Predictive Value of Acute Phase Proteins for the Short-Term Outcome of Meningoencephalitis of Unknown Origin in Dogs
Abstract
Simple Summary
Abstract
1. Introduction
2. Materials and Methods
2.1. Case Selection
2.2. Inclusion Criteria
2.3. Exclusion Criteria
2.4. Groups
2.5. Data Collection
2.6. Statistical Analysis
3. Results
3.1. Study Population
3.2. APPs Analyzed at the Time of Diagnosis in Survived and Non-Survived Dogs
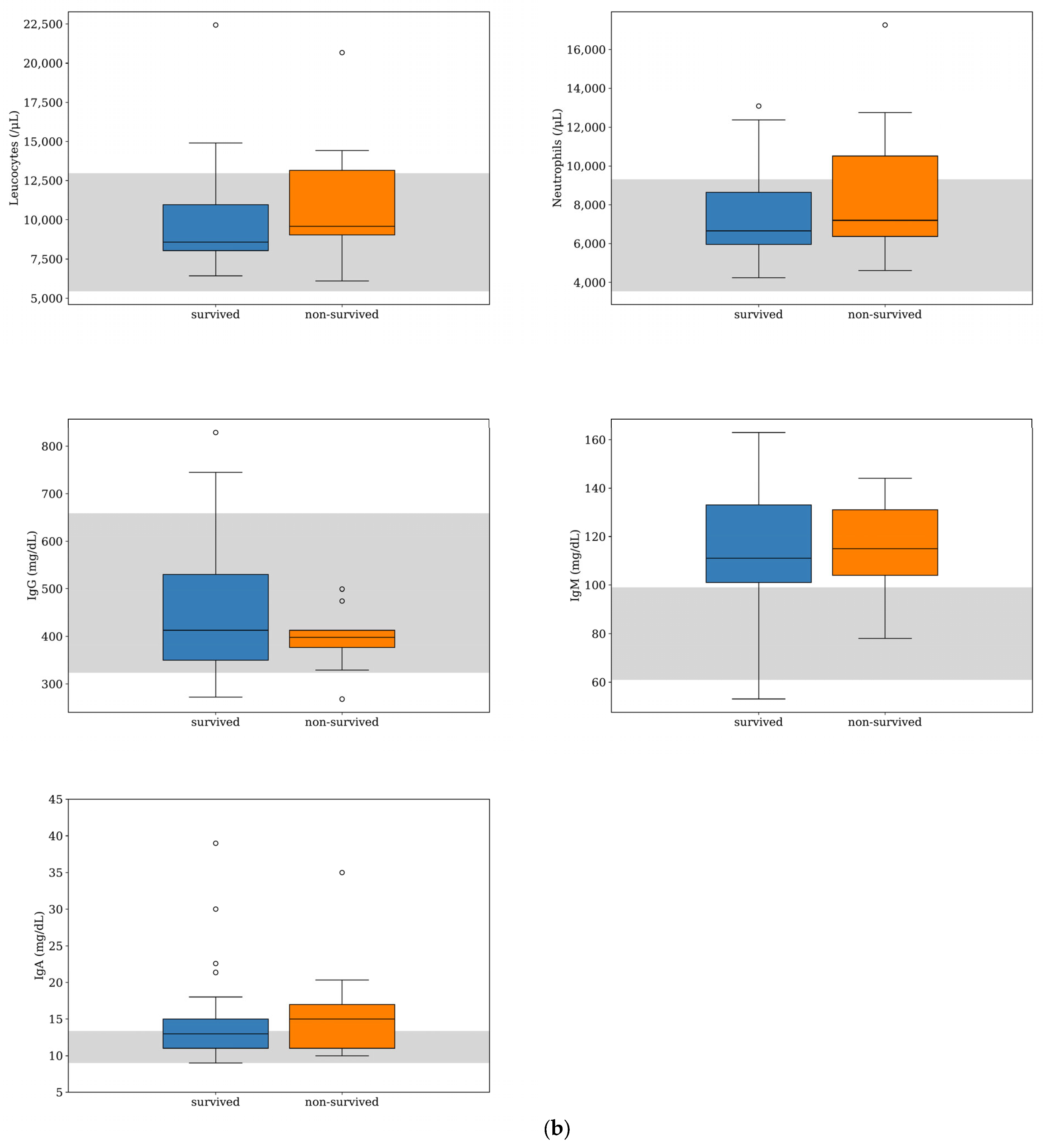
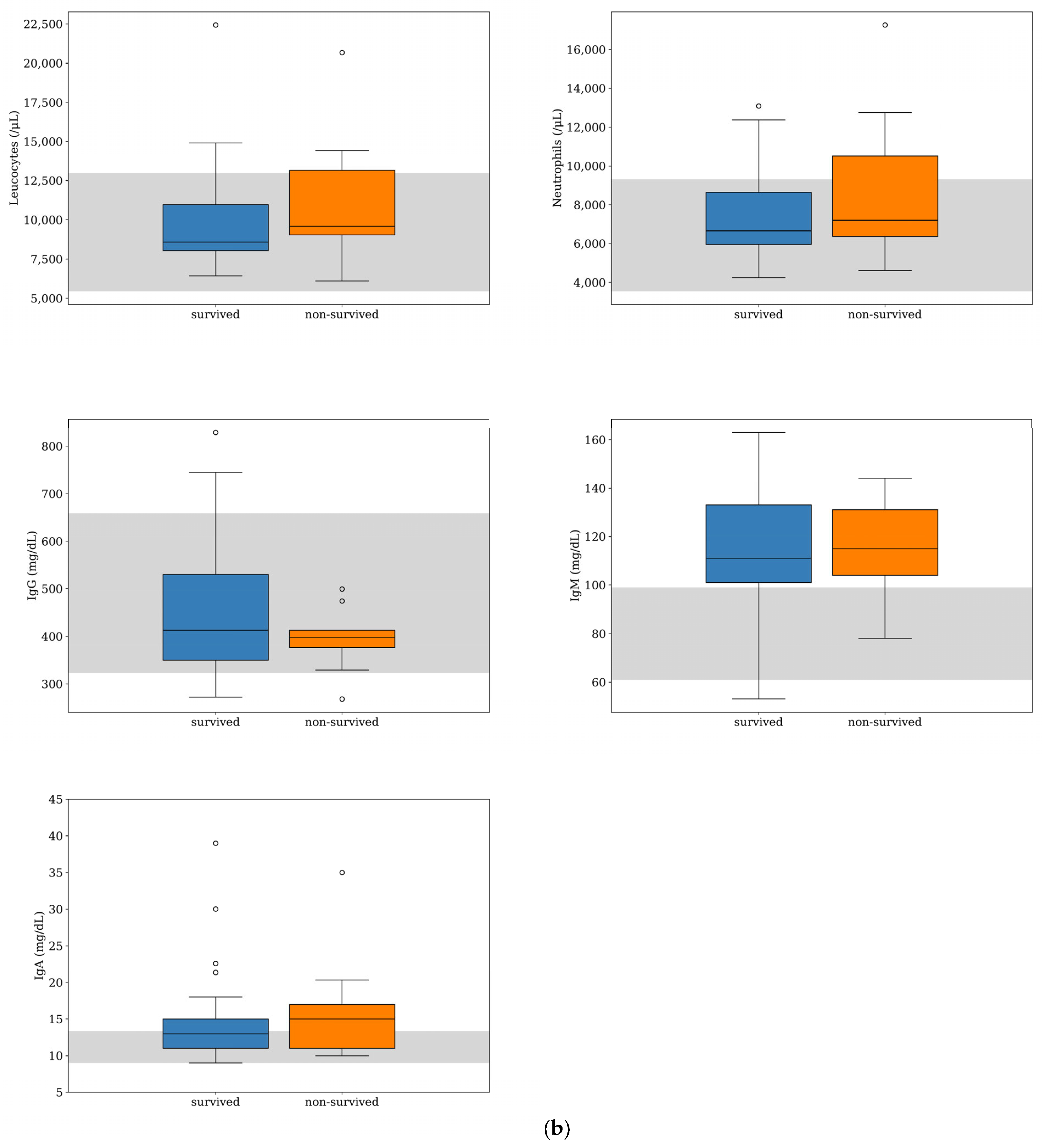
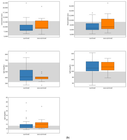
3.3. Other Inflammatory Biomarkers Analyzed at the Time of Diagnosis in Survived and Non-Survived Dogs
4. Discussion
5. Conclusions
Author Contributions
Funding
Institutional Review Board Statement
Informed Consent Statement
Data Availability Statement
Conflicts of Interest
References
- Gonçalves, R.; De Decker, S.; Walmsley, G.; Butterfield, S.; Maddox, T.W. Inflammatory Disease Affecting the Central Nervous System in Dogs: A Retrospective Study in England (2010–2019). Front. Vet. Sci. 2022, 8, 819945. [Google Scholar] [CrossRef] [PubMed]
- Granger, N.; Smith, P.M.; Jeffery, N.D. Clinical Findings and Treatment of Non-Infectious Meningoencephalomyelitis in Dogs: A Systematic Review of 457 Published Cases from 1962 to 2008. Vet. J. 2010, 184, 290–297. [Google Scholar] [CrossRef] [PubMed]
- Cornelis, I.; Van Ham, L.; Gielen, I.; De Decker, S.; Bhatti, S.F.M. Clinical Presentation, Diagnostic Findings, Prognostic Factors, Treatment and Outcome in Dogs with Meningoencephalomyelitis of Unknown Origin: A Review. Vet. J. 2019, 244, 37–44. [Google Scholar] [PubMed]
- Cornelis, I.; Volk, H.A.; De Decker, S. Clinical Presentation, Diagnostic Findings and Long-Term Survival in Large Breed Dogs with Meningoencephalitis of Unknown Aetiology. Vet. Rec. 2016, 179, 147. [Google Scholar] [CrossRef]
- Nessler, J.N.; Jo, W.K.; Osterhaus, A.D.M.E.; Ludlow, M.; Tipold, A. Canine Meningoencephalitis of Unknown Origin—The Search for Infectious Agents in the Cerebrospinal Fluid via Deep Sequencing. Front. Vet. Sci. 2021, 8, 645517. [Google Scholar] [CrossRef]
- Collinet, A.; Garcia, G.; Wellehan, J.; Childress, A.; Carrera-Justiz, S. Investigation of Astrovirus and Bornavirus in the Cerebrospinal Fluid of Dogs Clinically Diagnosed with Meningoencephalitis of Unknown Etiology. J. Vet. Intern. Med. 2020, 34, 232–236. [Google Scholar] [CrossRef] [PubMed]
