Selection of Image Texture Analysis and Color Model in the Advanced Image Processing of Thermal Images of Horses following Exercise
Abstract
Simple Summary
Abstract
1. Introduction
2. Materials and Methods
2.1. Animals
2.2. Study Design
2.3. Blood Sampling and Biomarker Measurement
2.4. IRT Data Collection and Analysis
2.5. Image Texture Analysis
2.5.1. Color Models
2.5.2. Normalization
2.5.3. Image Texture Analysis
- Histogram statistics (HS) use first-order histogram analysis, i.e., a function determined in the domain of image brightness without taking into account the spatial dependence of the brightness distribution [49]. The fourteen features obtained from histogram analysis are: area (HistArea), mean (HistMean), variance (HistVariance), skewness coefficient (HistSkewness), kurtosis (HistKurtosis), percentiles (HistPerc01, HistPerc10, HistPerc50, HistPerc90, and HistPerc99), dominants (HistDomn01 and HistDomn10), and maximum of moments (HistMaxm01 and HistMaxm10).
- Gradient map (GM) evaluates the spatial relationships present in the image by its transformation, i.e., by calculating the absolute value of the brightness gradient at each point in the image [49]. In the resulting image, local brightness variations between homogeneous areas of the original image are visible. The gradient is calculated as the root of the second degree of the sum of the squares of light derivatives in perpendicular directions, e.g., horizontal and vertical. Based on the histogram of the absolute value of the gradient, six statistical features are calculated: absolute gradient area (GradArea), absolute gradient mean (GradMean), absolute gradient variance (GradVariance), absolute gradient skewness (GradSkewness), absolute gradient kurtosis (GradKurtosis), and percentage of pixels with nonzero gradient (GradNonZeros).
- Autoregressive model (AM) assumes interaction between image pixels. The image is transmitted in lines from top to bottom, and each line is sent pixel by pixel from left to right. That pixel brightness can be predicted based on the brightness of previously transmitted pixels [50]. The algorithm returns five features relating the brightness of a pixel to its neighbors from the left (Teta1), top left (Teta2), top (Teta3), and top right (Teta4), as well as the minimum mean square error between the predicted and actual brightness (sigma).
- Gabor transform (GT) is image transformation consisting of local signal decomposition into frequency components [51]. Frequency components are calculated by convolution of the image with a Gaussian kernel. The features obtained from GT are defined using a combination of frequency, orientation (horizontal, vertical, 22.5°, 45°, 67.5°, 112.5°, 135°, and 157.5°), standard deviation of the Gaussian envelope (), and magnitude. The algorithm returns twenty-four features: Gab4H2Mag, Gab4V2Mag, Gab4N2Mag, Gab4Z2Mag, Gab6H3Mag, Gab6V3Mag, Gab6N3Mag, Gab6Z3Mag, Gab8H4Mag, Gab8V4Mag, Gab8N4Mag, Gab8Z4Mag, Gab12H6Mag, Gab12V6Mag, Gab12N6Mag, Gab12Z6Mag, Gab16H8Mag, Gab16V8Mag, Gab16N8Mag, Gab16Z8Mag, Gab24H12Mag, Gab24V12Mag, Gab24N12Mag, and Gab24Z12Mag.
- Histogram of oriented gradients (HOG) counts occurrences of gradient orientations. HOG is constructed using the gradient magnitude and orientation around the image pixel [52]. The algorithm returns eight features identified by the number of angular bins: 4b (HogO8b0, HogO8b1), 8b (HogO8b2, HogO8b3), 16b (HogO8b4, HogO8b5), or 32b (HogO8b6, HogO8b7).
- Gray-Level Run-Length Matrix (GRLM) gives the information about the number of pixel strings with the same brightness and specified length based on the pixel string length matrix [53]. The GRLM is computed for four different directions of the horizontal, vertical, 45°, and 135° pixel strings. The following basic seven features are calculated from this matrix: run-length nonuniformity (RLNonUni), gray-level non-uniformity (GLevNonUn), moment of long string emphasis (LngREmph), reverse moment of short string emphasis (ShrtREmp), fraction of image in runs (Fraction), run-length nonuniformity moment (MRLNonUni), and gray-level non-uniformity moment (MGLevNonUn).
- Gray-level co-occurrence matrix (GLCM) uses the second-order histogram of the image brightness distribution to determine the mutual spatial relationship between pairs of image pixels with specific brightness levels in different directions (horizontal, vertical, 45°, and 135°) and at different distances of pixel pairs (d = 1, …, 9) [54]. The feature name for gray-level co-occurrence matrix consists of GLCM (features are derived from the symmetric matrix) or GLCH (features are derived from the asymmetric matrix). The following twelve basic features are calculated from each symmetric and asymmetric matrix: area (Area), angular second moment/energy (AngScMom), contrast (Contrast), correlation (Correlat), sum of squares (SumOfSqs), inverse different moment/homogeneity (InvDefMom), summation mean (SumAverg), summation entropy (SumEntrp), summation variance (SumVarnc), entropy (Entropy), differential variance (DifVarnc), and differential entropy (DifEntrp).
