The Assessment of Withdrawal Interval for Enrofloxacin in Yellow Catfish (Pelteobagrus fulvidraco) after Multiple Oral Administrations at Disparate Temperatures
Abstract
Simple Summary
Abstract
1. Introduction
2. Materials and Methods
2.1. Chemicals and Reagents
2.2. Animals
2.3. Repeated Oral Doses and Sample Harvest
2.4. Sample Preparation and Instrumental Analysis
2.5. Method Validation
2.6. Statistical Analysis and WT Estimation
3. Results
3.1. HPLC Analysis
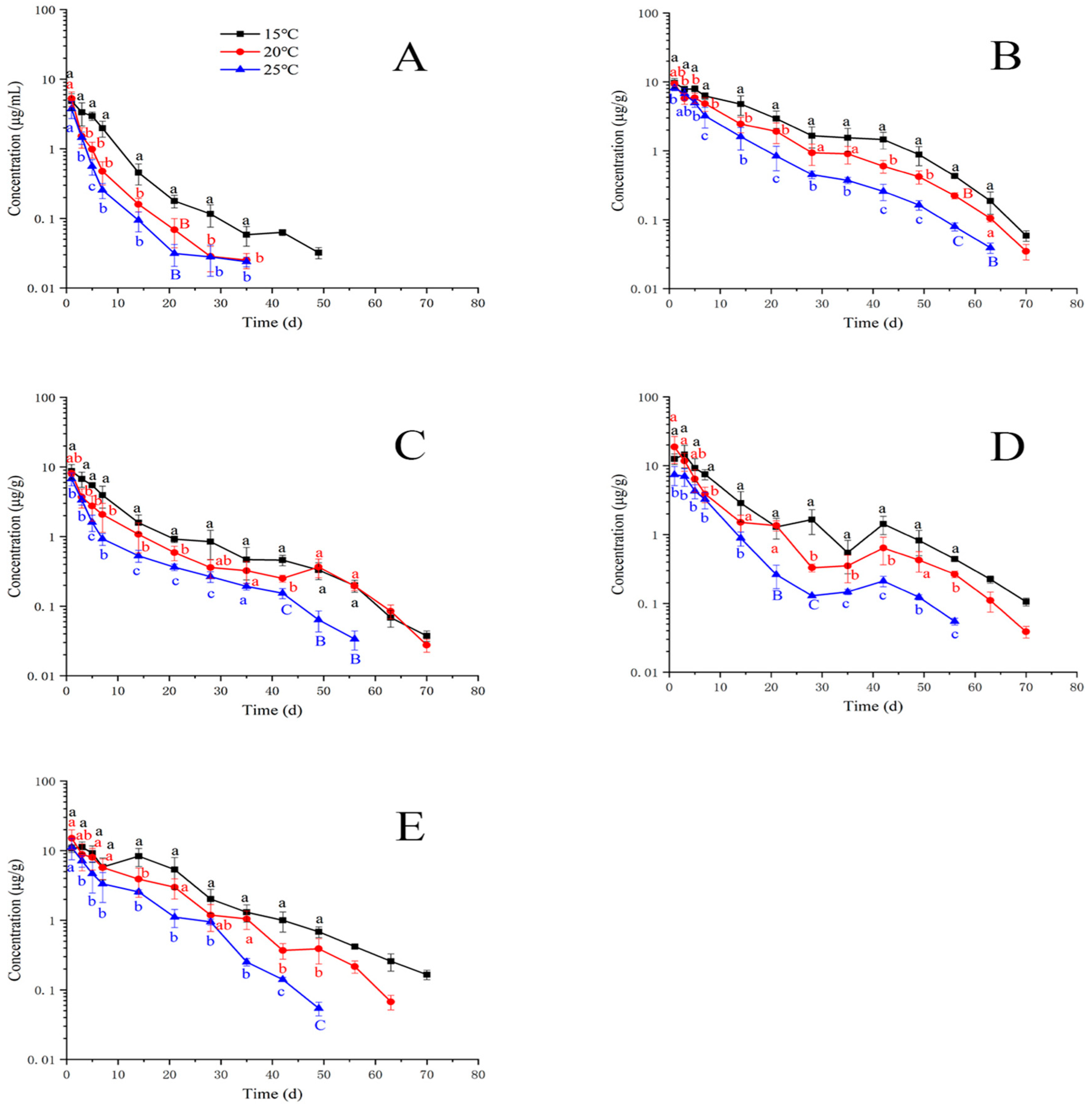
3.2. Depletion Profiles of EF and CF in Plasma and Tissues
3.3. The Estimation of Withdrawal Times
4. Discussion
5. Conclusions
Author Contributions
Funding
Institutional Review Board Statement
Informed Consent Statement
Data Availability Statement
Conflicts of Interest
Abbreviations
| CCα | decision limits |
| CCβ | detection capability |
| EF | enrofloxacin |
| FF | florfenicol |
| LOD | the limit of detection |
| LOQ | the limit of quantification |
| MRL | maximum residue limit |
| T1/2 | elimination half-life |
| HPLC | high-performance liquid chromatography |
| WT | withdrawal time |
References
- Zhou, Y.; Jing, N.; Zeng, J.; Fan, Y.; Liu, W.; Si, K.; Zeng, L. Isolation and identification of pathogenic bacterium from ascites disease of yellow catifish, Pelteobagrus fulvidraco. Chin. Fish. Qual. Stand. 2019, 9, 18–26. [Google Scholar]
