The Multiple Influences of Natural Farming Environment on the Cultured Population Behavior of Kuruma Prawn, Penaeus japonicus
Abstract
Simple Summary
Abstract
1. Introduction
2. Materials and Methods
2.1. Experimental Animals and Ponds
2.2. Survey
2.3. Statistical Analysis
3. Results
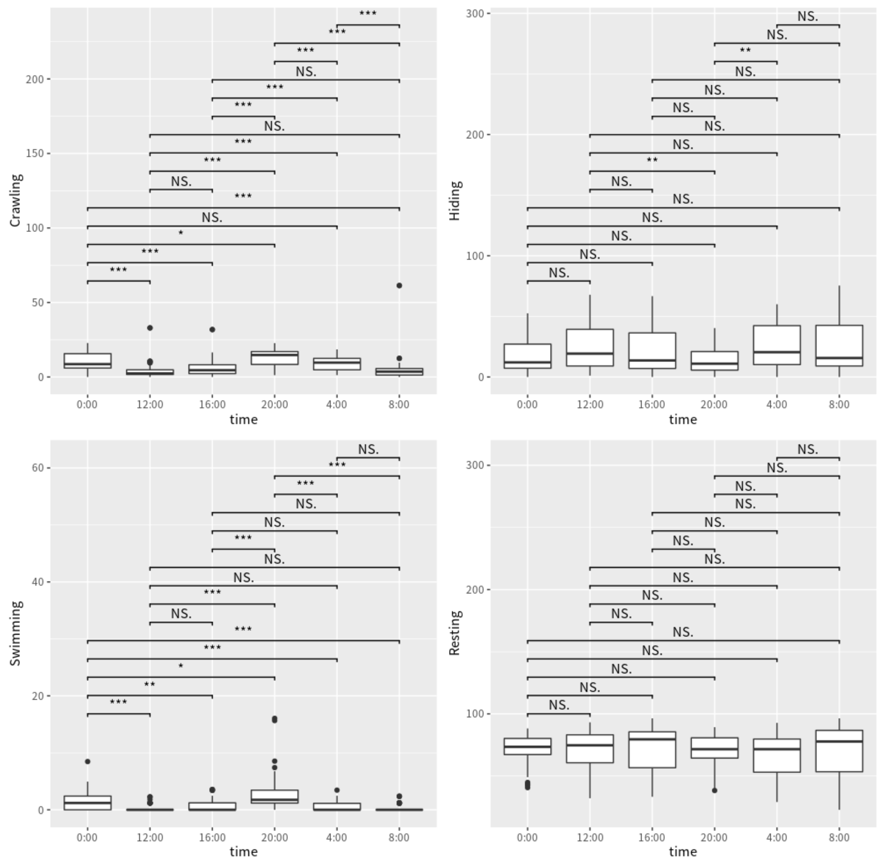
3.1. The Daily Activity and Behavior of P. japonicus
3.2. The Influence of Sex Ratio on the Behavior of P. japonicus
3.3. The Influence of Water Quality on the Behavior of P. japonicus
3.4. The Influence of Density on the Behavior of P. japonicus
3.5. The Influence of Light Intensity on the Behavior of P. japonicus
4. Discussion
4.1. The Daily Activity and Behavior of P. japonicus
4.2. The Influence of Sex on the Behavior of P. japonicus
4.3. The Influence of Water Quality on the Behavior of P. japonicus
4.4. The Influence of Density on the Behavior of P. japonicus
4.5. Light Intensity on Behavior of P. japonicus
5. Conclusions
Author Contributions
Funding
Institutional Review Board Statement
Informed Consent Statement
Data Availability Statement
Acknowledgments
Conflicts of Interest
References
- Bondad-Reantaso, M.G.; Subasinghe, R.P.; Josupeit, H.; Cai, J.; Zhou, X. The role of crustacean fisheries and aquaculture in global food security: Past, present and future. J. Invertebr. Pathol. 2012, 110, 158–165. [Google Scholar] [CrossRef] [PubMed]
- FAO. The State of World Fisheries and Aquaculture: Opportunities and Challenges; Food and Agriculture Organization of the United Nations: Rome, Italy, 2012. [Google Scholar]
- Shinn, A.; Pratoomyot, J.; Griffiths, D.; Trong, T.; Vu, N.; Jiravanichpaisal, P.; Briggs, M. Asian shrimp production and the economic costs of disease. Asian Fish. Sci. S 2018, 31, 29–58. [Google Scholar] [CrossRef]
- Anderson, J.L.; Valderrama, D.; Jory, D. Shrimp Production Review—Presentation Global Aquaculture Production Data Analysis; Global Aquaculture Alliance: Portsmouth, NH, USA, 2016; pp. 1–50. [Google Scholar]
- FAO. The State of World Fisheries and Aquaculture; FAO: Rome, Italy, 2018. [Google Scholar]
- Zheng, J.; Li, L.; Dong, H.; Mao, Y.; Su, Y.; Wang, J. Molecular cloning of heat shock protein 60 from Marsupenaeus japonicus and its expression profiles at early developmental stages and response to heat stress. Aquac. Res. 2018, 49, 301–312. [Google Scholar] [CrossRef]
- Tsoi, K.; Wang, Z.; Chu, K. Genetic divergence between two morphologically similar varieties of the kuruma shrimp Penaeus japonicus. Mar. Biol. 2005, 147, 367–379. [Google Scholar] [CrossRef]
- Zhang, H.; Cheng, W.; Zheng, L.; Wang, P.; Liu, Q.; Li, Z.; Li, T.; Wei, Y.; Mao, Y.; Yu, X. Identification of a group D anti-lipopolysaccharide factor (ALF) from kuruma prawn (Marsupenaeus japonicus) with antibacterial activity against Vibrio parahaemolyticus. Fish Shellfish Immunol. 2020, 102, 368–380. [Google Scholar] [CrossRef] [PubMed]
