Effects of Breed, Exercise, and a Two-Month Training Period on NT-proBNP-Levels in Athletic Dogs
Abstract
Simple Summary
Abstract
1. Introduction
2. Materials and Methods
2.1. Study Population
2.2. Study Protocols
2.3. Echocardiography and Holter-ECG
2.4. Blood Sample Collection
2.5. Statistical Analysis
3. Results
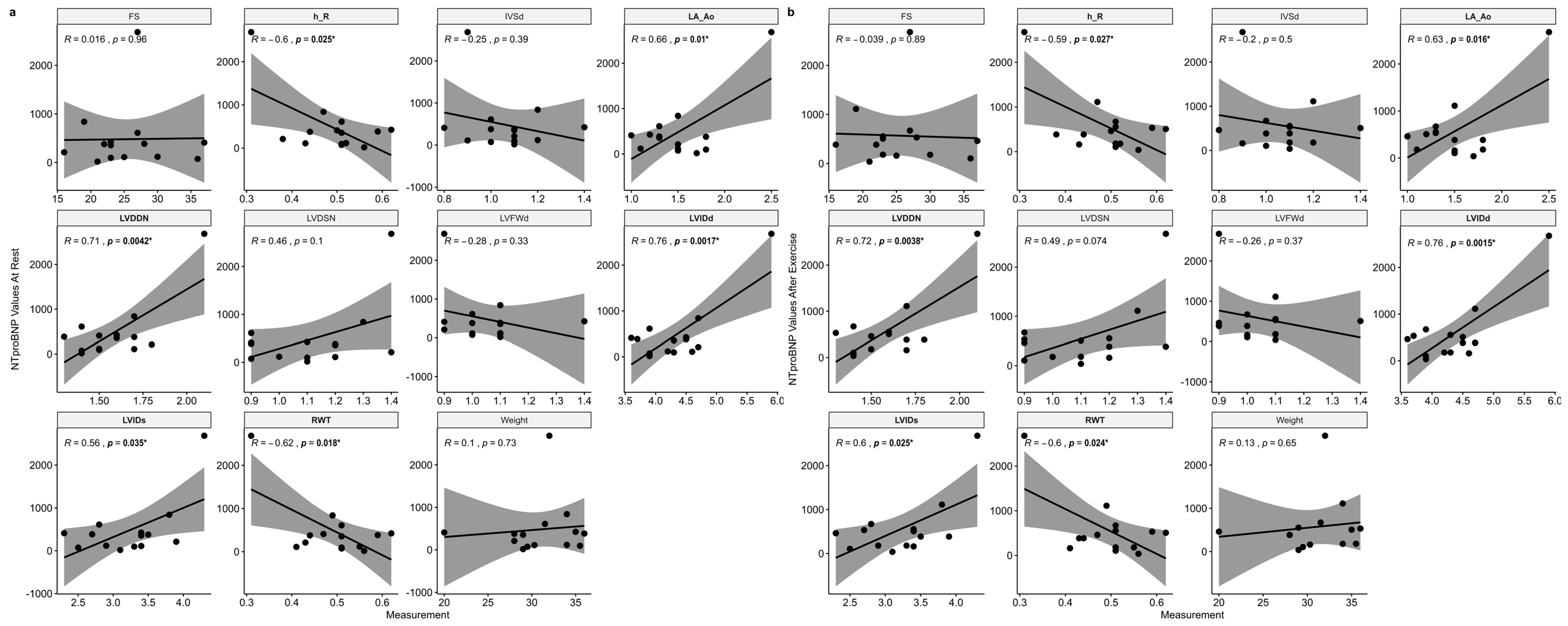
3.1. Echocardiography and Holter Examination
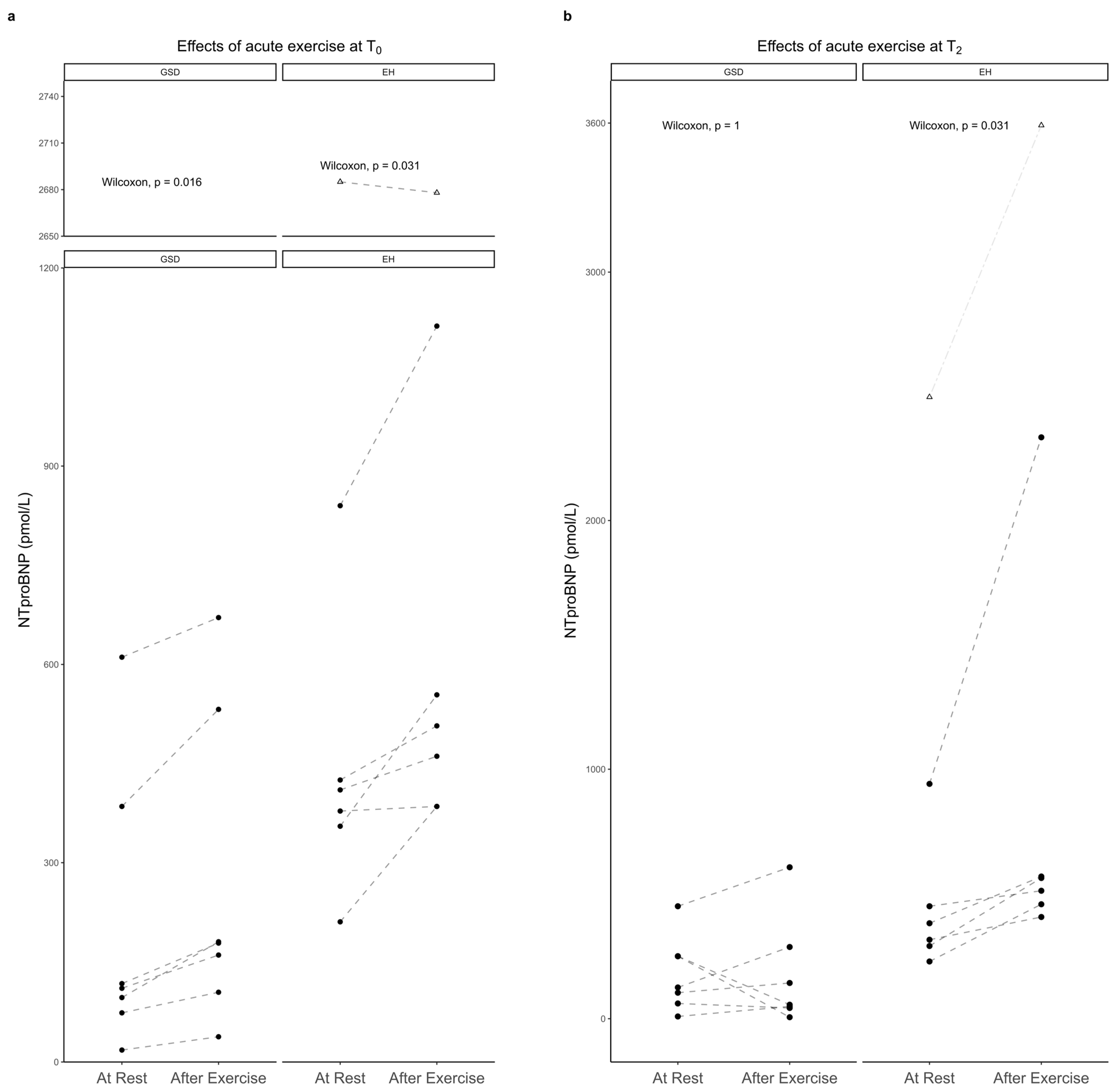
3.2. NTproBNP at Rest, the Effect of Breed, Exercise and Training
3.3. Lactate Values at Rest, after Exercise and Effect of Training
4. Discussion
5. Conclusions
Author Contributions
Funding
Institutional Review Board Statement
Informed Consent Statement
Data Availability Statement
Acknowledgments
Conflicts of Interest
References
- Oyama, M.A.; Sisson, D.D.; Solter, P.F. Prospective Screening for Occult Cardiomyopathy in Dogs by Measurement of Plasma Atrial Natriuretic Peptide, B-Type Natriuretic Peptide, and Cardiac Troponin-I Concentrations. Am. J. Vet. Res. 2007, 68, 42–47. [Google Scholar] [CrossRef] [PubMed]
- Oyama, M.A.; Fox, P.R.; Rush, J.E.; Rozanski, E.A.; Lesser, M. Clinical Utility of Serum N-Terminal pro-B-Type Natriuretic Peptide Concentration for Identifying Cardiac Disease in Dogs and Assessing Disease Severity. J. Am. Vet. Med. Assoc. 2008, 232, 1496–1503. [Google Scholar] [CrossRef] [PubMed]
- Oyama, M.A.; Rush, J.E.; Rozanski, E.A.; Fox, P.R.; Reynolds, C.A.; Gordon, S.G.; Bulmer, B.J.; Lefbom, B.K.; Brown, B.A.; Lehmkuhl, L.B.; et al. Assessment of Serum N-Terminal pro-B-Type Natriuretic Peptide Concentration for Differentiation of Congestive Heart Failure from Primary Respiratory Tract Disease as the Cause of Respiratory Signs in Dogs. J. Am. Vet. Med. Assoc. 2009, 235, 1319–1325. [Google Scholar] [CrossRef]
- Boswood, A.; Dukes-McEwan, J.; Loureiro, J.; James, R.A.; Martin, M.; Stafford-Johnson, M.; Smith, P.; Little, C.; Attree, S. The Diagnostic Accuracy of Different Natriuretic Peptides in the Investigation of Canine Cardiac Disease. J. Small Anim. Pract. 2008, 49, 26–32. [Google Scholar] [CrossRef]
