Computed Tomography as a Method for Age Determination of Carnivora and Odontocetes with Validation from Individuals with Known Age
Abstract
Simple Summary
Abstract
1. Introduction
2. Materials and Methods
2.1. µ-CT of Foxes and Porpoises
2.2. µ-CT of Mink
2.3. Statistical Analysis
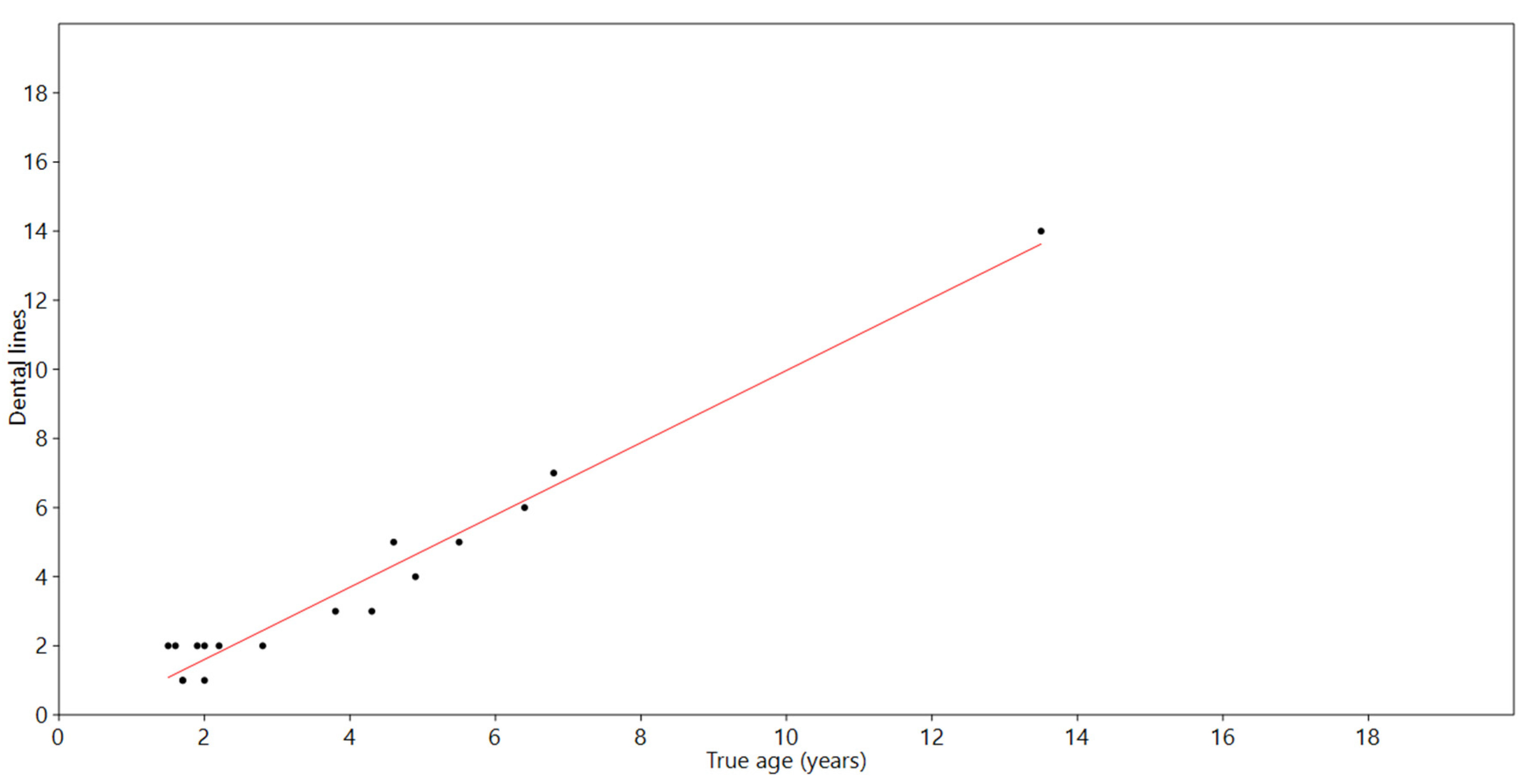
3. Results
4. Discussion
5. Conclusions
Supplementary Materials
Author Contributions
Funding
Institutional Review Board Statement
Informed Consent Statement
Data Availability Statement
Acknowledgments
Conflicts of Interest
Appendix A





References
- Kesselring, T.; Viquerat, S.; Brehm, R.; Siebert, U. Coming of age: -Do female harbour porpoises (Phocoena phocoena) from the North Sea and Baltic Sea have sufficient time to reproduce in a human influenced environment? PLoS ONE 2017, 12, e0186951. [Google Scholar] [CrossRef] [PubMed]
- Pagh, S.; Pertoldi, C.; Chriel, M.; Petersen, H.H.; Jensen, T.H.; Madsen, S.; Kraft, D.C.E.; Schou, T.M.; Hansen, M.S. Estimation of the age and reproductive performance of wild-born and escaped mink (Neovison vison) caught in the wild in Denmark. Animals 2021, 11, 162. [Google Scholar] [CrossRef]
- Pagh, S.; Hansen, M.S.; Jensen, B.; Pertoldi, C.; Chriél, M. Variability in body mass and sexual dimorphism in Danish red foxes (Vulpes vulpes) in relation to population density. Zool. Ecol. 2018, 28, 1–9. [Google Scholar] [CrossRef]
- Pagh, S.; Chriél, M.; Madsen, A.B.; Jensen, T.W.; Elmeros, M.; Asferg, T.; Hansen, M.S. Increased reproductive output of Danish red fox females following an outbreak of canine distemper. Canid Biol. Conserv. 2018, 21, 12–20. [Google Scholar]
- Pagh, S.; Buxbom, J.; Chriél, M.; Pertoldi, C.; Pedersen, J.S.; Hansen, M.S. Modelled population growth based on reproduction differs from life tables based on age determination in Danish raccoon dogs (Nyctereutes procyonoides). Mammal Res. 2020, 65, 215–222. [Google Scholar] [CrossRef]
- Hohn, A.A.; Scott, M.D.; Wells, R.S.; Sweeney, J.C.; Irvine, A.B. Growth Layers in teeth from known-age, free-ranging Bottlenose dolphins. Mar. Mammal Sci. 1989, 5, 315–342. [Google Scholar] [CrossRef]
- Helle, E.; Kauhala, K. Age structure, mortality, and sex ratio of the raccoon dog in Finland. J. Mammal. 1993, 74, 936–942. [Google Scholar] [CrossRef]
- Jacobson, E.K.; Boyd, C.; McGuire, T.L.; Shelden, K.E.W.; Himes Boor, G.K.; Punt, A.E. Assessing cetacean populations using integrated population models: An example with Cook Inlet beluga whales. Ecol. Appl. 2020, 30, e02114. [Google Scholar] [CrossRef] [PubMed]