- Lin, Q.-W.; Shan, B.-D.; Liu, L.-D.; Huang, J.-Q. Studies on high density culture of Penaeus japonicus in shrimp hatchery in autumn in north China. J. Oceanogr. Taiwan Strait 2001, 20, 514–517. [Google Scholar]
- Zhou, H. Growth of intensive farmed kuruma shrimp (Penaeus japonicus Bate) in earthen ponds. J. Guangxi Acad. Sci. 2001, 17, 91–95. [Google Scholar]
- Rodríguez, J.; Bayot, B.; Amano, Y.; Panchana, F.; De Blas, I.; Alday, V.; Calderón, J. White spot syndrome virus infection in cultured Penaeus vannamei (Boone) in Ecuador with emphasis on histopathology and ultrastructure. J. Fish Dis. 2003, 26, 439–450. [Google Scholar] [CrossRef]
- Flegel, T.W. Current status of viral diseases in Asian shrimp aquaculture. Isr. J. Aquac.-Bamidgeh 2009, 61, 229–239. [Google Scholar] [CrossRef]
- Zhang, H.; Cheng, W.; Zheng, J.; Wang, P.; Liu, Q.; Li, Z.; Shi, T.; Zhou, Y.; Mao, Y.; Yu, X. Identification and Molecular Characterization of a Pellino Protein in Kuruma Prawn (Marsupenaeus Japonicus) in Response to White Spot Syndrome Virus and Vibrio Parahaemolyticus Infection. Int. J. Mol. Sci. 2020, 21, 1243. [Google Scholar] [CrossRef]
- Briggs, M.; Fvnge-Smith, S. A nutrient budget of some intensive marine shrimp ponds in Thailand. Aquac. Res. 1994, 25, 789–811. [Google Scholar] [CrossRef]
- Boyd, C.E.; Tucker, C.; McNevin, A.; Bostick, K.; Clay, J. Indicators of resource use efficiency and environmental performance in fish and crustacean aquaculture. Rev. Fish. Sci. 2007, 15, 327–360. [Google Scholar] [CrossRef]
- Felix, S. Advances in Shrimp Aquaculture Management; Daya Publishing House: New Delhi, India, 2009. [Google Scholar]
- Cuéllar-Anjel, J.; Lara, C.; Morales, V.; De Gracia, A.; García-Suárez, O. Manual of Best Management Practices for White Shrimp Penaeus Vannamei Farming; OIRSA-OSPESCA: San Salvador, El Salvador, 2010. [Google Scholar]
- Bardera, G.; Usman, N.; Owen, M.; Pountney, D.; Sloman, K.A.; Alexander, M.E. The importance of behaviour in improving the production of shrimp in aquaculture. Rev. Aquac. 2019, 11, 1104–1132. [Google Scholar] [CrossRef]
- Moss, D.; Hennig, O.; Moss, S. Sexual growth dimorphism in penaeid shrimp. Potential for all female culture. Glob. Aquac. Advocate 2002, 5, 60–61. [Google Scholar]
- Moss, D.R.; Moss, S.M. Effects of gender and size on feed acquisition in the Pacific white shrimp Litopenaeus vannamei. J. World Aquac. Soc. 2006, 37, 161–167. [Google Scholar] [CrossRef]
- De Cesar, J.R.O.; Zhao, B.; Malecha, S.; Ako, H.; Yang, J. Morphological and biochemical changes in the muscle of the marine shrimp Litopenaeus vannamei during the molt cycle. Aquaculture 2006, 261, 688–694. [Google Scholar] [CrossRef]