- Mattin, M.J.; Boswood, A.; Church, D.B.; Brodbelt, D.C. Prognostic Factors in Dogs with Presumed Degenerative Mitral Valve Disease Attending Primary-care Veterinary Practices in the United Kingdom. J. Vet. Intern. Med. 2018, 33, 432–444. [Google Scholar] [CrossRef] [PubMed]
- Epstein, F.H.; Levin, E.R.; Gardner, D.G.; Samson, W.K. Natriuretic Peptides. N. Engl. J. Med. 1998, 339, 321–328. [Google Scholar] [CrossRef] [PubMed]
- Martinez-Rumayor, A.; Richards, A.M.; Burnett, J.C.; Januzzi, J.L. Biology of the Natriuretic Peptides. Am. J. Cardiol. 2008, 101, S3–S8. [Google Scholar] [CrossRef]
- Reich, F.H. Evaluation of Plasma pro Atrial Natriuretic Peptide (proANP 31–67) as a Diagnostic Tool in Dogs with Heart Disease. Ph.D. Thesis, University of Zürich Vetsuisse Faculty, Zürich, Switzerland, 2004. [Google Scholar] [CrossRef]
- Schmidt, M.K.; Reynolds, C.A.; Estrada, A.H.; Prošek, R.; Maisenbacher, H.W.; Sleeper, M.M.; Oyama, M.A. Effect of Azotemia on Serum N-Terminal proBNP Concentration in Dogs with Normal Cardiac Function: A Pilot Study. J. Vet. Cardiol. 2009, 11, S81–S86. [Google Scholar] [CrossRef]
- Raffan, E.; Loureiro, J.; Dukes-McEwan, J.; Fonfara, S.; James, R.; Swift, S.; Bexfield, N.; Herrtage, M.E.; Archer, J. The Cardiac Biomarker NT-proBNP Is Increased in Dogs with Azotemia. J. Vet. Intern. Med. 2009, 23, 1184–1189. [Google Scholar] [CrossRef]
- Sjöstrand, K.; Wess, G.; Ljungvall, I.; Häggström, J.; Merveille, A.; Wiberg, M.; Gouni, V.; Willesen, J.L.; Hanås, S.; Lequarré, A.; et al. Breed Differences in Natriuretic Peptides in Healthy Dogs. J. Vet. Intern. Med. 2014, 28, 451–457. [Google Scholar] [CrossRef]
- Couto, K.M.; Iazbik, M.C.; Marín, L.M.; Zaldivar-López, S.; Beal, M.J.; Ochoa, P.G.; Couto, C.G. Plasma N-terminal pro-B-type Natriuretic Peptide Concentration in Healthy Retired Racing Greyhounds. Vet. Clin. Pathol. 2015, 44, 405–409. [Google Scholar] [CrossRef] [PubMed]
- Misbach, C.; Chetboul, V.; Concordet, D.; Gruet, P.; Speranza, C.; Hoffmann, A.-C.; Rocha, A.; Balouka, D.; Petit, A.M.P.; Trehiou-Sechi, E.; et al. Basal Plasma Concentrations of N-Terminal pro-B-Type Natriuretic Peptide in Clinically Healthy Adult Small Size Dogs: Effect of Body Weight, Age, Gender and Breed, and Reference Intervals. Res. Vet. Sci. 2013, 95, 879–885. [Google Scholar] [CrossRef]