- Wen, Z. Common bacterial diseases of yellow catfish (Pelteobagrus fulvidraco). Anim. Breed. Feed 2020, 19, 1–5. [Google Scholar]
- Badawy, S.; Yang, Y.; Liu, Y.; Marawan, M.A.; Ares, I.; Martinez, M.A.; Martínez-Larrañaga, M.R.; Wang, X.; Anadón, A.; Martínez, M. Toxicity induced by ciprofloxacin and enrofloxacin: Oxidative stress and metabolism. Crit. Rev. Toxicol. 2021, 51, 754–787. [Google Scholar]
- GB 31650-2019; National Food Safety Standard—Maximum Residue Limits for Veterinary Drugs in Foods. Ministry of Agriculture and Rural Affairs of PRC: Beijing, China, 2019.
- JFCRF. The Japan Food Chemical Research Foundation (JFCRF) Enforcement on 29 May 2006 of the Japanese Positive List System for Agricultural Chemical Residues in Foods Food Safety and Comsumer Affairs Bureau; The Japan Food Chemical Research Foundation: Osaka, Japan, 2006; Volume 12–33. [Google Scholar]
- MFDS. Pesticides and Veterinary Drugs Information; Ministry of Food and Drug Safety of South Korean: Osong, Republic of Korea, 2016.
- EMA. Committee for Veterinary Medicinal Products-Enrofloxacin Summary Report (5); EMA: Amsterdam, The Netherlands, 2002; Volume EMEA/MRL/820/02-FINAL.