- Stuck, K.; Watts, S.; Wang, S. Biochemical responses during starvation and subsequent recovery in postlarval Pacific white shrimp, Penaeus vannamei. Mar. Biol. 1996, 125, 33–45. [Google Scholar] [CrossRef]
- Briffa, M.; Weiss, A.J.C.B. Animal personality. Curr. Biol. 2010, 20, R912–R914. [Google Scholar] [CrossRef]
- Thiel, M.; Dennenmoser, S. Competition for food and mates by dominant and subordinate male rock shrimp, Rhynchocinetes typus. Behaviour 2007, 144, 33–59. [Google Scholar] [CrossRef]
- Atema, J.; Karavanich, C. Olfactory recognition of urine signals in dominance fights between male lobster, Homarus americanus. Behaviour 1998, 135, 719–730. [Google Scholar] [CrossRef]
- Charnov, E.L.; Gotshall, D.W.; Robinson, J.G. Sex ratio: Adaptive response to population fluctuations in pandalid shrimp. Science 1978, 200, 204–206. [Google Scholar] [CrossRef] [PubMed]
- Howard, R.K.; Lowe, K.W. Predation by birds as a factor influencing the demography of an intertidal shrimp. J. Exp. Mar. Biol. Ecol. 1984, 74, 35–52. [Google Scholar] [CrossRef]
- Yano, I.; Kanna, R.; Oyama, R.; Wyban, J. Mating behaviour in the penaeid shrimp Penaeus vannamei. Mar. Biol. 1988, 97, 171–175. [Google Scholar] [CrossRef]
- Zhang, P.; Zhang, X.; Li, J.; Huang, G. The effects of body weight, temperature, salinity, pH, light intensity and feeding condition on lethal DO levels of whiteleg shrimp, Litopenaeus vannamei (Boone, 1931). Aquaculture 2006, 256, 579–587. [Google Scholar] [CrossRef]
- Zhang, P.; Zhang, X.; Li, J.; Gao, T. Effect of salinity on survival, growth, oxygen consumption and ammonia-N excretion of juvenile whiteleg shrimp, Litopenaeus vannamei. Aquac. Res. 2009, 40, 1419–1427. [Google Scholar] [CrossRef]
- Aquacop, E.B.; Soyez, C. Effects of dissolved oxygen concentration on survival and growth of Penaeus vannamei and Penaeus stylirostris. J. World Aquac. Soc. 1988, 19, 13A. [Google Scholar]
- Allan, G.L.; Maguire, G.B. Lethal levels of low dissolved oxygen and effects of short-term oxygen stress on subsequent growth of juvenile Penaeus monodon. Aquaculture 1991, 94, 27–37. [Google Scholar] [CrossRef]
- Staples, D.; Heales, D. Temperature and salinity optima for growth and survival of juvenile banana prawns Penaeus merguiensis. J. Exp. Mar. Biol. Ecol. 1991, 154, 251–274. [Google Scholar] [CrossRef]
- Hernández, M.; Palacios, E.; Barón, B. Preferential behavior of white shrimp Litopenaeus vannamei (Boone 1931) by progressive temperature–salinity simultaneous interaction. J. Therm. Biol. 2006, 31, 565–572. [Google Scholar] [CrossRef]
- Allison, V.; Dunham, D.W.; Harvey, H.H. Low pH alters response to food in the crayfish Cambarus bartoni. Can. J. Zool. 1992, 70, 2416–2420. [Google Scholar] [CrossRef]
- Kate, L.; Spicer, J.I.; Widdicombe, S.; Briffa, M. Reduced pH sea water disrupts chemo-responsive behaviour in an intertidal crustacean. J. Exp. Mar. Biol. Ecol. 2012, 412, 134–140. [Google Scholar]
