Effect of Dietary Urea in Gestating Beef Cows: Circulating Metabolites, Morphometrics, and Mammary Secretions
Abstract
Simple Summary
Abstract
1. Introduction
2. Materials and Methods
2.1. Animals, Experimental Design, and Diets
2.2. Metabolites
2.3. Morphometrics
2.4. Mammary Secretions
2.5. Statistical Analyses
3. Results
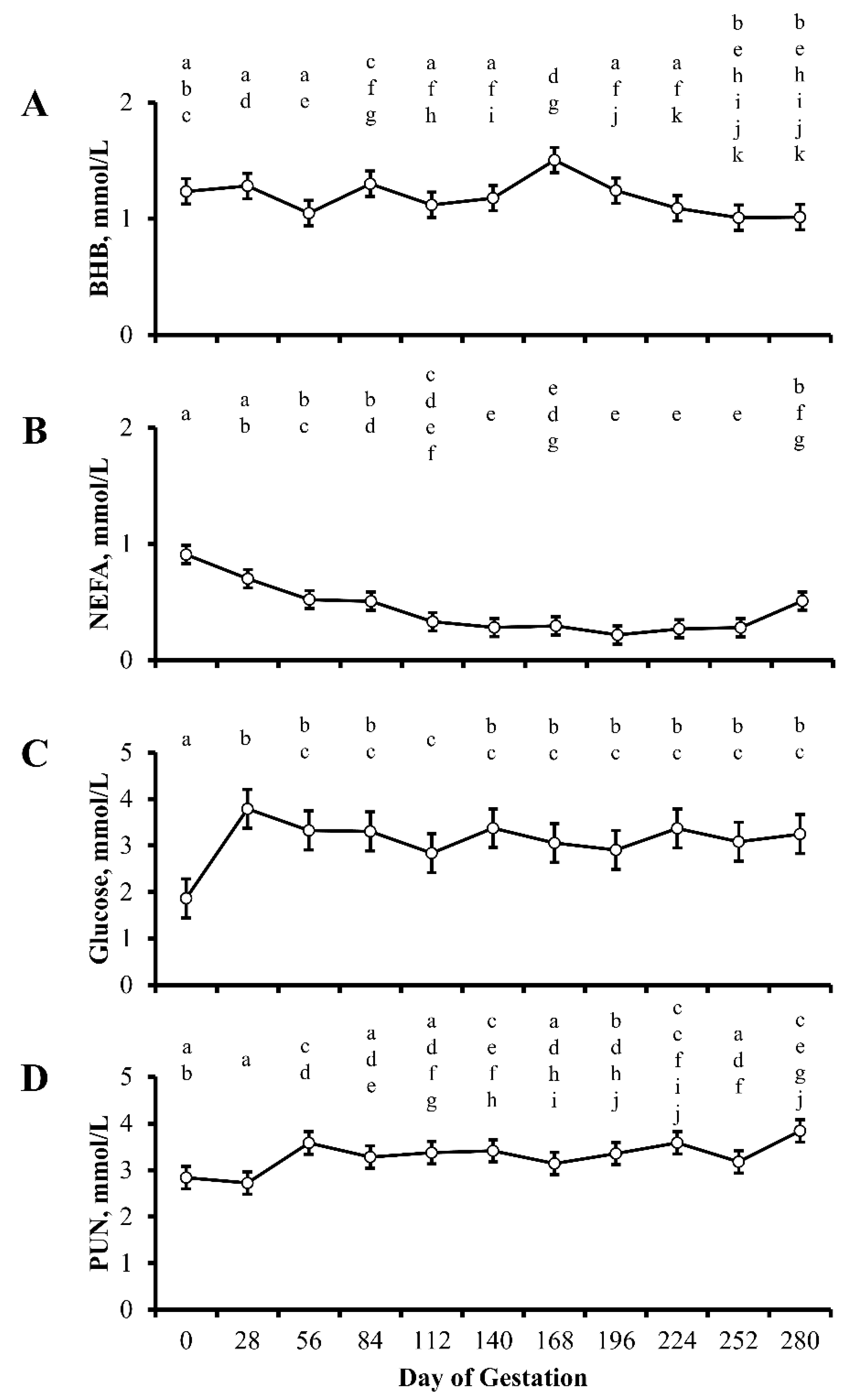
3.1. Metabolites
3.2. Morphometrics
3.3. Mammary Secretions
4. Discussion
5. Conclusions
Author Contributions
Funding
Institutional Review Board Statement
Informed Consent Statement
Data Availability Statement
Acknowledgments
Conflicts of Interest
Disclosure
References
- USDA-APHIS. Use of Nutritional Supplements for Cows on U.S. Beef Cow-Calf Operations; Animal and Plant Health Inspection Service: Riverdale Park, MD, USA, 2010.