2.6. Statistical Analysis
3. Results
3.1. Selection of Blood Biomarkers
3.2. Relation of Image Texture with Conventional Blood Biomarkers
3.2.1. Selection of Features in RGB Color Model
3.2.2. Selection of Features in YUV and YIQ Color Models
3.2.3. Selection of Features in HSB Color Model
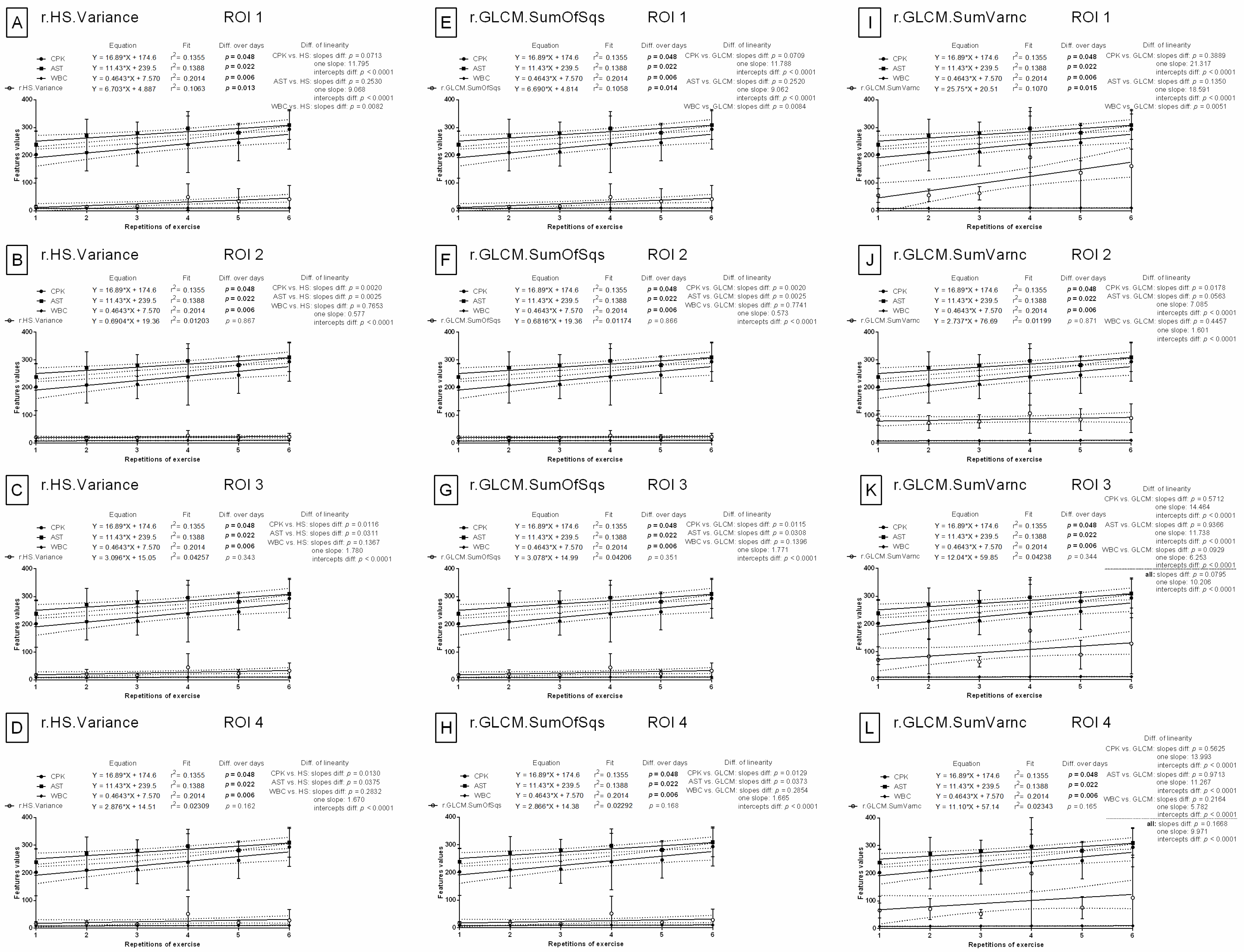
3.3. Comparison of Image Texture with IRT Measures
4. Discussion
5. Conclusions
Supplementary Materials
Author Contributions
Funding
Institutional Review Board Statement
Informed Consent Statement
Data Availability Statement
Conflicts of Interest
Abbreviations
| ALT | Alanine aminotransferase |
| AM | Autoregressive model |
| AngScMom | Angular second moment/energy |
| AST | Aspartate aminotransferase |
| B | Blue component in the RGB color model |
| B | Brightness component in the HSB color model |
| BS | Blood sampling |
| Correlat | Correlation |
| CPK | Creatine phosphokinase |
| DifEntrp | Differential entropy |
| DifVarnc | Differential variance |
| e | Emissivity |
| EMG | Electromyography |
| G | Green component in the RGB color model |
| GLCH | Asymmetric gray-level co-occurrence matrix |
| GLCM | Symmetric gray-level co-occurrence matrix |
| GLevNonUn | Gray-level non-uniformity |
| GLM | Gray-level matrix |
| GM | Gradient map |
| GradArea | Absolute gradient area |
| GradMean | Absolute gradient mean |
| GradNonZeros | Percentage of pixels with nonzero gradient |
| GradSkewness | Absolute gradient skewness |
| GradVariance | Absolute gradient variance |
| GRLM | Gray-level run-length matrix |
| GT | Gabor transform |
| H | Hue component in the HSB color model |
| HCT | Hematocrit |
| HGB | Hemoglobin concentration |
| HistArea | Histogram area |
| HistDomn | Histogram dominants |
| HistKurtosis | Histogram kurtosis |
| HistMaxm | Histogram maximum of moments |
| HistMean | Histogram mean |
| HistPerc | Histogram percentile |
| HistSkewness | Histogram skewness coefficient |
| HistVariance | Histogram variance |
| HOG | Histogram of oriented gradients |
| HR | Heart rate |
| HRV | Heart rate variability |
| HS | Histogram statistics |
| HSB | Hue/Saturation/Brightness color model |
| I | I component in the YIQ color model |
| II | Infrared thermography imaging |
| InvDefMom | Inverse different moment/homogeneity |
| IRT | Infrared termography |
| LAC | Lactate concentration |
| LngREmph | Moment of long string emphasis |
| MCH | Mean corpuscular hemoglobin |
| MCHC | Mean corpuscular hemoglobin concentration |
| MCV | Mean corpuscular volume |
| MGLevNonUn | Gray-level non-uniformity moment |
| MRLNonUni | Run-length nonuniformity moment |
| Q | Q component in the YIQ color model |
| R | Red component in the RGB color model |
| RBC | Red blood cells count |
| RE | Repetition of exercise |
| RGB | Red/Green/Blue color model |
| RH | Relative humidity |
| RLNonUni | Run-length nonuniformity |
| ROI | Region of interests |
| S | Saturation component in the HSB color model |
| SET | Standardized exercise test |
| ShrtREmp | Reverse moment of short string emphasis |
| SumAverg | Summation mean |
| SumEntrp | Summation entropy |
| SumOfSqs | Sum of squares |
| SumVarnc | Summation variance |
| Taver | Average temperature |
| Tmax | Maximal temperature |
| TSP | Total serum protein |
| U | U component in the YUV color model |
| WBC | White blood cell count |
| v | Velocity |
| V | V component in the YUV color model |
| Y | Brightness in the YUV and YIQ color models |
| YIQ | Brightness/I component/Q component color model |