- Kim, P.H.; Lee, H.J.; Jo, M.-R.; Kim, J.H.; Son, K.T.; Lee, T. Withdrawal times of ciprofloxacin in oliver flounder (Paralichthys olivaceus) after oral administration. Korean J. Fish. Aquat. Sci. 2008, 41, 440–445. [Google Scholar]
- Seo, J.S.; Jeon, E.J.; Lee, E.H.; Jung, S.H.; Park, M.-A.; Jee, B.Y.; Kim, N.Y. The residues of enrofloxacin in cultured Paralichthys olivaceus. J. Fish Pathol. 2013, 26, 45–50. [Google Scholar] [CrossRef][Green Version]
- Lucchetti, D.; Fabrizi, L.; Guandalini, E.; Podesta, E.; Marvasi, L.; Zaghini, A.; Coni, E. Long depletion time of enrofloxacin in rainbow trout (Oncorhynchus mykiss). Antimicrob. Agents Chemother. 2004, 48, 3912–3917. [Google Scholar] [CrossRef]
- Poapolathep, A.; Jermnak, U.; Chareonsan, A.; Sakulthaew, C.; Klangkaew, N.; Sukasem, T.; Kumagai, S. Dispositions and residue depletion of enrofloxacin and its metabolite ciprofloxacin in muscle tissue of giant freshwater prawns (Macrobrachium rosenbergii). J. Vet. Pharmacol. Ther. 2009, 32, 229–234. [Google Scholar] [CrossRef] [PubMed]
- Shan, Q.; Huang, H.; Zheng, G.; Yin, Y.; Zhu, X.; Ma, L.; Zhou, H.; Xie, W.; Li, L.; Liu, S.; et al. Pharmacokinetics and tissue residue profiles of enrofloxacin in crucian carp (Carassius auratus gibelio) following single and multiple oral administration. Front. Vet. Sci. 2022, 9, 872828. [Google Scholar] [CrossRef]
- Tran Minh, P.; Douny, C.; Scippo, M.-L.; De Pauw, E.; Nguyen Quoc, T.; Do Thi Thanh, H.; Huynh Phuoc, V.; Nguyen Thanh, P.; Dalsgaard, A. Elimination of enrofloxacin in striped catfish (Pangasianodon hypophthalmus) following on-farm treatment. Aquaculture 2015, 438, 1–5. [Google Scholar]
- Xu, W.; Zhu, X.; Wang, X.; Deng, L.; Zhang, G. Residues of enrofloxacin, furazolidone and their metabolites in Nile tilapia (Oreochromis niloticus). Aquaculture 2006, 254, 1–8. [Google Scholar] [CrossRef]
- Zhang, W.; Wang, J.; Zheng, G.; Yin, Y.; Zhu, X.; Shan, Q.; Yang, Y.; Ma, L.; Li, L.; Liu, S. Pharmacokinetics, tissue distribution, and depletion of enrofloxacin and its metabolite ciprofloxacin in the northern snakehead (Channa argus) following multiple oral administration. Aquaculture 2021, 533, 736183. [Google Scholar] [CrossRef]
- Xu, N.; Sun, W.; Zhang, H.; Li, Z.; Luo, X.; Ai, X.; Ding, Y.; Cheng, B. Effects of temperature on plasma protein binding ratios (PPBRs) of enrofloxacin and ciprofloxacin in yellow catfish (Pelteobagrus fulvidraco), grass carp (Ctenopharyngodon idella), and largemouth bass (Micropterus salmoides). Animals 2023, 13, 1749. [Google Scholar] [CrossRef]
- Xu, N.; Sun, W.; Zhang, H.; Liu, Y.; Dong, J.; Zhou, S.; Yang, Y.; Yang, Q.; Ai, X. Plasma and tissue kinetics of enrofloxacin and its metabolite, ciprofloxacin, in yellow catfish (Pelteobagrus fulvidraco) after a single oral administration at different temperatures. Comp. Biochem. Physiol. C Toxicol. Pharmacol. 2023, 266, 109554. [Google Scholar] [CrossRef] [PubMed]
- EC. Commission Implementing Regulation (EU) 2021/808 of 22 March 2021 on the Performance of Analytical Methods for Residues of Pharmacologically Active Substances Used in Food-Producing Animals and on the Interpretation of Results as Well as on the Methods to Be Used for Sampling and Repealing Decisions 2002/657/EC and 98/179/EC 2021. Available online: https://op.europa.eu/en/publication-detail/-/publication/3dc2b06b-b9cf-11eb-8aca-01aa75ed71a1/language-en (accessed on 17 July 2023).