- Abdullah, M.; Mohanty, T.K.; Bhakat, M.; Kumaresan, A.; Patbandha, T.K.; Madkar, A.R.; Mohanty, A.K. Metabolic indicators for early pregnancy in zebu and crossbred dairy cows reared in a subtropical climate. Turk. J. Vet. Anim. Sci. 2017, 41, 407–413. [Google Scholar] [CrossRef]
- Duffield, T. Subclinical ketosis in lactating dairy cattle. Vet. Clin. N. Am. Food Anim. Pract. 2000, 16, 231–253. [Google Scholar] [CrossRef] [PubMed]
- Beever, D.E. The impact of controlled nutrition during the dry period on dairy cow health, fertility and performance. Anim. Reprod. Sci. 2006, 96, 212–226. [Google Scholar] [CrossRef] [PubMed]
- Fenwick, M.A.; Llewellyn, S.; Fitzpatrick, R.; Kenny, D.A.; Murphy, J.J.; Patton, J.; Wathes, D.C. Negative energy balance in dairy cows is associated with specific changes in IGF-binding protein expression in the oviduct. Reproduction 2008, 135, 63–75. [Google Scholar] [CrossRef]
- Law, R.A.; Young, F.; Patterson, D.; Kilpatrick, D.; Wylie, A.; Mayne, C. Effect of dietary protein content on animal production and blood metabolites of dairy cows during lactation. J. Dairy Sci. 2009, 92, 1001–1012. [Google Scholar] [CrossRef]
- Federation of Animal Science Societies. Guide for the Care and Use of Agricultural Animals in Research and Teaching; Federation of Animal Science Societies: Champaign, IL, USA, 2010. [Google Scholar]
- NASEM. Nutrient Requirements of Beef Cattle, 8th ed.; The National Academies Press: Washington, DC, USA, 2016. [Google Scholar]
- Hobbs, J.D.; Edwards, S.R.; Cope, E.R.; McFarlane, Z.D.; Pohler, K.G.; Mulliniks, J.T. Circulating beta-hydroxybutyrate concentration may be a predictive measurement for young cows that have a greater probability to conceive at a fixed-time artificial insemination. J. Anim. Sci. 2017, 95, 1545–1552. [Google Scholar] [CrossRef][Green Version]
- Wood, K.M.; Awda, B.J.; Fitzsimmons, C.; Miller, S.P.; McBride, B.W.; Swanson, K.C. Influence of pregnancy in mid-to-late gestation on circulating metabolites, visceral organ mass, and abundance of proteins relating to energy metabolism in mature beef cows. J. Anim. Sci. 2013, 91, 5775–5784. [Google Scholar] [CrossRef]
- Linden, D.R.; Titgemeyer, E.C.; Olson, K.C.; Anderson, D.E. Effects of gestation and lactation on forage intake, digestion, and passage rates of primiparous beef heifers and multiparous beef cows. J. Anim. Sci. 2014, 92, 2141–2151. [Google Scholar] [CrossRef]
- Noya, A.; Casasús, I.; Rodríguez-Sánchez, J.A.; Ferrer, J.; Sanz, A. A negative energy balance during the peri-implantational period reduces dam IGF-1 but does not alter progesterone or pregnancy-specific protein B (PSPB) or fertility in suckled cows. Domest. Anim. Endocrinol. 2020, 72, 106418. [Google Scholar] [CrossRef]
- Greenfield, R.B.; Cecava, M.J.; Johnson, T.R.; Donkin, S.S. Impact of dietary protein amount and rumen undegradability on intake, peripartum liver triglyceride, plasma metabolites, and milk production in transition dairy cattle. J. Dairy Sci. 2000, 83, 703–710. [Google Scholar] [CrossRef]
- Eitam, H.; Agmon, R.; Asher, A.; Brosh, A.; Orlov, A.; Izhaki, I.; Shabtay, A. Protein deprivation attenuates Hsp expression in fat tissue. Cell Stress Chaperones 2012, 17, 339–347. [Google Scholar] [CrossRef] [PubMed]