| YUV | Brightness/U component/V component color model |
References
- Goachet, A.G.; Julliand, V. Implementation of field cardio-respiratory measurements to assess energy expenditure in Arabian endurance horses. Animal 2015, 9, 787–792. [Google Scholar] [CrossRef] [PubMed]
- Webb, H.; Weston, J.; Norman, E.; Cogger, N.; Rogers, C. Experience, riding practices and training methods of fédération equestre internationale (fei: 80–160 km) level endurance horse rider-owner-trainers in new zealand. Comp. Exerc. Physiol. 2019, 15, 137–145. [Google Scholar] [CrossRef]
- Murphy, B.A. Circadian and circannual regulation in the horse: Internal timing in an elite athlete. J. Equine Vet. Sci. 2019, 76, 14–24. [Google Scholar] [CrossRef] [PubMed]
- Mami, S.; Khaje, G.; Shahriari, A.; Gooraninejad, S. Evaluation of biological indicators of fatigue and muscle damage in arabian horses after race. J. Equine Vet. Sci. 2019, 78, 74–78. [Google Scholar] [CrossRef] [PubMed]
- Cottin, F.; Barrey, E.; Lopes, P.; Billat, V. Effect of repeated exercise and recovery on heart rate variability in elite trotting horses during high intensity interval training. Equine Vet. J. 2006, 38, 204–209. [Google Scholar] [CrossRef] [PubMed]
- Souza, L.; Hunka, M.M.; Nery, P.C.R.; Coelho, C.S.; Manso, H.E.C.; Manso Filho, H.C. The effect of repeated barrel racing on blood biomarkers and physiological parameters in quarter horses. Comp. Exerc. Physiol. 2018, 14, 47–54. [Google Scholar] [CrossRef]
- Kinnunen, S.; Atalay, M.; Hyyppa, S.; Lehmuskero, A.; Hanninen, O.; Oksala, N. Effects of prolonged exercise on oxidative stress and antioxidant defense in endurance horse. J. Sports Sci. Med. 2015, 4, 415. [Google Scholar]
- Gondim, F.J.; Zoppi, C.C.; dos Reis Silveira, L.; Pereira-da Silva, L.; de Macedo, D.V. Possible relationship between performance and oxidative stress in endurance horses. J. Equine Vet. Sci. 2009, 29, 206–212. [Google Scholar] [CrossRef]
- Takahashi, Y.; Takahashi, T.; Mukai, K.; Ohmura, H. Effects of fatigue on stride parameters in thoroughbred racehorses during races. J. Equine Vet. Sci. 2021, 101, 103447. [Google Scholar] [CrossRef]
- Takahashi, Y.; Mukai, K.; Ohmura, H.; Takahashi, T. Changes in muscle activity with exercise-induced fatigue in thoroughbred horses. Comp. Exerc. Physiol. 2021, 17, 25–34. [Google Scholar] [CrossRef]
- Hodgson, D.R.; McGowan, C.M.; McKeever, K. The Athletic Horse: Principles and Practice of Equine Sports Medicine, 2nd ed.; Elsevier Saunders: St. Louis, MO, USA, 2013. [Google Scholar]
- Arfuso, F.; Gianetto, C.; Giudice, E.; Fazio, F.; Panzera, M.; Piccione, G. Peripheral modulators of the central fatigue development and their relationship with athletic performance in jumper horses. Animals 2021, 11, 743. [Google Scholar] [CrossRef] [PubMed]
- Lewis, V.; Kennerley, R. A preliminary study to investigate the prevalence of pain in elite dressage riders during competition in the united kingdom. Comp. Exerc. Physiol. 2017, 13, 259–263. [Google Scholar] [CrossRef]
- Kirsch, K.; Düe, M.; Holzhausen, H.; Sandersen, C. Correlation of competition performance with heart rate and blood lactate response during interval training sessions in eventing horses. Comp. Exerc. Physiol. 2019, 15, 187–197. [Google Scholar] [CrossRef]
- Witkowska-Piłaszewicz, O.; Maśko, M.; Domino, M.; Winnicka, A. Infrared thermography correlates with lactate concentration in blood during race training in horses. Animals 2020, 10, 2072. [Google Scholar] [CrossRef] [PubMed]
