern Western Ghats, Kerala, India. Curr. Sci. 2021, 121, 521. [Google Scholar] [CrossRef]
- Palei, N.C.; Palei, H.S.; Rath, B.P.; Kar, C.S. Mortality of the Endangered Asian Elephant Elephas maximus by Electrocution in Odisha, India. Oryx 2014, 48, 602–604. [Google Scholar] [CrossRef]
- Williams, A.C.; Johnsingh, A.J.T.; Krausman, P.R. Elephant-Human Conflicts in Rajaji National Park, Northwestern India. Wildl. Soc. Bull. 2001, 29, 1097–1104. [Google Scholar]
- Perera, B.M.A.O. The Human-Elephant Conflict: A Review of Current Status and Mitigation Methods. Gajah 2009, 30, 41–52. [Google Scholar]
- LaDue, C.A.; Eranda, I.; Jayasinghe, C.; Vandercone, R.P.G. Mortality Patterns of Asian Elephants in a Region of Human–Elephant Conflict. J. Wildl. Manag. 2021, 85, 794–802. [Google Scholar] [CrossRef]
- Kalam, T.; Kumar Baishya, H.; Smith, D. Lethal Fence Electrocution: A Major Threat to Asian Elephants in Assam, India. Trop. Conserv. Sci. 2018, 11, 194008291881728. [Google Scholar] [CrossRef]
- Sampson, C.; McEvoy, J.; Oo, Z.M.; Chit, A.M.; Chan, A.N.; Tonkyn, D.; Soe, P.; Songer, M.; Williams, A.C.; Reisinger, K.; et al. New Elephant Crisis in Asia-Early Warning Signs from Myanmar. PLoS ONE 2018, 13, e0194113. [Google Scholar] [CrossRef]
- Nijman, V.; Shepherd, C.R. Emergence of Mong La on the Myanmar–China Border as a Global Hub for the International Trade in Ivory and Elephant Parts. Biol. Conserv. 2014, 179, 17–22. [Google Scholar] [CrossRef]
- Qomariah, I.N.; Rahmi, T.; Said, Z.; Wijaya, A. Conflict between Human and Wild Sumatran Elephant (Elephas maximus sumatranus Temminck, 1847) in Aceh Province, Indonesia. Biodivers. J. Biol. Divers. 2018, 20, 77–84. [Google Scholar] [CrossRef]
- Gubbi, S.; Swaminath, M.H.; Poornesha, H.C.; Bhat, R.; Raghunath, R. An Elephantine Challenge: Human-Elephant Conflict Distribution in the Largest Asian Elephant Population, Southern India. Biodivers. Conserv. 2014, 23, 633–647. [Google Scholar] [CrossRef]
- Gogoi, M. Emotional Coping among Communities Affected by Wildlife-Caused Damage in North-East India: Opportunities for Building Tolerance and Improving Conservation Outcomes. Oryx 2018, 52, 214–219. [Google Scholar] [CrossRef]
- Sukumar, R. The Living Elephants: Evolutionary Ecology, Behavior and Conservation; Oxford University Press: New York, NY, USA, 2003; ISBN 0195107780. [Google Scholar]
- Köpke, S.; Withanachchi, S.S.; Pathiranage, R.; Withanachchi, C.R.; Gamage, D.U.; Nissanka, T.S.; Warapitiya, C.C.; Nissanka, B.M.; Ranasinghe, N.N.; Senarathna, C.D.; et al. Human–Elephant Conflict in Sri Lanka: A Critical Review of Causal Explanations. Sustainability 2021, 13, 8625. [Google Scholar] [CrossRef]
- Allen, B.L.; Bobier, C.; Dawson, S.; Fleming, P.J.S.; Hampton, J.; Jachowski, D.; Kerley, G.I.H.; Linnell, J.D.C.; Marnewick, K.; Minnie, L.; et al. Why Humans Kill Animals and Why We Cannot Avoid It. Sci. Total Environ. 2023, 896, 165283. [Google Scholar] [CrossRef] [PubMed]
- Desai, A.A.; Riddle, H.S. Human-Elephant Conflict in Asia; U.S. Fish and Wildlife Service; Asian Elephant Support: Washington, DC, USA, 2015. [Google Scholar]
- Fernando, P. Managing ‘Problem Elephants’. Loris 2011, 25, 32–36. [Google Scholar]