- Davis, D.A.; Saoud, I.P.; McGraw, W.J.; Rouse, D.B. Considerations for Litopenaeus vannamei reared in inland low salinity waters. In Proceedings of the Avances en NutriciónAcuícola VI: Memorias del VI Simposium Internacional de Nutrición Acuícola, Cancún, México, 3–6 September; 2002. [Google Scholar]
- Rosas, C.; López, N.; Mercado, P.; Martínez, E. Effect of salinity acclimation on oxygen consumption of juveniles of the white shrimp Litopenaeus vannamei. J. Crustac. Biol. 2001, 21, 912–922. [Google Scholar] [CrossRef][Green Version]
- Magallón Barajas, F.J.; Servín Villegas, R.; Portillo Clark, G.; López Moreno, B. Litopenaeus vannamei (Boone) post-larval survival related to age, temperature, pH and ammonium concentration. Aquac. Res. 2006, 37, 492–499. [Google Scholar] [CrossRef]
- Spicer, J.I.; Raffo, A.; Widdicombe, S. Influence of CO2-related seawater acidification on extracellular acid–base balance in the velvet swimming crab Necora puber. Mar. Biol. 2007, 151, 1117–1125. [Google Scholar] [CrossRef]
- De la Haye, K.; Spicer, J.; Widdicombe, S.; Briffa, M. Reduced sea water pH disrupts resource assessment and decision making in the hermit crab Pagurus bernhardus. Anim. Behav. 2011, 82, 495–501. [Google Scholar] [CrossRef]
- Pérez-Rostro, C.I.; Racotta, I.S.; Ibarra, A.M. Decreased genetic variation in metabolic variables of Litopenaeus vannamei shrimp after exposure to acute hypoxia. J. Exp. Mar. Biol. Ecol. 2004, 302, 189–200. [Google Scholar] [CrossRef]
- Pörtner, H.O.; Langenbuch, M.; Reipschläger, A. Biological impact of elevated ocean CO2 concentrations: Lessons from animal physiology and earth history. J. Oceanogr. 2004, 60, 705–718. [Google Scholar] [CrossRef]
- Kumlu, M.; Eroldogan, O.; Saglamtimur, B. The effects of salinity and added substrates on growth and survival of Metapenaeus monoceros (Decapoda: Penaeidae) post-larvae. Aquaculture 2001, 196, 177–188. [Google Scholar] [CrossRef]
- Zhang, B.; Lin, W.; Huang, J.; Wang, Y.; Xu, R. Effects of artificial substrates on the growth, survival and spatial distribution of Litopenaeus vannamei in the intensive culture condition. Iran. J. Fish. Sci. 2010, 9, 293–304. [Google Scholar]
- Zhao, P.; Huang, J.; Wang, X.-H.; Song, X.-L.; Yang, C.-H.; Zhang, X.-G.; Wang, G.-C. The application of bioflocs technology in high-intensive, zero exchange farming systems of Marsupenaeus japonicus. Aquaculture 2012, 354–355, 97–106. [Google Scholar] [CrossRef]
- Arnold, S.J.; Sellars, M.J.; Crocos, P.J.; Coman, G.J. Intensive production of juvenile tiger shrimp Penaeus monodon: An evaluation of stocking density and artificial substrates. Aquaculture 2006, 261, 890–896. [Google Scholar] [CrossRef]
- Kautsky, N.; Rönnbäck, P.; Tedengren, M.; Troell, M. Ecosystem perspectives on management of disease in shrimp pond farming. Aquaculture 2000, 191, 145–161. [Google Scholar] [CrossRef]