- Wan, J.-J.; Qin, Z.; Wang, P.-Y.; Sun, Y.; Liu, X. Muscle fatigue: General understanding and treatment. Exp. Mol. Med. 2017, 49, e384. [Google Scholar] [CrossRef]
- Lenoir, A.; Trachsel, D.S.; Younes, M.; Barrey, E.; Robert, C. Agreement between electrocardiogram and heart rate meter is low for the measurement of heart rate variability during exercise in young endurance horses. Front. Vet. Sci. 2017, 4, 170. [Google Scholar] [CrossRef]
- Williams, J.M. Electromyography in the horse: A useful technology? J. Equine Vet. Sci. 2018, 60, 43–58. [Google Scholar] [CrossRef]
- Soroko, M.; Howell, K. Infrared thermography: Current applications in equine medicine. J. Equine Vet. Sci. 2018, 60, 90–96. [Google Scholar] [CrossRef]
- Colborne, G.; Birtles, D.; Cacchione, I. Electromyographic and kinematic indicators of fatigue in horses: A pilot study. Equine Vet. J. 2001, 33, 89–93. [Google Scholar] [CrossRef]
- Mohr, E.; Witte, E.; Voss, B. Heart rate variability as stress indicator. Arch. Tierz. 2000, 43, 171–176. [Google Scholar]
- Mott, R.O.; Hawthorne, S.J.; McBride, S.D. Blink rate as a measure of stress and attention in the domestic horse (equus caballus). Sci. Rep. 2020, 10, 21409. [Google Scholar] [CrossRef] [PubMed]
- Takahashi, T.; Ohmura, H.; Mukai, K.; Matsui, A.; Aida, H. Fatigue in the superficial and deep digital flexor muscles during exercise in t horoughbred horses. Equine Vet. J. 2014, 46, 30. [Google Scholar] [CrossRef][Green Version]
- Satchell, G.; McGrath, M.; Dixon, J.; Pfau, T.; Weller, R. Effects of time of day, ambient temperature and relative humidity on the repeatability of infrared thermographic imaging in horses. Equine Vet. J. 2015, 47, 13–14. [Google Scholar] [CrossRef]
- Maśko, M.; Witkowska-Piłaszewicz, O.; Jasiński, T.; Domino, M. Thermal features, ambient temperature, and hair coat lengths: Limitations of infrared imaging in pregnant primitive breed mares over the year. Reprod. Domest. Anim. 2021, 56, 1315–1328. [Google Scholar] [CrossRef] [PubMed]
- Quesada, J.I.P. Application of Infrared Thermography in Sports Science, 1st ed.; Springer: Cham, Switzerland, 2017. [Google Scholar]
- Soroko, M.; Śpitalniak-Bajerska, K.; Zaborski, D.; Poźniak, B.; Dudek, K.; Janczarek, I. Exercise-induced changes in skin temperature and blood parameters in horses. Arch. Anim. Breed. 2019, 62, 205–213. [Google Scholar] [CrossRef]
- Eddy, A.; Van Hoogmoed, L.; Snyder, J. The role of thermography in the management of equine lameness. Vet. J. 2001, 162, 172–181. [Google Scholar] [CrossRef] [PubMed]
- Chrysafi, A.; Athanasopoulos, N.; Siakavellas, N. Damage detection on composite materials with active thermography and digital image processing. Int. J. Therm. Sci. 2017, 116, 242–253. [Google Scholar] [CrossRef]
- Deane, S.; Avdelidis, N.P.; Ibarra-Castanedo, C.; Zhang, H.; Nezhad, H.Y.; Williamson, A.A.; Mackley, T.; Davis, M.J.; Maldagu, X.; Tsourdos, A. Application of NDT thermographic imaging of aerospace structures. Infrared Phys. Technol. 2019, 97, 456–466. [Google Scholar] [CrossRef]
- Tejedor, B.; Barreira, E.; Almeida, R.M.; Casals, M. Automated data-processing technique: 2d map for identifying the distribution of the u-value in building elements by quantitative internal thermography. Autom. Constr. 2021, 122, 103478. [Google Scholar] [CrossRef]