- Fernando, P.; Leimgruber, P.; Prasad, T.; Pastorini, J. Problem-Elephant Translocation: Translocating the Problem and the Elephant? PLoS ONE 2012, 7, e50917. [Google Scholar] [CrossRef]
- Fernando, P.; Prasad, T.; Janaka, H.K.; Ekanayaka, S.K.; Nishantha, H.G.; Pastorini, J. The Use of Radio-Tracking Data to Guide Development and Manage Elephants. Wildlanka 2015, 3, 12–19. [Google Scholar]
- Azmi, W.; Gunaryadi, D. Current Status of Asian Elephants in Indonesia. Gajah 2011, 35, 55–61. [Google Scholar]
- Leimgruber, P.; Oo, Z.; Aung, M.; Kelly, D.; Wemmer, C.; Senior, B.; Songer, M. Current Status of Asian Elephants in Myanmar. Gajah 2011, 35, 76–86. [Google Scholar]
- Saaban, S.; Othman, N.B.; Yasak, M.N.B.; Nor, B.M.; Ahmad, Z.; Campos-Arceiz, A. Current Status of Asian Elephants in Peninsular Malaysia. Gajah 2011, 35, 67–75. [Google Scholar]
- de la Torre, J.A.; Wong, E.P.; Lechner, A.M.; Zulaikha, N.; Zawawi, A.; Abdul-Patah, P.; Saaban, S.; Goossens, B.; Campos-Arceiz, A. There Will Be Conflict—Agricultural Landscapes Are Prime, Rather than Marginal, Habitats for Asian Elephants. Anim. Conserv. 2021, 24, 720–732. [Google Scholar] [CrossRef]
- Vijayakrishnan, S.; Kumar, M.A.; Umapathy, G.; Kumar, V.; Sinha, A. Physiological Stress Responses in Wild Asian Elephants Elephas maximus in a Human-Dominated Landscape in the Western Ghats, Southern India. Gen. Comp. Endocrinol. 2018, 266, 150–156. [Google Scholar] [CrossRef]
- Lahdenperä, M.; Mar, K.U.; Courtiol, A.; Lummaa, V. Differences in Age-Specific Mortality between Wild-Caught and Captive-Born Asian Elephants. Nat. Commun. 2018, 9, 3023. [Google Scholar] [CrossRef] [PubMed]
- Stüwe, M.; Abdul, J.B.; Nor, B.M.; Wemmer, C.M. Tracking the Movements of Translocated Elephants in Malaysia Using Satellite Telemetry. Oryx 1998, 32, 68–74. [Google Scholar] [CrossRef]
- Denninger Snyder, K.; Rentsch, D. Rethinking Assessment of Success of Mitigation Strategies for Elephant-induced Crop Damage. Conserv. Biol. 2020, 34, 829–842. [Google Scholar] [CrossRef] [PubMed]
- Shaffer, L.J.; Khadka, K.K.; Van Den Hoek, J.; Naithani, K.J. Human-Elephant Conflict: A Review of Current Management Strategies and Future Directions. Front. Ecol. Evol. 2019, 6, 235. [Google Scholar] [CrossRef]
- Cabral de Mel, S.J.; Seneweera, S.; de Mel, R.K.; Dangolla, A.; Weerakoon, D.K.; Maraseni, T.; Allen, B.L. Current and Future Approaches to Mitigate Conflict between Humans and Asian Elephants: The Potential Use of Aversive Geofencing Devices. Animals 2022, 12, 2965. [Google Scholar] [CrossRef] [PubMed]
- Ponnusamy, V.; Chackrapani, P.; Lim, T.W.; Saaban, S.; Campos-Arceiz, A. Farmers’ Perceptions and Attitudes towards Government-Constructed Electric Fences in Peninsular Malaysia. Gajah 2016, 45, 4–11. [Google Scholar]
- Liefting, Y.; de Jong, J.F.; Prins, H.H.T. A New Type of Elephant Fence: Permeable for People and Game but Not for Elephant. Gajah 2018, 49, 11–19. [Google Scholar]
- Pekor, A.; Miller, J.R.B.; Flyman, M.V.; Kasiki, S.; Kesch, M.K.; Miller, S.M.; Uiseb, K.; van der Merve, V.; Lindsey, P.A. Fencing Africa’s Protected Areas: Costs, Benefits, and Management Issues. Biol. Conserv. 2019, 229, 67–75. [Google Scholar] [CrossRef]