- Du, M.; Tong, J.; Zhao, J.; Underwood, K.R.; Zhu, M.; Ford, S.P.; Nathanielsz, P.W. Fetal programming of skeletal muscle development in ruminant animals. J. Anim. Sci. 2010, 88, 51–60. [Google Scholar] [CrossRef] [PubMed]
- Steinberg, D. The Control of Lipid Metabolism; Academic Press: New York, NY, USA, 1963; pp. 111–143. [Google Scholar]
- Douglas, G.N.; Overton, T.R.; Bateman, H.G.; Dann, H.M.; Drackley, J.K. Prepartal plane of nutrition regardless ofenergy source affects periparturient metabolism and dry matter intake in Holstein cows. J. Dairy Sci. 2006, 89, 2141–2157. [Google Scholar] [CrossRef] [PubMed]
- Coleman, S.W.; Chase, C.C., Jr.; Riley, D.G.; Williams, M.J. Influence of cow breed type, age and previous lactation status on cow height, calf growth, and patterns of body weight, condition, and blood metabolites for cows grazing bahiagrass pastures. J. Anim. Sci. 2017, 95, 139–153. [Google Scholar]
- Knopp, R.H.; Boroush, M.A.; O’Sullivan, J.B. Lipid metabolism in pregnancy. II. Post-heparin lipolytic activity and hypertriglyceridemia in the pregnant rat. Metabolism 1975, 24, 481–493. [Google Scholar] [CrossRef]
- Christou, H.; Serdy, S.; Mantzoros, C.S. Leptin in relation to growth and developmental processes in the fetus. Semin. Reprod. Med. 2002, 20, 123–130. [Google Scholar] [CrossRef]
- Wang, M.Y.; Orci, L.; Ravazzola, M.; Unger, R.H. Fat storage in adipocytes requires inactivation of leptin’s paracrine activity: Implications for treatment of human obesity. Proc. Natl. Acad. Sci. USA 2005, 102, 18011–18016. [Google Scholar] [CrossRef]
- Bünemann, K.; von Soosten, D.; Frahm, J.; Kersten, S.; Meyer, U.; Hummel, J.; Zeyner, A.; Dänicke, S. Effects of body condition and concentrate proportion of the ration on mobilization of fat depots and energetic condition in dairy cows during early lactation based on ultrasonic measurements. Animals 2019, 9, 131. [Google Scholar] [CrossRef]
- Stanley, C.C. Regulation of Glucose Metabolism in Dairy Cattle. Ph.D. Thesis, Louisiana State University, Baton Rouge, LA, USA, 2005. [Google Scholar]
- Aschenbach, J.R.; Kristensen, N.B.; Donkin, S.S.; Hammon, H.M.; Penner, G.B. Gluconeogenesis in dairy cows: The secret of making sweet milk from sour dough. IUBMB Life 2010, 62, 869–877. [Google Scholar] [CrossRef]
- Lucy, M.C.; Green, J.C.; Meyer, J.P.; Williams, A.M.; Newsom, E.M.; Keisler, D.H. Short communication: Glucose and fructose concentrations and expression of glucose transporters in 4- to 6-week pregnancies collected from Holstein cows that were either lactating or not lactating. J. Dairy Sci. 2012, 95, 5095–5101. [Google Scholar] [CrossRef]
- Long, N.M.; Prado-Cooper, M.J.; Krehbiel, C.R.; DeSilva, U.; Wettemann, R.P. Effects of nutrient restriction of bovine dams during early gestation on postnatal growth, carcass and organ characteristics, and gene expression in adipose tissue and muscle. J. Anim. Sci. 2010, 88, 3251–3261. [Google Scholar] [CrossRef] [PubMed]
- George, L.A.; Zhang, L.; Tuersunjiang, N.; Ma, Y.; Long, N.M.; Uthlaut, A.B.; Smith, D.T.; Nathanielsz, P.W.; Ford, S.P. Early maternal undernutrition programs increased feed intake, altered glucose metabolism and insulin secretion, and liver function in aged female offspring. Am. J. Physiol.-Regul. Integr. Comp. Physiol. 2012, 302, 795–804. [Google Scholar] [CrossRef] [PubMed]