- Mancilla, R.B.; Daul, C.; Gutierrez Martinez, J.; Vera Hernandez, A.; Wolf, D.; Leija Salas, L. Detection of sore-risk regions on the foot sole with digital image processing and passive thermography in diabetic patients. In Proceedings of the 17th International Conference on Electrical Engineering, Computing Science and Automatic Control (CCE), Mexico City, Mexico, 11–13 November 2020; pp. 1–6. [Google Scholar]
- Benjumea, E.; Morales, Y.; Torres, C.; Vilardy, J. Characterization of thermographic images of skin cancer lesions using digital image processing. J. Phys. Conf. Ser. 2019, 1221, 012076. [Google Scholar] [CrossRef]
- Silva, T.A.E.; Silva, L.F.; Muchaluat-Saade, D.C.; Conci, A. A computational method to assist the diagnosis of breast disease using dynamic thermography. Sensors 2020, 20, 3866. [Google Scholar] [CrossRef]
- Depeursinge, A.; Al-Kadi, O.S.; Mitchell, J.R. Biomedical Texture Analysis: Fundamentals, Tools and Challenges, 1st ed.; Academic Press: Cambridge, MA, USA, 2017. [Google Scholar]
- Bębas, E.; Borowska, M.; Derlatka, M.; Oczeretko, E.; Hładuński, M.; Szumowski, P.; Mojsak, M. Machine-learning-based classification of the histological subtype of non-small-cell lung cancer using mri texture analysis. Biomed. Signal Process. Control 2021, 66, 102446. [Google Scholar] [CrossRef]
- Sohail, A.S.M.; Bhattacharya, P.; Mudur, S.P.; Krishnamurthy, S. Local relative GLRLM-based texture feature extraction for classifying ultrasound medical images. In Proceedings of the 24th Canadian Conference on Electrical and Computer Engineering (CCECE), Niagara Falls, ON, Canada, 8–11 May 2011; pp. 1092–1095. [Google Scholar]
- Domino, M.; Romaszewski, M.; Jasiński, T.; Maśko, M. Comparison of the surface thermal patterns of horses and donkeys in infrared thermography images. Animals 2020, 10, 2201. [Google Scholar] [CrossRef] [PubMed]
- Masko, M.; Borowska, M.; Domino, M.; Jasinski, T.; Zdrojkowski, L.; Gajewski, Z. A novel approach to thermographic images analysis of equine thoracolumbar region: The effect of effort and rider’s body weight on structural image complexity. BMC Vet. Res. 2021, 17, 99. [Google Scholar] [CrossRef] [PubMed]
- Obuchowicz, R.; Nurzynska, K.; Obuchowicz, B.; Urbanik, A.; Piórkowski, A. Caries detection enhancement using texture feature maps of intraoral radiographs. Oral Radiol. 2020, 36, 275–287. [Google Scholar] [CrossRef] [PubMed]
- Pociask, E.; Nurzynska, K.; Obuchowicz, R.; Bałon, P.; Uryga, D.; Strzelecki, M.; Izworski, A.; Piórkowski, A. Differential Diagnosis of Cysts and Granulomas Supported by Texture Analysis of Intraoral Radiographs. Sensors 2021, 21, 7481. [Google Scholar] [CrossRef]
- Zhang, H.; Hung, C.L.; Min, G.; Guo, J.P.; Liu, M.; Hu, X. Gpu-accelerated GLRLM algorithm for feature extraction of MRI. Sci. Rep. 2019, 9, 10883. [Google Scholar] [CrossRef]
- Martin, B.B., Jr.; Klide, A.M. Physical examination of horses with back pain. Vet. Clin. N. Am. 1999, 15, 61–70. [Google Scholar] [CrossRef]
- Davidson, E.J. Lameness evaluation of the athletic horse. Vet. Clin. Equine Pract. 2018, 34, 181–191. [Google Scholar] [CrossRef]
- Munsters, C.; van den Broek, J.; Welling, E.; van Weeren, R.; van Oldruitenborgh-Oosterbaan, M.S. A prospective study on a cohort of horses and ponies selected for participation in the european eventing championship: Reasons for withdrawal and predictive value of fitness tests. BMC Vet. Res. 2013, 9, 182. [Google Scholar] [CrossRef][Green Version]
- Greve, L.; Dyson, S. Saddle fit and management: An investigation of the association with equine thoracolumbar asymmetries, horse and rider health. Equine Vet. J. 2015, 47, 415–421. [Google Scholar] [CrossRef] [PubMed]