- Xu, N.; Sun, W.; Gong, L.; Dong, J.; Zhou, S.; Liu, Y.; Yang, Y.; Yang, Q.; Ding, Y.; Ai, X. An improved withdrawal interval calculation and risk assessment of doxycycline in crayfish (Procambarus clarkii) in the natural cultured environment. Food Res. Int. 2023, 166, 112604. [Google Scholar] [CrossRef] [PubMed]
- Xu, N.; Li, M.; Fu, Y.; Zhang, X.; Ai, X.; Lin, Z. Tissue residue depletion kinetics and withdrawal time estimation of doxycycline in grass carp, Ctenopharyngodon idella, following multiple oral administrations. Food Chem. Toxicol. 2019, 131, 110592. [Google Scholar] [CrossRef] [PubMed]
- Shan, Q.; Wang, J.; Zheng, G.; Zhu, X.; Yang, Y.; Ma, L.; Zhao, C.; Li, L.; Yin, Y. Pharmacokinetics and tissue residues of enrofloxacin in the largemouth bass (Micropterus salmoides) after oral administration. J. Vet. Pharmacol. Ther. 2019, 43, 147–152. [Google Scholar] [CrossRef]
- EMA. Committee for Veterinary Medicinal Products-Enrofloxacin Summary Report (1); EMA: Amsterdam, The Netherlands, 1998; Volume EMEA/MRL/1998-FINAL.
- Yang, F.; Yang, F.; Wang, G.; Kong, T.; Wang, H.; Zhang, C. Effects of water temperature on tissue depletion of florfenicol and its metabolite florfenicol amine in crucian carp (Carassius auratus gibelio) following multiple oral doses. Aquaculture 2020, 515, 734542. [Google Scholar] [CrossRef]
- Teles, J.A.; Castello Branco, L.C.; Del Bianchi, M.; Pilarski, F.; Reyes, F.G.R. Pharmacokinetic study of enrofloxacin in Nile tilapia (Oreochromis niloticus) after a single oral administration in medicated feed. J. Vet. Pharmacol. Ther. 2016, 39, 205–208. [Google Scholar] [CrossRef]
- Rairat, T.; Hsieh, C.Y.; Thongpiam, W.; Sung, C.H.; Chou, C.C. Temperature-dependent pharmacokinetics of florfenicol in Nile tilapia (Oreochromis niloticus) following single oral and intravenous administration. Aquaculture 2019, 503, 483–488. [Google Scholar] [CrossRef]
- Xu, N.; Li, M.; Fu, Y.; Zhang, X.; Dong, J.; Liu, Y.; Zhou, S.; Ai, X.; Lin, Z. Effect of temperature on plasma and tissue kinetics of doxycycline in grass carp (Ctenopharyngodon idella) after oral administration. Aquaculture 2019, 511, 734204. [Google Scholar] [CrossRef]
- Lewbart, G.; Vaden, S.; Deen, J.; Manaugh, C.; Whitt, D.; Doi, A.; Smith, T.; Flammer, K. Pharmacokinetics of enrofloxacin in the red pacu (Colossoma brachypomum) after intramuscular, oral and bath administration. J. Vet. Pharmacol. Ther. 1997, 20, 124–128. [Google Scholar] [CrossRef]
- Liang, J.; Li, J.; Zhao, F.; Liu, P.; Chang, Z. Pharmacokinetics and tissue behavior of enrofloxacin and its metabolite ciprofloxacin in turbot Scophthalmus maximus at two water temperatures. Chin. J. Oceanol. Limnol. 2012, 30, 644–653. [Google Scholar] [CrossRef]