- Fontaine, M.C.; Roland, K.; Calves, I.; Austerlitz, F.; Palstra, F.P.; Tolley, K.A.; Ryan, S.; Ferreira, M.; Jauniaux, T.; Llavona, A.; et al. Postglacial climate changes and rise of three ecotypes of harbour porpoises, Phocoena phocoena, in western Palearctic waters. Mol. Ecol. 2014, 23, 3306–3321. [Google Scholar] [CrossRef]
- Betty, E.L.; Stockin, K.A.; Hinton, B.; Bollard, B.A.; Smith, A.N.H.; Orams, M.B.; Murphy, S. Age, growth, and sexual dimorphism of the Southern Hemisphere long-finned pilot whale (Globicephala melas edwardii). J. Mammal. 2022, 103, 560–575. [Google Scholar] [CrossRef]
- Grue, H.; Jensen, B. Annual structures in canine tooth cementum in red foxes (Vulpes vulpes L.) of known age. Dan. Rev. Game Biol. 1973, 8, 1–12. [Google Scholar]
- Grue, H.; Jensen, B. Review of the formation of incremental lines in tooth cementum of terrestrial mammals [age determination, game animal, variation, sex, reproductive cycle, climate, region, condition of the animal]. Dan. Rev. Game Biol. 1979, 11, 1–47. [Google Scholar]
- Frylestam, B.; Schantz, T. Age determination of European hares based on periosteal growth lines. Mammal Rev. 1977, 7, 151–154. [Google Scholar] [CrossRef]
- Frylestam, B. Growth and body weight of European hares in southern Sweden. Ecography 1980, 3, 81–86. [Google Scholar] [CrossRef]
- Kauhala, K.; Helle, E. Age determination of the raccoon dog in Finland. Acta Theriol. 1990, 35, 321–329. [Google Scholar] [CrossRef]
- Helldin, J.O. Age Determination of Eurasian Pine Martens by Radiographs of Teeth in Situ. Wildl. Soc. Bull. 1997, 25, 83–88. [Google Scholar]
- Lockyer, C. Application of a new method to investigate population structure in the harbour porpoise, Phocoena phocoena, with special reference to the North and Baltic Seas. J. Cetacean Res. Manag. 1999, 1, 297–304. Available online: https://search.proquest.com/docview/17509162 (accessed on 30 October 2017). [CrossRef]
- Nielsen, N.H.; Garde, E.; Heide-Jørgensen, M.P.; Lockyer, C.H.; Ditlevsen, S.; Òlafsdóttir, D.; Hansen, S.H. Application of a novel method for age estimation of a baleen whale and a porpoise. Mar. Mammal Sci. 2013, 29, E1–E23. [Google Scholar] [CrossRef]
- Harris, S. Age determination in the Red fox (Vulpes vulpes)-an evaluation of technique efficiency as applied to a sample of suburban foxes. J. Zool. 1978, 184, 91–117. [Google Scholar] [CrossRef]
- Roulichová, J.; Andera, M. Simple method of age determination in red fox, Vulpes vulpes. Folia Zool. 2007, 56, 440. Available online: https://search.proquest.com/docview/206328856 (accessed on 21 December 2007).