- Szczypiński, P.M.; Klepaczko, A. MaZda—A framework for biomedical image texture analysis and data exploration. In Biomedical Texture Analysis: Fundamentals, Tools and Challenges, 1st ed.; Depeursinge, A., Al-Kadi, O.S., Ross Mitchell, J., Eds.; Elsevier: Amsterdam, The Netherlands, 2017; pp. 315–347. [Google Scholar]
- Szczypiński, P.M.; Klepaczko, A.; Kociołek, M. QmaZda—Software tools for image analysis and pattern recognition. In Proceedings of the 2017 Signal Processing: Algorithms, Architectures, Arrangements, and Applications (SPA), Poznan, Poland, 22–24 September 2021; pp. 217–221. [Google Scholar]
- Materka, A.; Strzelecki, M. Texture Analysis Methods—A Review; COST B11 report; Technical University Lodz: Brussels, Belgium, 1998; Volume 4968. [Google Scholar]
- Jain, A.K. Fundamentals of Digital Image Processing, 1st ed.; Prentice-Hall, Inc.: Upper Saddle River, NJ, USA, 1989. [Google Scholar]
- Daugman, J.G. Complete discrete 2-d gabor transforms by neural networks for image analysis and compression. IEEE Trans. Signal Process. 1988, 36, 1169–1179. [Google Scholar] [CrossRef]
- Lowe, D.G. Distinctive image features from scale-invariant keypoints. Int. J. Comput. Vis. 2004, 60, 91–110. [Google Scholar] [CrossRef]
- Haralick, R.M. Statistical and structural approaches to texture. Digit. Image Process. Anal. 1985, 2, 304–322. [Google Scholar] [CrossRef]
- Haralick, R.M. Statistical and structural approaches to texture. Proc. IEEE 1979, 67, 786–804. [Google Scholar] [CrossRef]
- Fonseca, B.P.A.; Alves, A.L.G.; Nicoletti, J.L.M.; Thomassian, A.; Hussni, C.A.; Mikail, S. Thermography and ultrasonography in back pain diagnosis of equine athletes. J. Equine Vet. Sci. 2006, 26, 507–516. [Google Scholar] [CrossRef]
- Domino, M.; Borowska, M.; Trojakowska, A.; Kozłowska, N.; Zdrojkowski, Ł.; Jasiński, T.; Smyth, G.; Maśko, M. The Effect of Rider: Horse Bodyweight Ratio on the Superficial Body Temperature of Horse’s Thoracolumbar Region Evaluated by Advanced Thermal Image Processing. Animals 2022, 12, 195. [Google Scholar] [CrossRef]
- Tunley, B.; Henson, F. Reliability and repeatability of thermographic examination and the normal thermographic image of the thoracolumbar region in the horse. Equine Vet. J. 2004, 36, 306–312. [Google Scholar] [CrossRef]
- Domino, M.; Borowska, M.; Kozłowska, N.; Zdrojkowski, Ł.; Jasiński, T.; Smyth, G.; Maśko, M. Advances in Thermal Image Analysis for the Detection of Pregnancy in Horses Using Infrared Thermography. Sensors 2022, 22, 191. [Google Scholar] [CrossRef]
- Mircean, M.; Giurgiu, G.; Mircean, V.; Zinveliu, E. Serum cortisol variation of sport horses in relation with the level of training and effort intensity. Bull. USAMV-CN 2007, 64, 488–492. [Google Scholar]
- Viru, A.; Viru, M. Cortisol-essential adaptation hormone in exercise. Int. J. Sports Med. 2004, 25, 461–464. [Google Scholar] [CrossRef] [PubMed]
- Witkowska-Piłaszewicz, O.; Pingwara, R.; Winnicka, A. The Effect of Physical Training on Peripheral Blood Mononuclear Cell Ex Vivo Proliferation, Differentiation, Activity, and Reactive Oxygen Species Production in Racehorses. Antioxidants 2020, 9, 1155. [Google Scholar] [CrossRef] [PubMed]
- Witkowska-Piłaszewicz, O.; Grzędzicka, J.; Seń, J.; Czopowicz, M.; Żmigrodzka, M.; Winnicka, A.; Cywińska, A.; Carter, C. Stress response after race and endurance training sessions and competitions in Arabian horses. Prev. Vet. Med. 2021, 188, 105265. [Google Scholar] [CrossRef] [PubMed]