- Portero, M.; Miró, G.; Checa, R.; Martínez de Merlo, E.; Fragío, C.; Benito, M.; Sainz, Á.; Pérez, C. Role of Leishmania Infantum in Meningoencephalitis of Unknown Origin in Dogs from a Canine Leishmaniosis Endemic Area. Microorganisms 2021, 9, 571. [Google Scholar] [CrossRef] [PubMed]
- Jeffery, U. Urban Environment: A Risk Factor for Canine Immune-Mediated Disease? J. Small Anim. Pract. 2017, 58, 639–644. [Google Scholar] [CrossRef]
- Schatzberg, S.J.; Haley, N.J.; Barr, S.C.; de Lahunta, A.; Sharp, N.J.H. Polymerase Chain Reaction Screening for DNA Viruses in Paraffin-Embedded Brains from Dogs with Necrotizing Meningoencephalitis, Necrotizing Leukoencephalitis, and Granulomatous Meningoencephalitis. J. Vet. Intern. Med. 2005, 19, 553–559. [Google Scholar] [CrossRef]
- Barber, R.M.; Porter, B.F.; Li, Q.; May, M.; Claiborne, M.K.; Allison, A.B.; Howerth, E.W.; Butler, A.; Wei, S.; Levine, J.M.; et al. Broadly Reactive Polymerase Chain Reaction for Pathogen Detection in Canine Granulomatous Meningoencephalomyelitis and Necrotizing Meningoencephalitis. J. Vet. Intern. Med. 2012, 26, 962–968. [Google Scholar] [CrossRef]
- Coates, J.R.; Jeffery, N.D. Perspectives on Meningoencephalomyelitis of Unknown Origin. Vet. Clin. N. Am. Small Anim. Pract. 2014, 44, 1157–1185. [Google Scholar] [CrossRef]
- Behr, S.; Llabrés-Díras, F.J.L.; Radaelli, S.T. Treatment of Meningoencephalitis of Unknown Origin in a Dog. Vet. Rec. 2009, 164, 627–629. [Google Scholar] [CrossRef] [PubMed]
- Lowrie, M.; Smith, P.M.; Garosi, L. Meningoencephalitis of Unknown Origin: Investigation of Prognostic Factors and Outcome Using a Standard Treatment Protocol. Vet. Rec. 2013, 172, 527. [Google Scholar] [CrossRef]
- Lowrie, M.; Thomson, S.; Smith, P.; Garosi, L. Effect of a Constant Rate Infusion of Cytosine Arabinoside on Mortality in Dogs with Meningoencephalitis of Unknown Origin. Vet. J. 2016, 213, 1–5. [Google Scholar] [CrossRef] [PubMed]
- Jones, A.; McGrath, S.; Gustafson, D.L. The Pharmacokinetics of Cytarabine Administered at Three Distinct Subcutaneous Dosing Protocols in Dogs with Meningoencephalomyelitis of Unknown Origin. J. Vet. Pharmacol. Ther. 2019, 42, 588–592. [Google Scholar] [CrossRef] [PubMed]