- Hayward, M.W.; Kerley, G.I.H. Fencing for Conservation: Restriction of Evolutionary Potential or a Riposte to Threatening Processes? Biol. Conserv. 2009, 142, 1–13. [Google Scholar] [CrossRef]
- Smith, D.; King, R.; Allen, B.L. Impacts of Exclusion Fencing on Target and Non-target Fauna: A Global Review. Biol. Rev. 2020, 95, 1590–1606. [Google Scholar] [CrossRef]
- Peck, R.M. Method and Apparatus for Controlling an Animal. U.S. Patent 3753421, 21 August 1973. [Google Scholar]
- Goliński, P.; Sobolewska, P.; Stefańska, B.; Golińska, B. Virtual Fencing Technology for Cattle Management in the Pasture Feeding System—A Review. Agriculture 2023, 13, 91. [Google Scholar] [CrossRef]
- Campbell, D.L.M.; Ouzman, J.; Mowat, D.; Lea, J.M.; Lee, C.; Llewellyn, R.S. Virtual Fencing Technology Excludes Beef Cattle from an Environmentally Sensitive Area. Animals 2020, 10, 1069. [Google Scholar] [CrossRef] [PubMed]
- Boyd, C.S.; O’Connor, R.; Ranches, J.; Bohnert, D.W.; Bates, J.D.; Johnson, D.D.; Davies, K.W.; Parker, T.; Doherty, K.E. Virtual Fencing Effectively Excludes Cattle from Burned Sagebrush Steppe. Rangel. Ecol. Manag. 2022, 81, 55–62. [Google Scholar] [CrossRef]
- Marini, D.; Meuleman, M.; Belson, S.; Rodenburg, T.; Llewellyn, R.; Lee, C. Developing an Ethically Acceptable Virtual Fencing System for Sheep. Animals 2018, 8, 33. [Google Scholar] [CrossRef]
- Andelt, W.F.; Phillips, R.L.; Gruver, K.S.; Guthrie, J.W. Coyote Predation on Domestic Sheep Deterred with Electronic Dog-Training Collar. Wildl. Soc. Bull. 1999, 27, 12–18. [Google Scholar]
- Rossler, S.T.; Gehring, T.M.; Schultz, R.N.; Rossler, M.T.; Wydeven, A.P.; Hawley, J.E. Shock Collars as a Site-Aversive Conditioning Tool for Wolves. Wildl. Soc. Bull. 2012, 36, 176–184. [Google Scholar] [CrossRef]
- Appleby, R. Dingo–Human Conflict: Attacks on Humans. In The Dingo Debate: Origins, Behaviour and Conservation; Smith, B., Ed.; CSIRO Publishing: Melbourne, Australia, 2015; pp. 131–158. [Google Scholar]
- Cooper, D.M.; Kershner, E.L.; Garcelon, D.K. The Use of Shock Collars to Prevent Island Fox (Urocyon littoralis) Predation on the Endangered San Clemente Loggerhead Shrike (Lanius ludovicianus mearnsi). In Proceedings of the Sixth California Islands Symposium, Ventura, CA, USA, 1–3 December 2003; Garcelon, D.K., Schwemm, C.A., Eds.; National Park Service Technical Publication CHIS-05-01. Institute for Wildlife Studies: Arcata, CA, USA, 2005; pp. 287–297. [Google Scholar]
- Anderson, D.M. Virtual Fencing—Past, Present and Future. Rangel. J. 2007, 29, 65–78. [Google Scholar] [CrossRef]
- Blackwell, E.J.; Bolster, C.; Richards, G.; Loftus, B.A.; Casey, R.A. The Use of Electronic Collars for Training Domestic Dogs: Estimated Prevalence, Reasons and Risk Factors for Use, and Owner Perceived Success as Compared to Other Training Methods. BMC Vet. Res. 2012, 8, 93. [Google Scholar] [CrossRef]
- China, L.; Mills, D.S.; Cooper, J.J. Efficacy of Dog Training with and without Remote Electronic Collars vs. a Focus on Positive Reinforcement. Front. Vet. Sci. 2020, 7, 508. [Google Scholar] [CrossRef]
- Masson, S.; Nigron, I.; Gaultier, E. Questionnaire Survey on the Use of Different E-Collar Types in France in Everyday Life with a View to Providing Recommendations for Possible Future Regulations. J. Vet. Behav. 2018, 26, 48–60. [Google Scholar] [CrossRef]