- Witkowska-Piłaszewicz, O.; Kaszak, I.; Żmigrodzka, M.; Winnicka, A.; Sacharczuk, M.; Szczepaniak, J.; Cywińska, A. Equine atypical myopathy—A review. Anim. Sci. Pap. 2019, 337, 233–242. [Google Scholar]
- Cywinska, A.; Gorecka, R.; Szarska, E.; Witkowski, L.; Dziekan, P.; Schollenberger, A. Serum amyloid A level as a potential indicator of the status of endurance horses. Equine Vet. J. Suppl. 2010, 38, 23–27. [Google Scholar] [CrossRef]
- Maśko, M.; Domino, M.; Jasiński, T.; Witkowska-Piłaszewicz, O. The Physical Activity-Dependent Hematological and Biochemical Changes in School Horses in Comparison to Blood Profiles in Endurance and Race Horses. Animals 2021, 11, 1128. [Google Scholar] [CrossRef]
- Häyrynen, T.A.H. Smart Phone Thermal Camera Accessory Device as a Mean to Asses Saddle Fit in Horses. Master’s Thesis, Eesti Maaülikool, Tartu, Estonia, 2019. [Google Scholar]
- Pereira, N.; Valenzuela, D.; Mangelsdorff, G.; Kufeke, M.; Roa, R. Detection of perforators for free flap planning using smartphone thermal imaging: A concordance study with computed tomographic angiography in 120 perforators. Plast. Reconstr. Surg. 2018, 141, 787–792. [Google Scholar] [CrossRef]
- Van Doremalen, R.F.M.; Van Netten, J.J.; Van Baal, J.G.; Vollenbroek-Hutten, M.M.R.; van der Heijden, F. Validation of low-cost smartphone-based thermal camera for diabetic foot assessment. Diabetes Res. Clin. Pract. 2019, 149, 132–139. [Google Scholar] [CrossRef]
- Jaiswal, A.; Amjad, Z.; Jha, S.; Sahni, N.; Chirayil, S.B.; Nair, R.C. Accurate Device Temperature Forecasting using Recurrent Neural Network for Smartphone Thermal Management. In Proceedings of the 2021 International Joint Conference on Neural Networks (IJCNN), Shenzhen, China, 18–22 July 2021; IEEE: New York, NY, USA, 2021; pp. 1–8. [Google Scholar]
- Hall, C.; Burton, K.; Maycock, E.; Wragg, E. A preliminary study into the use of infrared thermography as a means of assessing the horse’s response to different training methods. J. Vet. Behav. 2011, 6, 291–292. [Google Scholar] [CrossRef]
- Clayton, H.; Dyson, S.; Harris, P.; Bondi, A. Horses, saddles and riders: Applying the science. Equine Vet. Educ. 2015, 27, 447–452. [Google Scholar] [CrossRef]
- Waran, N.; Randle, H. What we can measure, we can manage: The importance of using robust welfare indicators in Equitation Science. Appl. Anim. Behav. Sci. 2017, 190, 74–81. [Google Scholar] [CrossRef]
- Hall, C.; Randle, H.; Pearson, G.; Preshaw, L.; Waran, N. Assessing equine emotional state. Appl. Anim. Behav. Sci. 2018, 205, 183–193. [Google Scholar] [CrossRef]
- Randle, H.; Henshall, C.; Hall, C.; Pearson, G.; Preshaw, L.; Waran, N. Indicators on the inside: Physiology and equine quality of life. In Proceedings of the 15th International Conference of the International Society for Equitation Science, Guelph, ON, Canada, 19–21 August 2019. [Google Scholar]
- Redaelli, V.; Luzi, F.; Mazzola, S.; Bariffi, G.D.; Zappaterra, M.; Nanni Costa, L.; Padalino, B. The use of infrared thermography (IRT) as stress indicator in horses trained for endurance: A pilot study. Animals 2019, 9, 84. [Google Scholar] [CrossRef] [PubMed]
- De Mira, M.C.; Lamy, E.; Santos, R.; Williams, J.; Pinto, M.V.; Martins, P.S.; Rodrigues, P.; Marlin, D. Salivary cortisol and eye temperature changes during endurance competitions. BMC Vet. Res. 2021, 17, 329. [Google Scholar] [CrossRef] [PubMed]
- Ibraheem, N.A.; Hasan, M.M.; Khan, R.Z.; Mishra, P.K. Understanding color models: A review. JST 2012, 2, 265–275. [Google Scholar]