- Kellihan, H.B.; Oyama, M.A.; Reynolds, C.A.; Stepien, R.L. Weekly Variability of Plasma and Serum NT-proBNP Measurements in Normal Dogs. J. Vet. Cardiol. 2009, 11, S93–S97. [Google Scholar] [CrossRef]
- Scharhag, J.; Urhausen, A.; Herrmann, M.; Schneider, G.; Kramann, B.; Herrmann, W.; Kindermann, W. No Difference in N-Terminal pro-Brain Natriuretic Peptide (NT-proBNP) Concentrations between Endurance Athletes with Athlete’s Heart and Healthy Untrained Controls. Heart 2004, 90, 1055. [Google Scholar] [CrossRef] [PubMed][Green Version]
- Yamazaki, H.; Senju, Y.; Kinoshita, N.; Katsukawa, F.; Onishi, S. Plasma Brain Natriuretic Peptide in Athletes. Am. J. Cardiol. 2000, 85, 1393–1394. [Google Scholar] [CrossRef] [PubMed]
- Serrano-Ostáriz, E.; Terreros-Blanco, J.L.; Legaz-Arrese, A.; George, K.; Shave, R.; Bocos-Terraz, P.; Izquierdo-Álvarez, S.; Bancalero, J.L.; Echavarri, J.M.; Quilez, J.; et al. The Impact of Exercise Duration and Intensity on the Release of Cardiac Biomarkers. Scand. J. Med. Sci. Sports 2011, 21, 244–249. [Google Scholar] [CrossRef]
- Pagourelias, E.D.; Efthimiadis, G.K.; Kouidi, E.; Zorou, P.; Giannoglou, G.; Deligiannis, A.; Athyros, V.G.; Karagiannis, A.; Geleris, P. Efficacy of Various “Classic” Echocardiographic and Laboratory Indices in Distinguishing the “Gray Zone” between Athlete’s Heart and Hypertrophic Cardiomyopathy: A Pilot Study. Echocardiography 2013, 30, 131–139. [Google Scholar] [CrossRef]
- Tharwat, M.; Al-Sobayil, F.; Buczinski, S. Influence of Racing on the Serum Concentrations of the Cardiac Biomarkers Troponin I and Creatine Kinase Myocardial Band (CK-MB) in Racing Greyhounds. Vet. J. 2013, 197, 900–902. [Google Scholar] [CrossRef]
- Wakshlag, J.J.; Kraus, M.S.; Gelzer, A.R.; Downey, R.L.; Vacchani, P. The Influence of High-Intensity Moderate Duration Exercise on Cardiac Troponin I and C-Reactive Protein in Sled Dogs. J. Vet. Intern. Med. 2010, 24, 1388–1392. [Google Scholar] [CrossRef]