- Collier, R.J.; McNamara, J.P.; Wallace, C.R.; Dehoff, M.H. A review of endocrine regulation of metabolism during lactation. J. Anim. Sci. 1984, 59, 498–510. [Google Scholar] [CrossRef] [PubMed]
- Tshuma, T.; Fosgate, G.T.; Hamman, R.; Holm, D.E. Effect of different levels of dietary nitrogen supplementation on the relative blood urea nitrogen concentration of beef cows. Trop. Anim. Health Prod. 2019, 51, 1883–1891. [Google Scholar] [CrossRef] [PubMed]
- Xu, Y.; Li, Z.; Moraes, L.E.; Shen, J.; Yu, Z.; Zhu, W. Effects of incremental urea supplementation on rumen fermentation, nutrient digestion, plasma metabolites, and growth performance in fattening lambs. Animals 2019, 9, 652. [Google Scholar] [CrossRef] [PubMed]
- Saro, C.; Mateo, J.; Andrés, S.; Mateos, I.; Ranilla, M.J.; López, S.; Martín, A.; Giráldez, F.J. Replacing soybean meal with urea in diets for heavy fattening lambs: Effects on growth, metabolic profile and meat quality. Animals 2019, 9, 974. [Google Scholar] [CrossRef] [PubMed]
- Yamada, O.; Todoroki, J.; Kizaki, K.; Takahashi, T.; Imai, K.; Patel, O.V.; Schuler, L.A.; Hashizume, K. Expression of prolactin-related protein I at the fetomaternal interface during the implantation period in cows. Reproduction 2002, 124, 427–437. [Google Scholar] [CrossRef]
- Collins, J.W., Jr.; Finley, S.L.; Merrick, D.; Ogata, E.S. Human placental lactogen administration in the pregnant rat: Acceleration of fetal growth. Pediatr. Res. 1988, 24, 663–667. [Google Scholar] [CrossRef]
- Buttle, H.L.; Forsyth, I.A. Placental lactogen in the cow. J. Endocrinol. 1976, 68, 141–146. [Google Scholar] [CrossRef]
- Wallace, C.R. Concentration of bovine placental lactogen in dairy and beef cows across gestation. Domes Anim. Endocrinol. 1993, 10, 67–70. [Google Scholar] [CrossRef]
- Putnam, D.E.; Varga, G.A.; Dann, H.M. Metabolic and production responses to dietary protein and exogenous somatotropin in late gestation dairy cows. J. Dairy Sci. 1999, 82, 982–995. [Google Scholar] [CrossRef] [PubMed]
- Harmeyer, J.; Martens, H. Aspects of urea metabolism in ruminants with reference to the goat. J. Dairy Sci. 1980, 63, 1707–1728. [Google Scholar] [CrossRef] [PubMed]
- Preston, R.L.; Schnakenberg, D.D.; Pfander, W.H. Protein utilization in ruminants. I. Blood urea nitrogen as affected by protein intake. J. Nutr. 1965, 86, 281–288. [Google Scholar] [CrossRef] [PubMed]
- Butler, W.R.; Calaman, J.J.; Beam, S.W. Plasma and milk urea nitrogen in relation to pregnancy rate in dairy cattle. J. Anim. Sci. 1996, 74, 858–865. [Google Scholar] [CrossRef]
- Duby, R.T.; Tritschler, J.P.; Prange, R.W.; Abdul-Wahid, F.T. Effect of dietary crude protein on urea in fluids of the reproductive tract of ewes and dairy cows. J. Dairy Sci. 1984, 70, 1563–1571. [Google Scholar]
- Hammon, D.S.; Holyoak, G.R.; Dhiman, T.R. Association between blood plasma urea nitrogen levels and reproductive fluid urea nitrogen and ammonia concentration in early lactation dairy cows. Anim. Reprod. Sci. 2005, 86, 195–204. [Google Scholar] [CrossRef]
- Rennó, L.N.; Valadares Filho, S.C.; Valadares, R.F.D.; Paulino, M.F.; Rennó, F.P.; Silva, P.A. Effects of different concentration of dietary protein offered to steers from different genetic groups: Production of microbial protein via purines and excretion of nitrogen in the urine. Braz. J. Anim. Sci. 2008, 37, 546–555. [Google Scholar]