- Evans, K.; Himdell, M.A.; Lockyer, C.; Rice, D. Factors affecting the precision of age determination of sperm whales (Physeter macrocephalus). J. Cetacean Res. Manag. 2002, 4, 193–201. [Google Scholar] [CrossRef]
- Lockyer, C. A review of factors involved in zonation in odontocete teeth, and an investigation of the likely impact of environment factors and major life events on harbour porpoise tooth structure. In Biology of Phocoenids; Report of the International Whaling Commission, Special Issue 16; Bjørge, A., Donovan, G.P., Eds.; International Whaling Commission: Cambridge, UK, 1995; pp. 511–529. [Google Scholar]
- Luque, P.L.; Learmonth, J.A.; Santos, M.B.; Ieno, E.; Pierce, G.J. Comparison of two histological techniques for age determination in small cetaceans. Mar. Mammal Sci. 2009, 25, 902–919. [Google Scholar] [CrossRef]
- Pagh, S.; Chriél, M.H.A.; Nielsen, T.A.; Hansen, M.S. Age determination of sperm whales (Physeter macrocephalus) from the west coast of Jutland, Denmark. In Proceedings of the 13th Danish Marine Mammal Symposium, 2016; p. 1. Available online: https://vbn.aau.dk/da/publications/age-determination-of-sperm-whales-physeter-macrocephalus-from-the (accessed on 4 March 2016).
- Jasinski, S.E.; Abbas, S.G.; Mahmood, K.; Babar, M.A.; Khan, M.A. New Carnivoran (Mammalia: Carnivora) specimens from the Siwaliks of Pakistan and India and their faunal and evolutionary implications. Hist. Biol. 2022. [Google Scholar] [CrossRef]
- Loch, C.; Schwass, D.R.; Kieser, J.A.; Fordyce, R.E. Use of micro-computed tomography for dental studies in modern and fossil odontocetes: Potential applications and limitations. NAMMCO Sci. Publ. 2013, 8. [Google Scholar] [CrossRef] [PubMed]
- Alstrup, A.K.O.; Munk, O.L.; Jensen, T.H.; Jensen, L.F.; Hedayat, A.; Hansen, B. Magnetic resonance imaging and computed tomography as tools for the investigation of sperm whale (Physeter macrocephalus) teeth and eye. Acta Vet. Scand. 2017, 59, 38. [Google Scholar] [CrossRef]
- Velasco, A.A.; Tanner, C.; Schulz, G.; Rodger, G.; Jackowski, J.; Humbel, M.; Weitkamp, T.; Bunn, H.T.; Müller, B. Hierarchical imaging of African bovid tooth cementum using X-ray microtomography. In Proceedings of the SPIE 12242, Developments in X-ray Tomography XIV 2022, 122420R, San Diego, CA, USA, 21–26 August 2022. [Google Scholar] [CrossRef]
- Jensen, B. Movements of the Red Fox “Vulpes vulpes L. “in Denmark, Investigated by Marking and Recovery; Game Biology Station: Kalø, Denmark, 1973; pp. 11–21. [Google Scholar]
- Whitman, J.S. Age structure differences in American Mink, Mustela vison, populations under varying harvest regimes. Can. Field-Nat. 2003, 117, 35–38. [Google Scholar]
- Stepien, E.N.; Nabe–Nielsen, J.; Hansen, K.A.; Kristensen, J.H.; Blanchet, M.; Brando, S.; Desportes, G.; Lockyer, C.; Marcenaro, L.; Bunskoek, P.; et al. Determination of growth, mass, and body mass index of harbour porpoises (Phocoena phocoena): Implications for conservational status assessment of populations. Glob. Ecol. Conserv. 2023, 42, e02384. [Google Scholar] [CrossRef]
- Feldkamp, L.A.; Davis, L.C.; Kress, J.W. Practical cone-beam algorithm. J. Opt. Soc. Am. A Opt. Image Sci. Vis. 1984, 1, 612. [Google Scholar] [CrossRef]



| Journal Number | Isotropic Voxel Size/µm |