- Stee, K.; Broeckx, B.J.G.; Targett, M.; Gomes, S.A.; Lowrie, M. Cytosine Arabinoside Constant Rate Infusion without Subsequent Subcutaneous Injections for the Treatment of Dogs with Meningoencephalomyelitis of Unknown Origin. Vet. Rec. 2020, 187, 98. [Google Scholar] [CrossRef]
- Brady, S.L.; Woodward, A.P.; le Chevoir, M.A.R. Survival Time and Relapse in Dogs with Meningoencephalomyelitis of Unknown Origin Treated with Prednisolone and Ciclosporin: A Retrospective Study. Aust. Vet. J. 2020, 98, 491–498. [Google Scholar] [CrossRef]
- Zarfoss, M.; Schatzberg, S.; Venator, K.; Cutter-Schatzberg, K.; Cuddon, P.; Pintar, J.; Weinkle, T.; Scarlett, J.; DeLahunta, A. Combined Cytosine Arabinoside and Prednisone Therapy for Meningoencephalitis of Unknown Aetiology in 10 Dogs. J. Small Anim. Pract. 2006, 47, 588–595. [Google Scholar] [CrossRef]
- Lawn, R.W.; Harcourt-Brown, T.R. Risk Factors for Early Death or Euthanasia within 100 Days of Diagnosis in Dogs with Meningoencephalitis of Unknown Origin. Vet. J. 2022, 287, 105884. [Google Scholar] [CrossRef]
- Cornelis, I.; Volk, H.A.; van Ham, L.; de Decker, S. Prognostic Factors for 1-Week Survival in Dogs Diagnosed with Meningoencephalitis of Unknown Aetiology. Vet. J. 2016, 214, 91–95. [Google Scholar] [CrossRef]
- Andersen-Ranberg, E.; Berendt, M.; Gredal, H. Biomarkers of Non-Infectious Inflammatory CNS Diseases in Dogs—Where Are We Now? Part I: Meningoencephalitis of Unknown Origin. Vet. J. 2021, 273, 105678. [Google Scholar] [PubMed]
- Meyerhoff, N.; Rohn, K.; Carlson, R.; Tipold, A. Measurement of Neutrophil Gelatinase-Associated Lipocalin Concentration in Canine Cerebrospinal Fluid and Serum and Its Involvement in Neuroinflammation. Front. Vet. Sci. 2019, 6, 315. [Google Scholar] [CrossRef] [PubMed]
- Gaitero, L.; Russell, S.J.; Monteith, G.; LaMarre, J. Expression of MicroRNAs MiR-21 and MiR-181c in Cerebrospinal Fluid and Serum in Canine Meningoencephalomyelitis of Unknown Origin. Vet. J. 2016, 216, 122–124. [Google Scholar] [CrossRef]
- Portero, M.; Martínez de Merlo, E.; Pérez, C.; Benito, M.; Daza, M.A.; Fragio, C. Cerebrospinal Fluid and Blood Lactate Concentrations as Prognostic Biomarkers in Dogs with Meningoencephalitis of Unknown Origin. Vet. J. 2019, 254, 105395. [Google Scholar] [CrossRef]