- Da Costa, F.P.; Gomes, B.S.F.d.F.; Pereira, S.D.d.N.A.; De Fátima Arruda, M. Influence of stocking density on the behaviour of juvenile Litopenaeus vannamei (Boone, 1931). Aquac. Res. 2016, 47, 912–924. [Google Scholar] [CrossRef]
- De Costa, J.S.; De Arruda, M.F. Effect of stocking density on the behavior of newly transformed juvenile Macrobrachium rosenbergii. Mar. Freshw. Behav. Physiol. 2016, 49, 375–389. [Google Scholar] [CrossRef]
- Qin, H.; Wang, R.; Lai, S.; Li, N.; Li, Y. Effects of Stocking Density and Food on Agonistic Behavior of Marsupenaeus japonicus. Prog. Fish. Sci. 2015, 36, 105–108. [Google Scholar]
- Pontes, C.S.; De Arruda, M.F.; De Menezes, A.A.L.; De Lima, P.P. Daily activity pattern of the marine shrimp Litopenaeus vannamei (Boone 1931) juveniles under laboratory conditions. Aquac. Res. 2006, 37, 1001–1006. [Google Scholar] [CrossRef]
- Santos, A.D.A.; López-Olmeda, J.F.; Sánchez-Vázquez, F.J.; Fortes-Silva, R. Synchronization to light and mealtime of the circadian rhythms of self-feeding behavior and locomotor activity of white shrimps (Litopenaeus vannamei). Comp. Biochem. Physiol. Part A Mol. Integr. Physiol. 2016, 199, 54–61. [Google Scholar] [CrossRef]
- Ravi, R.; Manisseri, M.K. The effect of different pH and photoperiod regimens on the survival rate and developmental period of the larvae of Portunus pelagicus (Decapoda, Brachyura, Portunidae). Iran. J. Fish. Sci. 2013, 12, 490–499. [Google Scholar]
- Dall, W.; Hill, B.J.; Rothlisberg, P.C.; Sharples, D.J. The Biology of the Penaeidae. In Advances in Marine Biology; Dall, W., Hill, B.J., Rothlisberg, P.C., Sharples, D.J., Eds.; Elsevier Academic Press: London, UK, 1990; Volume 27. [Google Scholar]
- Wassenberg, T.; Hill, B. Laboratory study of the effect of light on the emergence behaviour of eight species of commercially important adult penaeid prawns. Mar. Freshw. Res. 1994, 45, 43–50. [Google Scholar] [CrossRef]
- Nakamura, K.; Echavarria, I. Artificial controls of feeding rhythm of the prawn Penaeus japonicus. Nippon Suisan Gakkaishi 1989, 55, 1325–1329. [Google Scholar] [CrossRef]
- Robertson, L.; Wrence, A.L.; Castille, F.L. Effect of feeding frequency and feeding time on growth of Penaeus vannamei (Boone). Aquac. Res. 1993, 24, 1–6. [Google Scholar] [CrossRef]
- Rencher, A.C.; Christensen, W.F. Chapter 10, Multivariate regression–Section 10.1, Introduction. Methods Multivar. Anal. Wiley Ser. Probab. Stat. 2012, 709, 19. [Google Scholar]
- Nelder, J.A.; Wedderburn, R.W. Generalized linear models. J. R. Stat. Soc. Ser. A (Gen.) 1972, 135, 370–384. [Google Scholar] [CrossRef]
- R Core Team. R: A Language and Environment for Statistical Computing. 2013. Available online: http://www.R-project.org/ (accessed on 29 November 2022).