- Masson, S.; de la Vega, S.; Gazzano, A.; Mariti, C.; Pereira, G.D.G.; Halsberghe, C.; Muser Leyvraz, A.; McPeake, K.; Schoening, B. Electronic Training Devices: Discussion on the Pros and Cons of Their Use in Dogs as a Basis for the Position Statement of the European Society of Veterinary Clinical Ethology. J. Vet. Behav. 2018, 25, 71–75. [Google Scholar] [CrossRef]
- Brunberg, E.I.; Bergslid, I.K.; Bøe, K.E.; Sørheim, K.M. The Ability of Ewes with Lambs to Learn a Virtual Fencing System. Animal 2017, 11, 2045–2050. [Google Scholar] [CrossRef] [PubMed]
- Fernando, P. Guide for Implementing Community-Based Electric Fences for the Effective Mitigation of Human-Elephant Conflict; The World Bank: Washington, DC, USA, 2020. [Google Scholar]
- Kamdar, A.; Baishya, H.K.; Nagendra, H.; Ratnam, J.; Smith, D.; Sekar, N. Human–Elephant Conflict Mitigation as a Public Good: What Determines Fence Maintenance? Ecol. Soc. 2022, 27, 24. [Google Scholar] [CrossRef]
- Cabral de Mel, L.S.J. Efficacy and Welfare of Aversive Geofencing Devices for Managing the Movements of Asian Elephants. Ph.D. Thesis, University of Southern Queenaland, Toowoomba, Australia, 2023. [Google Scholar]
- Campbell, D.L.M.; Lea, J.M.; Haynes, S.J.; Farrer, W.J.; Leigh-Lancaster, C.J.; Lee, C. Virtual Fencing of Cattle Using an Automated Collar in a Feed Attractant Trial. Appl. Anim. Behav. Sci. 2018, 200, 71–77. [Google Scholar] [CrossRef]
- Campbell, D.L.M.; Lea, J.M.; Keshavarzi, H.; Lee, C. Virtual Fencing Is Comparable to Electric Tape Fencing for Cattle Behavior and Welfare. Front. Vet. Sci. 2019, 6, 445. [Google Scholar] [CrossRef] [PubMed]
- Cabral de Mel, S.J.; Seneweera, S.; de Mel, R.K.; Medawala, M.; Abeysinghe, N.; Dangolla, A.; Weerakoon, D.K.; Maraseni, T.; Allen, B.L. Virtual Fencing of Captive Asian Elephants Fitted with an Aversive Geofencing Device to Manage Their Movement. Appl. Anim. Behav. Sci. 2023, 258, 105822. [Google Scholar] [CrossRef]
- Pastorini, J.; Prasad, T.; Leimgruber, P.; Isler, K.; Fernando, P. Elephant GPS Tracking Collars: Is There a Best? Gajah 2015, 43, 15–25. [Google Scholar]
- van Eeden, L.M.; Newsome, T.M.; Crowther, M.S.; Dickman, C.R.; Bruskotter, J. Social Identity Shapes Support for Management of Wildlife and Pests. Biol. Conserv. 2019, 231, 167–173. [Google Scholar] [CrossRef]
- van Eeden, L.M.; Newsome, T.M.; Crowther, M.S.; Dickman, C.R.; Bruskotter, J. Diverse Public Perceptions of Species’ Status and Management Align with Conflicting Conservation Frameworks. Biol. Conserv. 2020, 242, 108416. [Google Scholar] [CrossRef]
- Drijfhout, M.; Kendal, D.; Green, P. Mind the Gap: Comparing Expert and Public Opinions on Managing Overabundant Koalas. J. Environ. Manag. 2022, 308, 114621. [Google Scholar] [CrossRef]
- Bobier, C.A.; Allen, B.L. Compassionate Conservation Is Indistinguishable from Traditional Forms of Conservation in Practice. Front. Psychol. 2022, 13, 750313. [Google Scholar] [CrossRef]
- Lute, M.L.; Carter, N.H.; López-Bao, J.V.; Linnell, J.D.C. Conservation Professionals Agree on Challenges to Coexisting with Large Carnivores but Not on Solutions. Biol. Conserv. 2018, 218, 223–232. [Google Scholar] [CrossRef]