- Yun, T.; Koo, Y.; Chae, Y.; Lee, D.; Kim, H.; Kim, S.; Chang, D.; Na, K.J.; Yang, M.P.; Kang, B.T. Neurofilament Light Chain as a Biomarker of Meningoencephalitis of Unknown Etiology in Dogs. J. Vet. Intern. Med. 2021, 35, 1865–1872. [Google Scholar] [CrossRef] [PubMed]
- Eckersall, P.D.; Bell, R. Acute Phase Proteins: Biomarkers of Infection and Inflammation in Veterinary Medicine. Vet. J. 2010, 185, 23–27. [Google Scholar]
- Barber, R.; Downey Koos, L. Treatment with Cytarabine at Initiation of Therapy with Cyclosporine and Glucocorticoids for Dogs with Meningoencephalomyelitis of Unknown Origin Is Not Associated with Improved Outcomes. Front. Vet. Sci. 2022, 9, 925774. [Google Scholar] [CrossRef]
- Andersen-Ranberg, E.; Berendt, M.; Gredal, H. Biomarkers of Non-Infectious Inflammatory CNS Diseases in Dogs: Where Are We Now? Part 2—Steroid Responsive Meningitis-Arteritis. Vet. J. 2021, 273, 105692. [Google Scholar]
- Kanashiro, A.; Hiroki, C.H.; da Fonseca, D.M.; Birbrair, A.; Ferreira, R.G.; Bassi, G.S.; Fonseca, M.D.; Kusuda, R.; Cebinelli, G.C.M.; da Silva, K.P.; et al. The Role of Neutrophils in Neuro-Immune Modulation. Pharmacol. Res. 2020, 151, 104580. [Google Scholar] [CrossRef]
- Pierson, E.R.; Wagner, C.A.; Goverman, J.M. The Contribution of Neutrophils to CNS Autoimmunity. Clin. Immunol. 2018, 189, 23–28. [Google Scholar] [CrossRef]
- Steinbach, K.; Piedavent, M.; Bauer, S.; Neumann, J.T.; Friese, M.A. Neutrophils Amplify Autoimmune Central Nervous System Infiltrates by Maturing Local APCs. J. Immunol. 2013, 191, 4531–4539. [Google Scholar] [CrossRef] [PubMed]
- Liu, Z.; Li, Y.; Wang, Y.; Zhang, H.; Lian, Y.; Cheng, X. The Neutrophil-to-Lymphocyte and Monocyte-to-Lymphocyte Ratios Are Independently Associated with the Severity of Autoimmune Encephalitis. Front. Immunol. 2022, 13, 911779. [Google Scholar] [CrossRef] [PubMed]
- de la Fuente, C.; Monreal, L.; Cerón, J.; Pastor, J.; Viu, J.; Añor, S. Fibrinolytic Activity in Cerebrospinal Fluid of Dogs with Different Neurological Disorders. J. Vet. Intern. Med. 2012, 26, 1365–1373. [Google Scholar] [CrossRef]
- Tipold, A.; Pfister, H.; Zurbriggen, A.; Vandevelde, M. Intrathecal Synthesis of Major Immunoglobulin Classes in Inflammatory Diseases of the Canine CNS. Vet. Lmmunol. Immunopathol. 1994, 42, 149–159. [Google Scholar] [CrossRef]