- Pearson, W.; Pezzali, J.G.; Donadelli, R.A.; Wagner, A.; Buff, P. The Time Course of Inflammatory Biomarkers Following a One-Hour Exercise Bout in Canines: A Pilot Study. Animals 2020, 10, 486. [Google Scholar] [CrossRef]
- Hunt, H.; Cave, N.; Bridges, J.; Gedye, K.; Hill, K. Plasma NT-proBNP and Cell-Free DNA Concentrations after Prolonged Strenuous Exercise in Working Farm Dogs. J. Vet. Intern. Med. 2017, 32, 135–141. [Google Scholar] [CrossRef]
- Wall, L.; Mohr, A.; Ripoli, F.L.; Schulze, N.; Penter, C.D.; Hungerbuehler, S.; Bach, J.-P.; Lucas, K.; Nolte, I. Clinical Use of Submaximal Treadmill Exercise Testing and Assessments of Cardiac Biomarkers NT-proBNP and cTnI in Dogs with Presymptomatic Mitral Regurgitation. PLoS ONE 2018, 13, e0199023. [Google Scholar] [CrossRef] [PubMed]
- Neves, J.S.; Leite-Moreira, A.M.; Neiva-Sousa, M.; Almeida-Coelho, J.; Castro-Ferreira, R.; Leite-Moreira, A.F. Acute Myocardial Response to Stretch: What We (Don’t) Know. Front. Physiol. 2016, 6, 408. [Google Scholar] [CrossRef]
- Thomas, W.P.; Gaber, C.E.; Jacobs, G.J.; Kaplan, P.M.; Lombard, C.W.; Vet, M.; Moise, N.S.; Moses, B.L. Recommendations for Standards in Transthoracic Two-Dimensional Echocardiography in the Dog and Cat. J. Vet. Intern. Med. 1993, 7, 247–252. [Google Scholar] [CrossRef] [PubMed]
- Sahn, D.J.; DeMaria, A.; Kisslo, J.; Weyman, A. Recommendations Regarding Quantitation in M-Mode Echocardiography: Results of a Survey of Echocardiographic Measurements. Circulation 1978, 58, 1072–1083. [Google Scholar] [CrossRef]
- Cornell, C.C.; Kittleson, M.D.; Torre, P.D.; Häggström, J.; Lombard, C.W.; Pedersen, H.D.; Vollmar, A.; Wey, A. Allometric Scaling of M-Mode Cardiac Measurements in Normal Adult Dogs. J. Vet. Intern. Med. 2004, 18, 311–321. [Google Scholar] [CrossRef] [PubMed]
- Borgarelli, M.; Tarducci, A.; Zanatta, R.; Haggstrom, J. Decreased Systolic Function and Inadequate Hypertrophy in Large and Small Breed Dogs with Chronic Mitral Valve Insufficiency. J. Vet. Intern. Med. 2007, 21, 61–67. [Google Scholar] [CrossRef]
- Suzuki, R.; Matsumoto, H.; Teshima, T.; Mochizuki, Y.; Koyama, H. Left Ventricular Geometrical Differences in Dogs with Various Stages of Myxomatous Mitral Valve Disease. J. Small Anim. Pract. 2013, 54, 234–239. [Google Scholar] [CrossRef]