- Xu, N.; Li, M.; Lin, Z.; Ai, X. Comparative pharmacokinetics of sulfadiazine and its metabolite N4-acetyl sulfadiazine in grass carp (Ctenopharyngodon idella) at different temperatures after oral administration. Pharmaceutics 2022, 14, 712. [Google Scholar] [CrossRef] [PubMed]
- Xu, N.; Cheng, B.; Yang, Y.; Liu, Y.; Dong, J.; Yang, Q.; Zhou, S.; Song, Y.; Ai, X. The plasma and tissue kinetics of sulfadiazine and its metabolite in Ictalurus punctatus after oral gavage at two temperatures. J. Vet. Pharmacol. Ther. 2023, 46, 125–135. [Google Scholar] [CrossRef] [PubMed]






| Countries | Maximum Residue Limit in Fish | Maximum Residue Limit in Other Animals |
|---|---|---|
| China | Fish: muscle and skin (100 µg/kg) | Bovine and sheep: muscle (100 µg/kg), fat (100 µg/kg), liver (300 µg/kg), kidney (200 µg/kg), and milk (100 µg/kg). Swine, rabbits, poultry: muscle (100 µg/kg), fat (100 µg/kg), liver (200 µg/kg), and kidney (300 µg/kg). |
| Europe | Fish: muscle and skin (100 µg/kg) | Bovine and sheep: muscle (100 µg/kg), fat (100 µg/kg), liver (300 µg/kg), kidney (200 µg/kg), and milk (100 µg/kg). Swine, rabbit, poultry: muscle (100 µg/kg), fat (100 µg/kg), liver (200 µg/kg), and kidney (300 µg/kg). |
| Japan | - | Cattle, pigs, and chickens: muscle (50 µg/kg), fat (50 µg/kg), liver (100 µg/kg), and kidney (100 µg/kg). Cattle, pigs, and chickens: 50 µg/kg, 50 µg/kg, and 100 µg/kg in edible offal. |
| South Korea | Crustacean: muscle (100 µg/kg); fish: muscle and skin (100 µg/kg) | Pig, cattle, sheep, goat, rabbit, and poultry: muscle (100 µg/kg), fat (100 µg/kg), liver (300 µg/kg), and kidney (200 µg/kg). |
| Drug | Plasma or Tissues | Spiked Concentration (μg/g or μg/mL) | Recovery/% | Intra-Day RSD (%) | Inter-Day RSD/% |
|---|---|---|---|---|---|
| Enrofloxacin | Plasma | 0.02 | 107.33 ± 4.21 | 1.78 | 9.45 |
| 0.1 | 92.33 ± 5.21 | 2.37 | 7.02 | ||
| 1 | 86.27 ± 2.07 | 3.48 | 4.21 | ||
| Muscle and skin | 0.02 | 102.33 ± 6.77 | 3.08 | 8.01 | |
| 0.1 | 87.21 ± 1.88 | 2.24 | 4.01 | ||
| 1 | 85.73 ± 1.99 | 3.22 | 4.34 | ||
| Gill | 0.02 | 115.21 ± 7.07 | 5.32 | 8.21 | |
| 0.1 | 90.58 ± 3.29 | 2.75 | 3.92 | ||
| 1 | 87.25 ± 1.07 | 2.33 | 4.25 | ||
| Liver | 0.02 | 104.55 ± 13.47 | 12.35 | 12.77 | |
| 0.1 | 89.47 ± 5.28 | 4.37 | 10.59 | ||
| 1 | 88.59 ± 4.25 | 3.09 | 1.72 | ||
| Kidney | 0.02 | 105.88 ± 6.37 | 2.51 | 6.29 | |
| 0.1 | 108.59 ± 9.21 | 1.20 | 6.33 | ||
| 1 | 86.22 ± 1.77 | 2.38 | 3.97 | ||
| Ciprofloxacin | Plasma | 0.02 | 105.89 ± 6.12 | 3.77 | 6.38 |
| 0.1 | 96.58 ± 1.59 | 2.69 | 3.07 | ||
| 1 | 86.43 ± 1.22 | 3.29 | 4.28 | ||
| Muscle and skin | 0.02 | 106.77 ± 5.68 | 10.21 | 9.35 | |
| 0.1 | 108.59 ± 2.37 | 4.67 | 5.84 | ||
| 1 | 84.23 ± 2.88 | 3.01 | 3.82 | ||
| Gill | 0.02 | 115.57 ± 5.37 | 4.01 | 5.32 | |
| 0.1 | 104.86 ± 4.35 | 3.85 | 4.27 | ||
| 1 | 88.59 ± 2.57 | 1.08 | 3.09 | ||
| Liver | 0.02 | 104.25 ± 8.02 | 8.59 | 18.27 | |