- Wickham, D.A. Observations on the activity patterns in juveniles of the pink shrimp, Penaeus duorarum. Bull. Mar. Sci. 1967, 17, 769–786. [Google Scholar]
- Hill, B.J. Effect of temperature on duration of emergence speed of movement, and catchability of the prawn Penaeus esculentus. In Proceedings of the 2nd Australian Nation Prawn Seminar, Kooralbyn, QLD, Australia, 22–26 October 1984. [Google Scholar]
- Stamhuis, E.; Reede-Dekker, T.; Van Etten, Y.; De Wiljes, J.; Videler, J. Behaviour and time allocation of the burrowing shrimp Callianassa subterranea (Decapoda, Thalassinidea). J. Exp. Mar. Biol. Ecol. 1996, 204, 225–239. [Google Scholar] [CrossRef]
- Pascal, L.; Maire, O.; Deflandre, B.; Romero-Ramirez, A.; Grémare, A. Linking behaviours, sediment reworking, bioirrigation and oxygen dynamics in a soft-bottom ecosystem engineer: The mud shrimp Upogebia pusilla (Petagna 1792). J. Exp. Mar. Biol. Ecol. 2019, 516, 67–78. [Google Scholar] [CrossRef]
- Campos-Ramos, R.; Garza-Torres, R.; Guerrero-Tortolero, D.A.; Maeda-Martínez, A.M.; Obregón-Barboza, H. Environmental sex determination, external sex differentiation and structure of the androgenic gland in the Pacific white shrimp Litopenaeus vannamei (Boone). Aquac. Res. 2006, 37, 1583–1593. [Google Scholar] [CrossRef]
- Gopal, C.; Gopikrishna, G.; Krishna, G.; Jahageerdar, S.S.; Rye, M.; Hayes, B.J.; Paulpandi, S.; Kiran, R.P.; Pillai, S.M.; Ravichandran, P.; et al. Weight and time of onset of female-superior sexual dimorphism in pond reared Penaeus monodon. Aquaculture 2010, 300, 237–239. [Google Scholar] [CrossRef]
- Hansford, S.; Hewitt, D. Growth and nutrient digestibility by male and female Penaeus monodon: Evidence of sexual dimorphism. Aquaculture 1994, 125, 147–154. [Google Scholar] [CrossRef]
- Martin, J.-L.M.; Veran, Y.; Guelorget, O.; Pham, D. Shrimp rearing: Stocking density, growth, impact on sediment, waste output and their relationships studied through the nitrogen budget in rearing ponds. Aquaculture 1998, 164, 135–149. [Google Scholar] [CrossRef]
- Wickham, D.A.; Minkler, F.C., III. Laboratory observations on daily patterns of burrowing and locomotor activity of pink shrimp, Penaeus duorarum, brown shrimp, Penaeus aztecus and white shrimp, Penaeus setiferm. Contrib. Mar. Sci. 1975, 19, 21–35. [Google Scholar]




| Behavior | Fitted Equation | R2 | p |
|---|---|---|---|
| Hiding | Hiding percentage (%) = 103.02 + 1.13 Light.intensity − 5.51 Density | 0.77 | <0.001 |
| Resting | Resting percentage (%) = −30.78 + 2.34 DO − 0.11 Light.intensity + 5.41 Density | 0.74 | <0.001 |
| Swimming | ln(P/(1 − P)) = −0.052 − 0.27 Light.intensity | * | <0.001 |
Publisher’s Note: MDPI stays neutral with regard to jurisdictional claims in published maps and institutional affiliations. |
© 2022 by the authors. Licensee MDPI, Basel, Switzerland. This article is an open access article distributed under the terms and conditions of the Creative Commons Attribution (CC BY) license (https://creativecommons.org/licenses/by/4.0/).
Share and Cite
Cheng, W.; Zhang, H.; Wang, P.; Wei, Y.; Chen, C.; Hou, Y.; Deng, X.; Li, S.; Sun, S.; Cai, Q.; et al. The Multiple Influences of Natural Farming Environment on the Cultured Population Behavior of Kuruma Prawn, Penaeus japonicus. Animals 2022, 12, 3383. https://doi.org/10.3390/ani12233383
Cheng W, Zhang H, Wang P, Wei Y, Chen C, Hou Y, Deng X, Li S, Sun S, Cai Q, et al. The Multiple Influences of Natural Farming Environment on the Cultured Population Behavior of Kuruma Prawn, Penaeus japonicus. Animals. 2022; 12(23):3383. https://doi.org/10.3390/ani12233383
Chicago/Turabian StyleCheng, Wenzhi, Heqian Zhang, Panpan Wang, Yiming Wei, Chuanxi Chen, Yiling Hou, Xiaojie Deng, Siqi Li, Shengyao Sun, Qisi Cai, and et al. 2022. "The Multiple Influences of Natural Farming Environment on the Cultured Population Behavior of Kuruma Prawn, Penaeus japonicus" Animals 12, no. 23: 3383. https://doi.org/10.3390/ani12233383
APA StyleCheng, W., Zhang, H., Wang, P., Wei, Y., Chen, C., Hou, Y., Deng, X., Li, S., Sun, S., Cai, Q., Mao, Y., & Liu, X. (2022). The Multiple Influences of Natural Farming Environment on the Cultured Population Behavior of Kuruma Prawn, Penaeus japonicus. Animals, 12(23), 3383. https://doi.org/10.3390/ani12233383