- Donfrancesco, V.; Ciucci, P.; Salvatori, V.; Benson, D.; Andersen, L.W.; Bassi, E.; Blanco, J.C.; Boitani, L.; Caniglia, R.; Canu, A.; et al. Unravelling the Scientific Debate on How to Address Wolf-Dog Hybridization in Europe. Front. Ecol. Evol. 2019, 7, 175. [Google Scholar] [CrossRef]
- Donfrancesco, V.; Allen, B.L.; Appleby, R.; Behrendorff, L.; Conroy, G.; Crowther, M.S.; Dickman, C.R.; Doherty, T.; Fancourt, B.A.; Gordon, C.E.; et al. Understanding Conflict among Experts Working on Controversial Species: A Case Study on the Australian Dingo. Conserv. Sci. Pract. 2023, 5, e12900. [Google Scholar] [CrossRef]
- Johnson, B.B.; Sciascia, J. Views on Black Bear Management in New Jersey. Hum. Dimens. Wildl. 2013, 18, 249–262. [Google Scholar] [CrossRef]
- Drijfhout, M.; Kendal, D.; Green, P.T. Understanding the Human Dimensions of Managing Overabundant Charismatic Wildlife in Australia. Biol. Conserv. 2020, 244, 108506. [Google Scholar] [CrossRef]
- Engel, M.T.; Vaske, J.J.; Bath, A.J.; Marchini, S. Attitudes toward Jaguars and Pumas and the Acceptability of Killing Big Cats in the Brazilian Atlantic Forest: An Application of the Potential for Conflict Index2. Ambio 2017, 46, 604–612. [Google Scholar] [CrossRef]
- Cabral de Mel, S.J.; Seneweera, S.; de Mel, R.K.; Dangolla, A.; Weerakoon, D.K.; Maraseni, T.; Allen, B.L. Welfare Impacts Associated with Using Aversive Geofencing Devices on Captive Asian Elephants. Appl. Anim. Behav. Sci. 2023, 265, 105991. [Google Scholar] [CrossRef]
- Noga, S.R.; Kolawole, O.D.; Thakadu, O.; Masunga, G. Small Farmers’ Adoption Behaviour: Uptake of Elephant Crop-Raiding Deterrent Innovations in the Okavango Delta, Botswana. Afr. J. Sci. Technol. Innov. Dev. 2015, 7, 408–419. [Google Scholar] [CrossRef]
- Jeong, H.-J.; Lee, W.-C. The Level of Collapse We Are Allowed: Comparison of Different Response Scales in Safety Attitudes Questionnaire. Biom. Biostat. Int. J. 2016, 4, 128–134. [Google Scholar] [CrossRef]
- DiStefano, C.; Shi, D.; Morgan, G.B. Collapsing Categories Is Often More Advantageous than Modeling Sparse Data: Investigations in the CFA Framework. Struct. Equ. Model. A Multidiscip. J. 2021, 28, 237–249. [Google Scholar] [CrossRef]
- Gordon, M.; Lumley, T. Package ‘Forestplot’. Advanced Forest Plot Using ‘Grid’ Graphics 2022. Available online: https://cran.r-project.org/web/packages/forestplot/forestplot.pdf (accessed on 27 February 2023).
- R Core Team. R: A Language and Environment for Statistical Computing; R Foundation for Statistical Computing: Vienna, Austria, 2022. [Google Scholar]
- Vaske, J.J.; Beaman, J.; Barreto, H.; Shelby, L.B. An Extension and Further Validation of the Potential for Conflict Index. Leis. Sci. 2010, 32, 240–254. [Google Scholar] [CrossRef]
- Hart, B.L.; Hart, L.A.; Pinter-Wollman, N. Large Brains and Cognition: Where Do Elephants Fit in? Neurosci. Biobehav. Rev. 2008, 32, 86–98. [Google Scholar] [CrossRef]
- Bates, L.A.; Poole, J.H.; Byrne, R.W. Elephant Cognition. Curr. Biol. 2008, 18, 544–546. [Google Scholar] [CrossRef]
- Gabriele an Elephant Never Forgets. Available online: https://blogs.transparent.com/english/an-elephant-never-forgets/ (accessed on 26 March 2023).