| 0.1 | 101.77± 3.92 | 1.55 | 1.98 | ||
| 1 | 85.39 ± 1.07 | 0.38 | 3.79 | ||
| Kidney | 0.02 | 105.32 ± 8.22 | 4.09 | 8.67 | |
| 0.1 | 95.22 ± 4.33 | 5.21 | 7.08 | ||
| 1 | 86.55 ± 1.68 | 2.31 | 6.32 |
| Temperatures (°C) | Elimination Half-Lives (Days) | ||||
|---|---|---|---|---|---|
| Plasma | Muscle and Skin | Gill | Liver | Kidney | |
| 15 | 6.48 | 11.00 | 9.90 | 11.18 | 11.18 |
| 20 | 4.65 | 9.90 | 11.00 | 9.63 | 9.00 |
| 25 | 4.91 | 8.56 | 8.77 | 7.97 | 6.86 |
| Temperatures (°C) | Elimination Half-Lives (Days) | ||||
|---|---|---|---|---|---|
| Plasma | Muscle and Skin | Gill | Liver | Kidney | |
| 15 | 5.59 | 8.25 | 8.56 | 11.75 | 9.90 |
| 20 | 2.19 | 11.75 | 12.38 | 10.19 | 9.76 |
| 25 | 1.77 | 11.18 | 10.19 | 7.62 | 9.12 |
| Temperatures (°C) | Elimination Half-Lives (Days) | ||||
|---|---|---|---|---|---|
| Plasma | Muscle and Skin | Gill | Liver | Kidney | |
| 15 | 6.03 | 9.63 | 9.00 | 11.36 | 10.83 |
| 20 | 4.15 | 9.76 | 10.66 | 9.90 | 9.12 |
| 25 | 4.44 | 8.77 | 9.24 | 7.53 | 7.22 |
Disclaimer/Publisher’s Note: The statements, opinions and data contained in all publications are solely those of the individual author(s) and contributor(s) and not of MDPI and/or the editor(s). MDPI and/or the editor(s) disclaim responsibility for any injury to people or property resulting from any ideas, methods, instructions or products referred to in the content. |
© 2023 by the authors. Licensee MDPI, Basel, Switzerland. This article is an open access article distributed under the terms and conditions of the Creative Commons Attribution (CC BY) license (https://creativecommons.org/licenses/by/4.0/).
Share and Cite
Xu, N.; Sun, W.; Zhang, H.; Li, Z.; Cheng, B.; Ding, Y.; Ai, X. The Assessment of Withdrawal Interval for Enrofloxacin in Yellow Catfish (Pelteobagrus fulvidraco) after Multiple Oral Administrations at Disparate Temperatures. Animals 2023, 13, 2568. https://doi.org/10.3390/ani13162568
Xu N, Sun W, Zhang H, Li Z, Cheng B, Ding Y, Ai X. The Assessment of Withdrawal Interval for Enrofloxacin in Yellow Catfish (Pelteobagrus fulvidraco) after Multiple Oral Administrations at Disparate Temperatures. Animals. 2023; 13(16):2568. https://doi.org/10.3390/ani13162568
Chicago/Turabian StyleXu, Ning, Weiyu Sun, Huan Zhang, Zhi Li, Bo Cheng, Yongzhen Ding, and Xiaohui Ai. 2023. "The Assessment of Withdrawal Interval for Enrofloxacin in Yellow Catfish (Pelteobagrus fulvidraco) after Multiple Oral Administrations at Disparate Temperatures" Animals 13, no. 16: 2568. https://doi.org/10.3390/ani13162568
APA StyleXu, N., Sun, W., Zhang, H., Li, Z., Cheng, B., Ding, Y., & Ai, X. (2023). The Assessment of Withdrawal Interval for Enrofloxacin in Yellow Catfish (Pelteobagrus fulvidraco) after Multiple Oral Administrations at Disparate Temperatures. Animals, 13(16), 2568. https://doi.org/10.3390/ani13162568