- Koenig, K.M.; Beauchemin, K.A. Nitrogen metabolism and route of excretion in beef feedlot cattle fed barley-based finishing diets varying in protein concentration and rumen degradability. J. Anim. Sci. 2013, 91, 2310–2320. [Google Scholar] [CrossRef]
- Doepel, L.; Lapierre, H.; Kennelly, J.J. Peripartum performance and metabolism of dairy cows in response to prepartum energy and protein intake. J. Dairy Sci. 2002, 85, 2315–2334. [Google Scholar] [CrossRef]
- Hunter, R.A.; Magner, T. The effects of supplements of formaldehyde-treated casein in the partitioning of nutrients between cow and calf in lactating Bos indicus x Bos taurus heifers fed a roughage diet. Aust. J. Agric. Res. 1988, 39, 1151–1162. [Google Scholar] [CrossRef]
- Wilson, T.B.; Long, N.M.; Faulkner, D.B.; Shike, D.W. Influence of excessive dietary protein intake during late gestation on drylot beef cow performance and progeny growth, carcass characteristics, and plasma glucose and insulin concentrations. J. Anim. Sci. 2016, 94, 2035–2046. [Google Scholar] [CrossRef] [PubMed][Green Version]
- Bell, A.W. Regulation of organic nutrient metabolism during transition from late pregnancy to early lactation. J. Anim. Sci. 1995, 73, 2804–2819. [Google Scholar] [CrossRef] [PubMed]
- Andrew, S.M.; Erdman, R.A.; Waldo, D.R. Prediction of body composition from deuterium oxide and urea dilution in dairy cows at three physiological stages. J. Dairy Sci. 1995, 78, 1083–1095. [Google Scholar] [CrossRef] [PubMed]
- Gleddie, V.M.; Berg, R.T. Milk production in range beef cows and its relationship to calf gains. Can. J. Anim. Sci. 1968, 48, 323–333. [Google Scholar] [CrossRef] [PubMed]
- Rahnefeld, G.W.; Weiss, G.M.; Fredeen, H.T. Milk yield and composition in beef cows and their effect on cow and calf performance in two environments. Can. J. Anim. Sci. 1990, 70, 409–423. [Google Scholar] [CrossRef]
- Waterman, R.C.; Grings, E.E.; Geary, T.W.; Roberts, A.J.; Alexander, L.J.; MacNeil, M.D. Influence of seasonal forage quality on glucose kinetics of young beef cows. J. Anim. Sci. 2007, 85, 2582–2595. [Google Scholar] [CrossRef]



| Item | Control Pellet a | Urea Pellet b | Chopped Forage A c | Chopped Forage B c |
|---|---|---|---|---|
| Ingredient, % of DM | ||||
| Wheat midds | 55.54 | 46.73 | - | - |
| Barley ground | 10.00 | 10.00 | - | - |
| Soybeans hulls | 10.00 | 10.00 | - | - |
| Urea | - | 8.81 | - | - |
| Malt sprouts | 7.50 | 7.50 | - | - |
| Calcium | 6.90 | 6.90 | - | - |
| Cane molasses | 5.00 | 5.00 | - | - |
| Bentonite power | 4.00 | 4.00 | - | - |
| Salt | 0.68 | 0.68 | - | - |
| Selenium | 0.10 | 0.10 | - | - |
| Mid-mature grass hay | - | - | 100.00 | - |
| Wheat straw | - | - | - | 100.00 |
| Analyzed composition, % of DM | ||||
| ADF d | 11.85 | 10.91 | 42.90 | 48.10 |
| NDF | 30.38 | 27.24 | - | - |
| TDN | 60.78 | 54.61 | 53.60 | 47.70 |
| CP | 14.38 | 38.21 | 13.90 | 5.68 |
| Calculated composition | ||||
| NEm, Mcal/kg | 1.43 | 1.30 | 1.12 | 0.97 |
| Treatment | p-Value | |||||
|---|---|---|---|---|---|---|
| Control | Urea | SEM | Treatment | Day | Treatment by Day | |
| BHB, mmol/L | 1.14 | 1.22 | 0.103 | 0.60 | 0.003 | 0.79 |
| NEFA, mmol/L | 0.43 | 0.45 | 0.018 | 0.41 | <0.0001 | 0.98 |