- Gibbs, R.W., Jr.; Gerrig, R.J. How Context Makes Metaphor Comprehension Seem “Special”. Metaphor Symb. Act. 1989, 4, 145–158. [Google Scholar] [CrossRef]
- Tan, A.S.L.; de la Torre, J.A.; Wong, E.P.; Thuppil, V.; Campos-Arceiz, A. Factors Affecting Urban and Rural Tolerance towards Conflict-Prone Endangered Megafauna in Peninsular Malaysia. Glob. Ecol. Conserv. 2020, 23, e01179. [Google Scholar] [CrossRef]
- Riddle, D.I. Evolving Notions of Nonhuman Personhood. J. Ethics Emerg. Technol. 2014, 24, 4–19. [Google Scholar] [CrossRef]
- Lev, M.; Barkai, R. Elephants Are People, People Are Elephants: Human–Proboscideans Similarities as a Case for Cross Cultural Animal Humanization in Recent and Paleolithic Times. Quat. Int. 2016, 406, 239–245. [Google Scholar] [CrossRef]
- Locke, P. Elephants as Persons, Affective Apprenticeship, and Fieldwork with Nonhuman Informants in Nepal. HAU J. Ethnogr. Theory 2017, 7, 353–376. [Google Scholar] [CrossRef]
- Schalke, E.; Stichnoth, J.; Ott, S.; Jones-Baade, R. Clinical Signs Caused by the Use of Electric Training Collars on Dogs in Everyday Life Situations. Appl. Anim. Behav. Sci. 2007, 105, 369–380. [Google Scholar] [CrossRef]
- Steiss, J.E.; Schaffer, C.; Ahmad, H.A.; Voith, V.L. Evaluation of Plasma Cortisol Levels and Behavior in Dogs Wearing Bark Control Collars. Appl. Anim. Behav. Sci. 2007, 106, 96–106. [Google Scholar] [CrossRef]
- Kearton, T.; Marini, D.; Cowley, F.; Belson, S.; Lee, C. The Effect of Virtual Fencing Stimuli on Stress Responses and Behavior in Sheep. Animals 2019, 9, 30. [Google Scholar] [CrossRef]
- Kearton, T.; Marini, D.; Cowley, F.; Belson, S.; Keshavarzi, H.; Mayes, B.; Lee, C. The Influence of Predictability and Controllability on Stress Responses to the Aversive Component of a Virtual Fence. Front. Vet. Sci. 2020, 7, 580523. [Google Scholar] [CrossRef] [PubMed]
- Campbell, D.L.M.; Lea, J.M.; Farrer, W.J.; Haynes, S.J.; Lee, C. Tech-Savvy Beef Cattle? How Heifers Respond to Moving Virtual Fence Lines. Animals 2017, 7, 72. [Google Scholar] [CrossRef] [PubMed]
- Lee, C.; Henshall, J.M.; Wark, T.J.; Crossman, C.C.; Reed, M.T.; Brewer, H.G.; Grady, J.O.; Fisher, A.D. Associative Learning by Cattle to Enable Effective and Ethical Virtual Fences. Appl. Anim. Behav. Sci. 2009, 119, 15–22. [Google Scholar] [CrossRef]
- Lee, C.; Colditz, I.G.; Campbell, D.L.M. A Framework to Assess the Impact of New Animal Management Technologies on Welfare: A Case Study of Virtual Fencing. Front. Vet. Sci. 2018, 5, 187. [Google Scholar] [CrossRef]
- Lee, C.; Campbell, D.L.M. A Multi-Disciplinary Approach to Assess the Welfare Impacts of a New Virtual Fencing Technology. Front. Vet. Sci. 2021, 8, 637709. [Google Scholar] [CrossRef]
- Nath, N.K.; Lahkar, B.P.; Brahma, N.; Dey, S.; Das, J.P.; Sarma, P.K.; Talukdar, B.K. An Assessment of Human-Elephant Conflict in Manas National Park, Assam, India. J. Threat. Taxa 2009, 1, 309–316. [Google Scholar] [CrossRef]
- Ramkumar, K.; Ramakrishnan, B.; Saravanamuthu, R. Crop Damage by Asian Elephants Elephas maximus and Effectiveness of Mitigating Measures in Coimbatore Forest Division, South India. Int. Res. J. Biol. Sci. 2014, 3, 1–11. [Google Scholar]