- Rishniw, M.; Erb, H.N. Evaluation of Four 2-Dimensional Echocardiographic Methods of Assessing Left Atrial Size in Dogs. J. Vet. Intern. Med. 2000, 14, 429–435. [Google Scholar] [CrossRef]
- Visser, L.C.; Ciccozzi, M.M.; Sintov, D.J.; Sharpe, A.N. Echocardiographic Quantitation of Left Heart Size and Function in 122 Healthy Dogs: A Prospective Study Proposing Reference Intervals and Assessing Repeatability. J. Vet. Intern. Med. 2019, 33, 1909–1920. [Google Scholar] [CrossRef]
- Pape, L.A.; Price, J.M.; Alpert, J.S.; Rippe, J.M. Hemodynamics and Left Ventricular Function: A Comparison between Adult Racing Greyhounds and Greyhounds Completely Untrained from Birth. Basic Res. Cardiol. 1986, 81, 417–424. [Google Scholar] [CrossRef] [PubMed]
- Gunn, H.M. Heart Weight and Running Ability. J. Anat. 1989, 167, 225–233. [Google Scholar] [PubMed]
- Marin, L.M.; Brown, J.; McBrien, C.; Baumwart, R.; Samii, V.F.; Couto, C.G. Vertebral Heart Size in Retired Racing Greyhounds. Vet. Radiol. Ultrasound 2007, 48, 332–334. [Google Scholar] [CrossRef]
- Snyder, P.S.; Sato, T.; Atkins, C.E. A Comparison of Echocardiographic Indices of the Nonracing, Healthy Greyhound to Reference Values from Other Breeds. Vet. Radiol. Ultrasound 1995, 36, 387–392. [Google Scholar] [CrossRef]
- Neilan, T.G.; Januzzi, J.L.; Lee-Lewandrowski, E.; Ton-Nu, T.-T.; Yoerger, D.M.; Jassal, D.S.; Lewandrowski, K.B.; Siegel, A.J.; Marshall, J.E.; Douglas, P.S.; et al. Myocardial Injury and Ventricular Dysfunction Related to Training Levels Among Nonelite Participants in the Boston Marathon. Circulation 2006, 114, 2325–2333. [Google Scholar] [CrossRef] [PubMed]
- Scharhag, J.; Urhausen, A.; Schneider, G.; Herrmann, M.; Schumacher, K.; Haschke, M.; Krieg, A.; Meyer, T.; Herrmann, W.; Kindermann, W. Reproducibility and Clinical Significance of Exercise-Induced Increases in Cardiac Troponins and N-Terminal pro Brain Natriuretic Peptide in Endurance Athletes. Eur. J. Prev. Cardiol. 2006, 13, 388–397. [Google Scholar] [CrossRef] [PubMed]