| Glucose, mmol/L | 3.28 | 2.93 | 0.373 | 0.53 | 0.04 | 0.75 |
| PUN, mmol/L | 2.98 | 3.63 | 0.197 | 0.06 | 0.01 | 0.08 |
| Treatment | Sample | p-Value | |||||||
|---|---|---|---|---|---|---|---|---|---|
| Control | Urea | SEM | Hour 0 | Hour 24 | SEM | Treatment | Sample | Treatment by Sample | |
| Volume, L | 3.79 | 2.68 | 0.554 | 2.54 | 3.93 | 0.395 | 0.21 | <0.0001 | 0.95 |
| Weight, g | 3816.25 | 2707.50 | 575.710 | 2557.50 | 3966.25 | 410.080 | 0.22 | <0.0001 | 0.91 |
| Fat, % | 7.43 | 7.18 | 0.922 | 7.35 | 7.25 | 1.007 | 0.86 | 0.95 | 0.85 |
| Total Fat, g | 279.12 | 199.73 | 45.262 | 196.99 | 281.86 | 45.262 | 0.25 | 0.22 | 0.70 |
| Ig, mg/mL | 93.33 | 86.67 | 15.635 | 90.00 | - | 11.055 | 0.78 | - | - |
| Total Ig, g | 220.80 | 189.60 | 26.335 | 205.20 | - | 18.622 | 0.45 | - | - |
| Lactose, % | 3.12 | 3.10 | 0.178 | 2.67 | 3.56 | 0.386 | 0.88 | 0.11 | 0.19 |
| Total Lactose, g | 117.62 | 88.25 | 16.014 | 64.57 | 141.30 | 16.014 | 0.23 | 0.01 | 0.58 |
| Protein, % | 10.73 | 12.07 | 0.746 | 14.71 | 8.09 | 1.485 | 0.20 | 0.05 | 0.82 |
| Total Protein, g | 398.49 | 304.12 | 76.288 | 373.28 | 329.33 | 76.288 | 0.37 | 0.64 | 0.70 |
| Solids-not-fat, % | 24.39 | 24.83 | 0.970 | 27.61 | 21.62 | 1.936 | 0.74 | 0.15 | 0.36 |
| Total Solids-not-fat, g | 917.96 | 673.00 | 131.980 | 729.88 | 861.09 | 131.980 | 0.23 | 0.54 | 0.63 |
| Somatic Cell Count, cells*1000/L | 1924.43 | 3114.29 | 1177.330 | 1638.97 | 3399.75 | 1948.670 | 0.23 | 0.35 | 0.32 |
| Total Somatic Cell Count, cells*1000 | 5224.41 | 8867.89 | 3381.670 | 3488.20 | 10,604.00 | 5867.250 | 0.25 | 0.25 | 0.26 |
| Urea Nitrogen, mg/dL | 26.20 | 34.96 | 2.250 | 38.76 | 22.40 | 3.813 | 0.02 | 0.05 | 0.18 |
| Total Urea Nitrogen, g | 0.98 | 0.89 | 0.205 | 0.97 | 0.90 | 0.205 | 0.72 | 0.79 | 0.73 |
Disclaimer/Publisher’s Note: The statements, opinions and data contained in all publications are solely those of the individual author(s) and contributor(s) and not of MDPI and/or the editor(s). MDPI and/or the editor(s) disclaim responsibility for any injury to people or property resulting from any ideas, methods, instructions or products referred to in the content. |
© 2022 by the authors. Licensee MDPI, Basel, Switzerland. This article is an open access article distributed under the terms and conditions of the Creative Commons Attribution (CC BY) license (https://creativecommons.org/licenses/by/4.0/).
Share and Cite
Prezotto, L.D.; Thorson, J.F. Effect of Dietary Urea in Gestating Beef Cows: Circulating Metabolites, Morphometrics, and Mammary Secretions. Animals 2023, 13, 6. https://doi.org/10.3390/ani13010006
Prezotto LD, Thorson JF. Effect of Dietary Urea in Gestating Beef Cows: Circulating Metabolites, Morphometrics, and Mammary Secretions. Animals. 2023; 13(1):6. https://doi.org/10.3390/ani13010006
Chicago/Turabian StylePrezotto, Ligia D., and Jennifer F. Thorson. 2023. "Effect of Dietary Urea in Gestating Beef Cows: Circulating Metabolites, Morphometrics, and Mammary Secretions" Animals 13, no. 1: 6. https://doi.org/10.3390/ani13010006
APA StylePrezotto, L. D., & Thorson, J. F. (2023). Effect of Dietary Urea in Gestating Beef Cows: Circulating Metabolites, Morphometrics, and Mammary Secretions. Animals, 13(1), 6. https://doi.org/10.3390/ani13010006