- Wen, C.-Y.; Chou, C.-M. Color image models and its applications to document examination. Forensic Sci. J. 2004, 3, 23–32. [Google Scholar]
- Maśko, M.; Zdrojkowski, Ł.; Wierzbicka, M.; Domino, M. Association between the area of the highest flank temperature and concentrations of reproductive hormones during pregnancy in polish konik horses—A preliminary study. Animals 2021, 11, 1517. [Google Scholar] [CrossRef]
- Plataniotis, K.N.; Venetsanopoulos, A.N. Color Image Processing and Applications, 1st ed.; Springer Science & Business Media: Berlin, Germany, 2013. [Google Scholar]
- Wilk, I.; Wnuk-Pawlak, E.; Janczarek, I.; Kaczmarek, B.; Dybczyńska, M.; Przetacznik, M. Distribution of superficial body temperature in horses ridden by two riders with varied body weights. Animals 2020, 10, 340. [Google Scholar] [CrossRef]
- Mota-Rojas, D.; Pereira, A.M.; Wang, D.; Martínez-Burnes, J.; Ghezzi, M.; Hernández-Avalos, I.; Geraldo, A.D.M. Clinical applications and factors involved in validating thermal windows used in infrared thermography in cattle and river buffalo to assess health and productivity. Animals 2021, 11, 2247. [Google Scholar] [CrossRef]
- Soroko, M.; Howell, K.; Dudek, K. The effect of ambient temperature on infrared thermographic images of joints in the distal forelimbs of healthy racehorses. J. Therm. Biol. 2017, 66, 63–67. [Google Scholar] [CrossRef]
- Hodgson, D.; Davis, R.; McConaghy, F. Thermoregulation in the horse in response to exercise. Br. Vet. J. 1994, 150, 219–235. [Google Scholar] [CrossRef]
- Stubbs, G. The Anatomy of the Horse, 1st ed.; Dover Publications Inc.: New York, NY, USA, 2012. [Google Scholar]
- Von Schweinitz, D.G. Thermographic diagnostics in equine back pain. Vet. Clin. N. Am. Equine Pract. 1999, 15, 161–177. [Google Scholar] [CrossRef]








Publisher’s Note: MDPI stays neutral with regard to jurisdictional claims in published maps and institutional affiliations. |
© 2022 by the authors. Licensee MDPI, Basel, Switzerland. This article is an open access article distributed under the terms and conditions of the Creative Commons Attribution (CC BY) license (https://creativecommons.org/licenses/by/4.0/).
Share and Cite
Domino, M.; Borowska, M.; Kozłowska, N.; Trojakowska, A.; Zdrojkowski, Ł.; Jasiński, T.; Smyth, G.; Maśko, M. Selection of Image Texture Analysis and Color Model in the Advanced Image Processing of Thermal Images of Horses following Exercise. Animals 2022, 12, 444. https://doi.org/10.3390/ani12040444
Domino M, Borowska M, Kozłowska N, Trojakowska A, Zdrojkowski Ł, Jasiński T, Smyth G, Maśko M. Selection of Image Texture Analysis and Color Model in the Advanced Image Processing of Thermal Images of Horses following Exercise. Animals. 2022; 12(4):444. https://doi.org/10.3390/ani12040444
Chicago/Turabian StyleDomino, Małgorzata, Marta Borowska, Natalia Kozłowska, Anna Trojakowska, Łukasz Zdrojkowski, Tomasz Jasiński, Graham Smyth, and Małgorzata Maśko. 2022. "Selection of Image Texture Analysis and Color Model in the Advanced Image Processing of Thermal Images of Horses following Exercise" Animals 12, no. 4: 444. https://doi.org/10.3390/ani12040444
APA StyleDomino, M., Borowska, M., Kozłowska, N., Trojakowska, A., Zdrojkowski, Ł., Jasiński, T., Smyth, G., & Maśko, M. (2022). Selection of Image Texture Analysis and Color Model in the Advanced Image Processing of Thermal Images of Horses following Exercise. Animals, 12(4), 444. https://doi.org/10.3390/ani12040444