- Staaden, R. The Exercise Physiology of the Racing Greyhound. Ph.D. Thesis, Murdoch University, Perth, Australia, 1984. [Google Scholar]
- Yoshida, T.; Chida, M.; Ichioka, M.; Suda, Y. Blood Lactate Parameters Related to Aerobic Capacity and Endurance Performance. Eur. J. Appl. Physiol. Occup. Physiol. 1987, 56, 7–11. [Google Scholar] [CrossRef]
- Rovira, S.; Munoz, A.; Benito, M. Fluid and Electrolyte Shifts During and after Agility Competitions in Dogs. J. Vet. Med. Sci. 2007, 69, 31–35. [Google Scholar] [CrossRef]
- Pieschl, R.L.; Toll, P.W.; Leith, D.E.; Peterson, L.J.; Fedde, M.R. Acid-Base Changes in the Running Greyhound: Contributing Variables. J. Appl. Physiol. 1992, 73, 2297–2304. [Google Scholar] [CrossRef]
- Bernard, T.; Gavarry, O.; Bermon, S.; Giacomoni, M.; Marconnet, P.; Falgairette, G. Relationships between Oxygen Consumption and Heart Rate in Transitory and Steady States of Exercise and during Recovery: Influence of Type of Exercise. Eur. J. Appl. Physiol. Occup. Physiol. 1997, 75, 170–176. [Google Scholar] [CrossRef]




| GSD (n = 7) | EH (n = 6) | |||
|---|---|---|---|---|
| Variable | Median (Range) | Median (Range) | p-Values | EHα * |
| Bodyweight (kg) | 31.5 (29–36) | 28.5 (20–35) | 0.22 | 32 |
| Age (years) | 3 (2–4) | 6 (1- 10) | 0.26 | 7 |
| LA/Ao | 1.5 (1.1–1.8) | 1.4 (1.0–1.8) | 0.63 | 2.5 |
| IVSd (cm) | 1.1 (0.9–1.2) | 1.1 (0.8–1.4) | 0.65 | 0.9 |
| LVIDd (cm) | 3.9 (3.7–4.6) | 4.5 (3.6–4.7) | 0.16 | 5.9 |
| LVWd (cm) | 1.1 (1.0–1.1) | 1.05 (0.9–1.4) | 0.76 | 0.9 |
| LVIDs (cm) | 2.9 (2.5–3.4) | 3.45 (2.3–3.9) | 0.15 | 4.3 |
| FS% | 27 (21–36) | 22.5 (16–37) | 0.3 | 27 |
| LVDDN | 1.4 (1.3–1.7) | 1.65 (1.5–1.8) | 0.01 | 2.1 |
| LVDSN | 1.0 (0.9–1.2) | 1.2 (0.9–1.4) | 0.08 | 1.4 |
| h/r | 0.51 (0.43–0.59) | 0.485 (0.38–0.62) | 0.42 | 0.31 |
| RWT | 0.51 (0.41–0.59) | 0.48 (0.43–0.62) | 0.47 | 0.31 |
| Group | Rest Median (Range) | Exercise Median (Range) | ΔNTproBNP Median (Range) | p-Value |
|---|---|---|---|---|
| GSD T0 | 111 (17–611) | 179 (38–671) | 60 (20–147) | 0.016 |
| GSD T2mth | 125 (9–450) | 56 (6–606) | 39 (−244–162) | 1 |
| EH T0 | 394 (211–840) | 484 (385–1112) | 128 (7–272) | 0.031 |