- Graus, F.; Titulaer, M.J.; Balu, R.; Benseler, S.; Bien, C.G.; Cellucci, T.; Cortese, I.; Dale, R.C.; Gelfand, J.M.; Geschwind, M.; et al. A Clinical Approach to Diagnosis of Autoimmune Encephalitis. Lancet Neurol. 2016, 15, 391–404. [Google Scholar] [CrossRef]
- Black, V.L.; Whitworth, F.J.S.; Adamantos, S. Pyrexia in Juvenile Dogs: A Review of 140 Referred Cases. J. Small Anim. Pract. 2019, 60, 116–120. [Google Scholar]
- Tipold, A.; Schatzberg, S.J. An Update on Steroid Responsive Meningitis-Arteritis. J. Small Anim. Pract. 2010, 51, 150–154. [Google Scholar] [CrossRef]
- Snyder, K.; Saunders, A.B.; Levine, J.M.; Clubb, F.J. Arrhythmias and Elevated Troponin I in a Dog with Steroid-Responsive Meningitis-Arteritis. J. Am. Anim. Hosp. Assoc. 2010, 46, 61–65. [Google Scholar] [CrossRef] [PubMed]
- Webb, A.A.; Taylor, S.M.; Muir, G.D. Steroid-Responsive Meningitis-Arteritis in Dogs with Noninfectious, Nonerosive, Idiopathic, Immune-Mediated Polyarthritis. J. Vet. Intern. Med. 2002, 16, 269–273. [Google Scholar] [CrossRef]



| Variable | RI | Survived (n = 39) | Non-Survived (n = 9) | p-Value |
|---|---|---|---|---|
| CRP (mg/dL) | 0.01–0.22 | 0.24 (0.01–5.27) | 0.02 (0.01–12.76) | 0.904 |
| Haptoglobin (mg/dL) | 1–96 | 113 (1–619) | 89 (1–592) | 0.704 |
| Ferritin (ng/mL) | 85–286 | 182 (92–676) | 192 (147–451) | 0.465 |
| Fibrinogen (mg/dL) | 152–284 | 249 (108–680) | 284 (154–606) | 0.749 |
| Albumin (g/dL) | 2.7–3.6 | 3.5 (2.5–4.5) | 3.4 (3-0–4.0) | 0.603 |
| PON-1 (IU/L) | 3.86–5.53 | 4.51 (2.66–6.12) | 4.52 (3.36–5.23) | 0.728 |
| Leukocytes (/μL) | 5450–12,980 | 8570 (6420–22,430) | 9590 (6090–20,670) | 0.342 |
| Neutrophils (/μL) | 3555–9314 | 6660 (4240–1390) | 7200 (4610–17,260) | 0.271 |
| IgG (mg/dL) | 323–659 | 413 (272–829) | 398 (268–499) | 0.535 |
| IgM (mg/dL) | 61–99 | 111 (53–163) | 115 (78–144) | 0.826 |
| IgA (mg/dL) | 9–13.4 | 13 (9–166) | 15 (10–35) | 0.503 |
| Variable | Total (n = 48) | Survived (n = 39) | Non-Survived (n = 9) | p-Value |
|---|---|---|---|---|
| Dogs with CRP concentration above RI | 24 (50%) | 20 (51%) | 4 (44%) | 0.151 |
| Dogs with haptoglobin concentration above RI | 23 (48%) | 20 (51%) | 3 (33%) | 0.466 |
| Dogs with ferritin concentration above RI | 7 (15%) | 6 (15%) | 1 (11%) | 1 |