|---|---|
| Fox 1 (838–839) | 14.6 |
| Fox 2 (948–949) | 14.4 |
| Fox 3 (1051–1052) | 12.9 |
| Fox 4 (3113–3114) | 13.9 |
| Fox 5 (3215–3216) | 14.7 |
| Fox 6 (894–895) | 18.2 |
| Fox 7 (689–690) | 11.0 |
| Fox 8 (707–708) | 14.7 |
| Fox 9 (3420–3421) | 12.9 |
| Fox 10 (741–742) | 12.4 |
| Fox 11 (4505–4506) | 146 |
| Fox 12 (705–706) | 14.7 |
| Fox 13 (693–694) | 14.7 |
| Harbor porpoise 1 | 6.4 |
| Harbor porpoise 2 | 3.7 |
| Fox R0182 | 14.5 |
| Species No. and Journal No. | Age of Individual (Years) | Number of Dental Layers |
|---|---|---|
| Fox 1 (838–839) | 4.9 | 4 |
| Fox 2 (948–949) | 1.5 | 2 |
| Fox 3 (1051–1052) | 1.7 | 1 |
| Fox 4 (3113–3114) | 1.7 | 1 |
| Fox 5 (3215–3216) | 1.9 | 2 |
| Fox 6 (894–895) | 6.4 | 6 |
| Fox 7 (689–690) | 4.6 | 5 |
| Fox 8 (707–708) | 2.8 | 2 |
| Fox 9 (3420–3421) | 2.2 | 3 |
| Fox 10 (741–742) | 6.8 | 7 |
| Fox 11 (4505–4506) | 4.3 | 3 |
| Fox 12 (705–706) | 1.6 | 2 |
| Fox 13 (693–694) | 3.8 | 3 |
| Mink 1 | 2 | 2 |
| Mink 2 | 2 | 1 |
| Harbor porpoise 1 | 5.5 | 5 |
| Harbor porpoise 2 | 13.5 | 14 |
Disclaimer/Publisher’s Note: The statements, opinions and data contained in all publications are solely those of the individual author(s) and contributor(s) and not of MDPI and/or the editor(s). MDPI and/or the editor(s) disclaim responsibility for any injury to people or property resulting from any ideas, methods, instructions or products referred to in the content. |
© 2023 by the authors. Licensee MDPI, Basel, Switzerland. This article is an open access article distributed under the terms and conditions of the Creative Commons Attribution (CC BY) license (https://creativecommons.org/licenses/by/4.0/).
Share and Cite
Baier-Stegmaier, S.; Gundlach, C.; Chriél, M.; Hansen, M.S.; Vedel-Smith, C.; Hansen, C.V.; Johansson, D.K.; Henriksen, L.B.; Wahlberg, M.; Thøstesen, C.B.; et al. Computed Tomography as a Method for Age Determination of Carnivora and Odontocetes with Validation from Individuals with Known Age. Animals 2023, 13, 1783. https://doi.org/10.3390/ani13111783
Baier-Stegmaier S, Gundlach C, Chriél M, Hansen MS, Vedel-Smith C, Hansen CV, Johansson DK, Henriksen LB, Wahlberg M, Thøstesen CB, et al. Computed Tomography as a Method for Age Determination of Carnivora and Odontocetes with Validation from Individuals with Known Age. Animals. 2023; 13(11):1783. https://doi.org/10.3390/ani13111783
Chicago/Turabian StyleBaier-Stegmaier, Sina, Carsten Gundlach, Mariann Chriél, Mette Sif Hansen, Christina Vedel-Smith, Charlotte Vikkelsø Hansen, Daniel Klingberg Johansson, Louise Birgitte Henriksen, Magnus Wahlberg, Charlotte Bie Thøstesen, and et al. 2023. "Computed Tomography as a Method for Age Determination of Carnivora and Odontocetes with Validation from Individuals with Known Age" Animals 13, no. 11: 1783. https://doi.org/10.3390/ani13111783
APA StyleBaier-Stegmaier, S., Gundlach, C., Chriél, M., Hansen, M. S., Vedel-Smith, C., Hansen, C. V., Johansson, D. K., Henriksen, L. B., Wahlberg, M., Thøstesen, C. B., Alstrup, A. K. O., Gregersen, K. M., Pertoldi, C., & Pagh, S. (2023). Computed Tomography as a Method for Age Determination of Carnivora and Odontocetes with Validation from Individuals with Known Age. Animals, 13(11), 1783. https://doi.org/10.3390/ani13111783