| EH T2mth | 349 (291–941) | 538 (407–2335) | 208 (62–1394) | 0.031 |
| EHα * T0 | 2685 | 2678 | −7 | |
| EHα * T2mth | 2497 | 3591 | 1094 |
| Group | Baseline Median (Range) | Exercise Median (Range) | ΔLactate Median (Range) | p-Values |
|---|---|---|---|---|
| GSD T0 | 1.4 (0.7–2.2) | 3.5 (1.8–6.2) | 2.4 (0.4–4.6) | 0.01563 |
| GSD T2mth | 1.4 (0.9–1.8) | 2.6 (1.4–6.0) | 0.8 (−0.2–5.2) | 0.031 |
| EH T0 | 0.8 (0.8–1.6) | 2.2 (2.1–4.3) | 2.1 (1.1–4.1) | 0.031 |
| EH T2mth | 0.92 (0.6–2.2) | 1.49 (1.4–4.0) | 0.745 (−0.7–3.3) | 0.156 |
| EHα * T0 | 1.3 | 13.2 | 11.9 | |
| EHα * T2mth | 0.9 | 4.0 | 3.1 |
Disclaimer/Publisher’s Note: The statements, opinions and data contained in all publications are solely those of the individual author(s) and contributor(s) and not of MDPI and/or the editor(s). MDPI and/or the editor(s) disclaim responsibility for any injury to people or property resulting from any ideas, methods, instructions or products referred to in the content. |
© 2022 by the authors. Licensee MDPI, Basel, Switzerland. This article is an open access article distributed under the terms and conditions of the Creative Commons Attribution (CC BY) license (https://creativecommons.org/licenses/by/4.0/).
Share and Cite
Ivasovic, F.; Matos, J.N.; Wyler, M.; Glaus, T.M. Effects of Breed, Exercise, and a Two-Month Training Period on NT-proBNP-Levels in Athletic Dogs. Animals 2023, 13, 16. https://doi.org/10.3390/ani13010016
Ivasovic F, Matos JN, Wyler M, Glaus TM. Effects of Breed, Exercise, and a Two-Month Training Period on NT-proBNP-Levels in Athletic Dogs. Animals. 2023; 13(1):16. https://doi.org/10.3390/ani13010016
Chicago/Turabian StyleIvasovic, Frane, J. Novo Matos, Michele Wyler, and Tony M. Glaus. 2023. "Effects of Breed, Exercise, and a Two-Month Training Period on NT-proBNP-Levels in Athletic Dogs" Animals 13, no. 1: 16. https://doi.org/10.3390/ani13010016
APA StyleIvasovic, F., Matos, J. N., Wyler, M., & Glaus, T. M. (2023). Effects of Breed, Exercise, and a Two-Month Training Period on NT-proBNP-Levels in Athletic Dogs. Animals, 13(1), 16. https://doi.org/10.3390/ani13010016