| Dogs with fibrinogen concentration above RI | 21 (44%) | 17 (44%) | 4 (44%) | 1 |
| Dogs with albumin concentration below RI | 2 (4%) | 2 (5%) | 0 (0%) | 1 |
| Dogs with PON-1 activity below RI | 10 (21%) | 8 (21%) | 2 (22%) | 1 |
| Dogs with leukocytes count above RI | 7 (15%) | 4 (10%) | 3 (33%) | 0.111 |
| Dogs with neutrophils count above RI | 10 (21%) | 6 (15%) | 4 (44%) | 0.075 |
| Dogs with IgG concentration above RI | 4 (8%) | 4 (10%) | 0 (0%) | 1 |
| Dogs with IgM concentration above RI | 38 (79%) | 31 (79%) | 7 (78%) | 1 |
| Dogs with IgA concentration above RI | 29 (40%) | 14 (36%) | 5 (56%) | .451 |
Disclaimer/Publisher’s Note: The statements, opinions and data contained in all publications are solely those of the individual author(s) and contributor(s) and not of MDPI and/or the editor(s). MDPI and/or the editor(s) disclaim responsibility for any injury to people or property resulting from any ideas, methods, instructions or products referred to in the content. |
© 2023 by the authors. Licensee MDPI, Basel, Switzerland. This article is an open access article distributed under the terms and conditions of the Creative Commons Attribution (CC BY) license (https://creativecommons.org/licenses/by/4.0/).
Share and Cite
Cocchetto, A.; Zoia, A.; Aragão, R.; Ventura, L.; Menchetti, M. Predictive Value of Acute Phase Proteins for the Short-Term Outcome of Meningoencephalitis of Unknown Origin in Dogs. Animals 2023, 13, 2575. https://doi.org/10.3390/ani13162575
Cocchetto A, Zoia A, Aragão R, Ventura L, Menchetti M. Predictive Value of Acute Phase Proteins for the Short-Term Outcome of Meningoencephalitis of Unknown Origin in Dogs. Animals. 2023; 13(16):2575. https://doi.org/10.3390/ani13162575
Chicago/Turabian StyleCocchetto, Aurora, Andrea Zoia, Rita Aragão, Laura Ventura, and Marika Menchetti. 2023. "Predictive Value of Acute Phase Proteins for the Short-Term Outcome of Meningoencephalitis of Unknown Origin in Dogs" Animals 13, no. 16: 2575. https://doi.org/10.3390/ani13162575
APA StyleCocchetto, A., Zoia, A., Aragão, R., Ventura, L., & Menchetti, M. (2023). Predictive Value of Acute Phase Proteins for the Short-Term Outcome of Meningoencephalitis of Unknown Origin in Dogs. Animals, 13(16), 2575. https://doi.org/10.3390/ani13162575