- Neupane, D.; Johnson, R.L.; Risch, T.S. How Do Land-use Practices Affect Human—Elephant Conflict in Nepal? Wildl. Biol. 2017, 2017, wlb.00313. [Google Scholar] [CrossRef]
- Haturusinghe, H.S.; Weerakoon, D.K. Crop Raiding Behaviour of Elephants in the Northwestern Region of Sri Lanka. Gajah 2012, 36, 26–31. [Google Scholar]
- Campos-Arceiz, A.; Takatsuki, S.; Ekanayaka, S.K.K.; Hasegawa, T. The Human-Elephant Conflict in Southeastern Sri Lanka: Type of Damage, Seasonal Patterns, and Sexual Differences in the Raiding Behavior of Elephants. Gajah 2009, 31, 5–14. [Google Scholar]
- Sukumar, R. A Brief Review of the Status, Distribution and Biology of Wild Asian Elephants Elephas maximus. Int. Zoo Yearb. 2006, 40, 1–8. [Google Scholar] [CrossRef]
- Sukumar, R. The Management of Large Mammals in Relation to Male Stratefies and Conflict with People. Biol. Conserv. 1991, 55, 93–102. [Google Scholar] [CrossRef]
- Mumby, H.S.; Plotnik, J.M. Taking the Elephants’ Perspective: Remembering Elephant Behavior, Cognition and Ecology in Human-Elephant Conflict Mitigation. Front. Ecol. Evol. 2018, 6, 122. [Google Scholar] [CrossRef]
- Goswami, V.R.; Vasudev, D. Triage of Conservation Needs: The Juxtaposition of Conflict Mitigation and Connectivity Considerations in Heterogeneous, Human-Dominated Landscapes. Front. Ecol. Evol. 2017, 4, 144. [Google Scholar] [CrossRef]



Disclaimer/Publisher’s Note: The statements, opinions and data contained in all publications are solely those of the individual author(s) and contributor(s) and not of MDPI and/or the editor(s). MDPI and/or the editor(s) disclaim responsibility for any injury to people or property resulting from any ideas, methods, instructions or products referred to in the content. |
© 2023 by the authors. Licensee MDPI, Basel, Switzerland. This article is an open access article distributed under the terms and conditions of the Creative Commons Attribution (CC BY) license (https://creativecommons.org/licenses/by/4.0/).
Share and Cite
Cabral de Mel, S.J.; Seneweera, S.; Dangolla, A.; Weerakoon, D.K.; Maraseni, T.; Allen, B.L. Attitudes towards the Potential Use of Aversive Geofencing Devices to Manage Wild Elephant Movement. Animals 2023, 13, 2657. https://doi.org/10.3390/ani13162657
Cabral de Mel SJ, Seneweera S, Dangolla A, Weerakoon DK, Maraseni T, Allen BL. Attitudes towards the Potential Use of Aversive Geofencing Devices to Manage Wild Elephant Movement. Animals. 2023; 13(16):2657. https://doi.org/10.3390/ani13162657
Chicago/Turabian StyleCabral de Mel, Surendranie J., Saman Seneweera, Ashoka Dangolla, Devaka K. Weerakoon, Tek Maraseni, and Benjamin L. Allen. 2023. "Attitudes towards the Potential Use of Aversive Geofencing Devices to Manage Wild Elephant Movement" Animals 13, no. 16: 2657. https://doi.org/10.3390/ani13162657
APA StyleCabral de Mel, S. J., Seneweera, S., Dangolla, A., Weerakoon, D. K., Maraseni, T., & Allen, B. L. (2023). Attitudes towards the Potential Use of Aversive Geofencing Devices to Manage Wild Elephant Movement. Animals, 13(16), 2657. https://doi.org/10.3390/ani13162657

