Influence of Two Types of Guide Harnesses on Ground Reaction Forces and Step Length of Guide Dogs for the Blind
Abstract
Simple Summary
Abstract
1. Introduction
2. Materials and Methods
2.1. Dogs
2.2. Harnesses and Handles
- The harness and the handle that the dogs wore in their daily life during the guide work. All harnesses were of the Norwegian type, and the handle was a straight handle (Figure 1);
- A Y-harness (Joshua Reflective functional dog harness, Sugar Dog, Krämer Pferdesport, Germany; Figure 2);
2.3. Measurement Procedure
- C1: Walking with collar and leash;
- C2: Usual working harness of the dog (Norwegian type) with leash;
- C3: Usual working harness of the dog with usual working handle (straight handle);
- C4: Usual working harness of the dog with curved handle;
- C5: Y-harness with leash;
- C6: Y-harness with straight handle connected to the harness with a carabiner;
- C7: Y-harness with curved handle connected to the harness with a carabiner.
2.4. Data Analysis
- Peak vertical force (pForce, N): this value was normalized to the total force and expressed as %TF using the following formula;
- Time to pForce (TpForce): this parameter described the time at which pForce was reached and was expressed as a percentage of the stance phase duration (TpForce %SPD);
- Vertical impulse (vImpuls, Ns): this value was normalized as was described for pForce and expressed as vImpuls (%TF).
- Stance phase duration (s, SPD): this value was normalized as was described for pForce for the total stance time and expressed as the SPD %;
- Step length (SL, m);
- Velocity and acceleration: these parameters were evaluated for the left front leg to control the velocity and acceleration between the different measurement conditions. The differences in the velocity at which the dogs crossed the plate were within a range of ±0.3 m/s at a walk [7], with a maximum of 0.5 m/s at a trot [8], and they had an acceleration of ±0.5 m/s2.
2.5. Statistical Methods
3. Results
3.1. Norwegian Harness
- ○
- Compared to walking with a collar and leash (C1), walking in this harness using a leash (C2) did not result in any significant changes in the parameters;
- ○
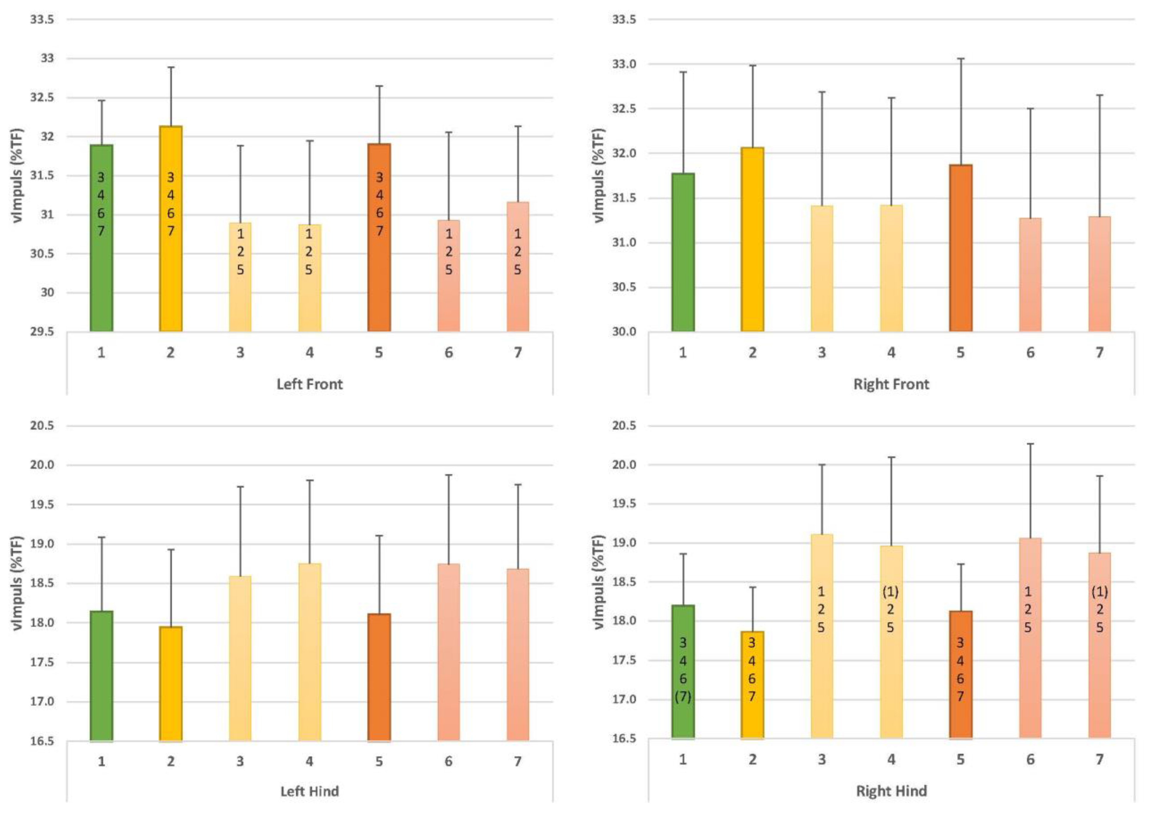
- Leading with a straight handle (C3) resulted in a decreased vImpuls (%TF) at the front left (p = 0.01) and an increased vImpuls (%TF) at the hind right (p = 0.01);
- ○
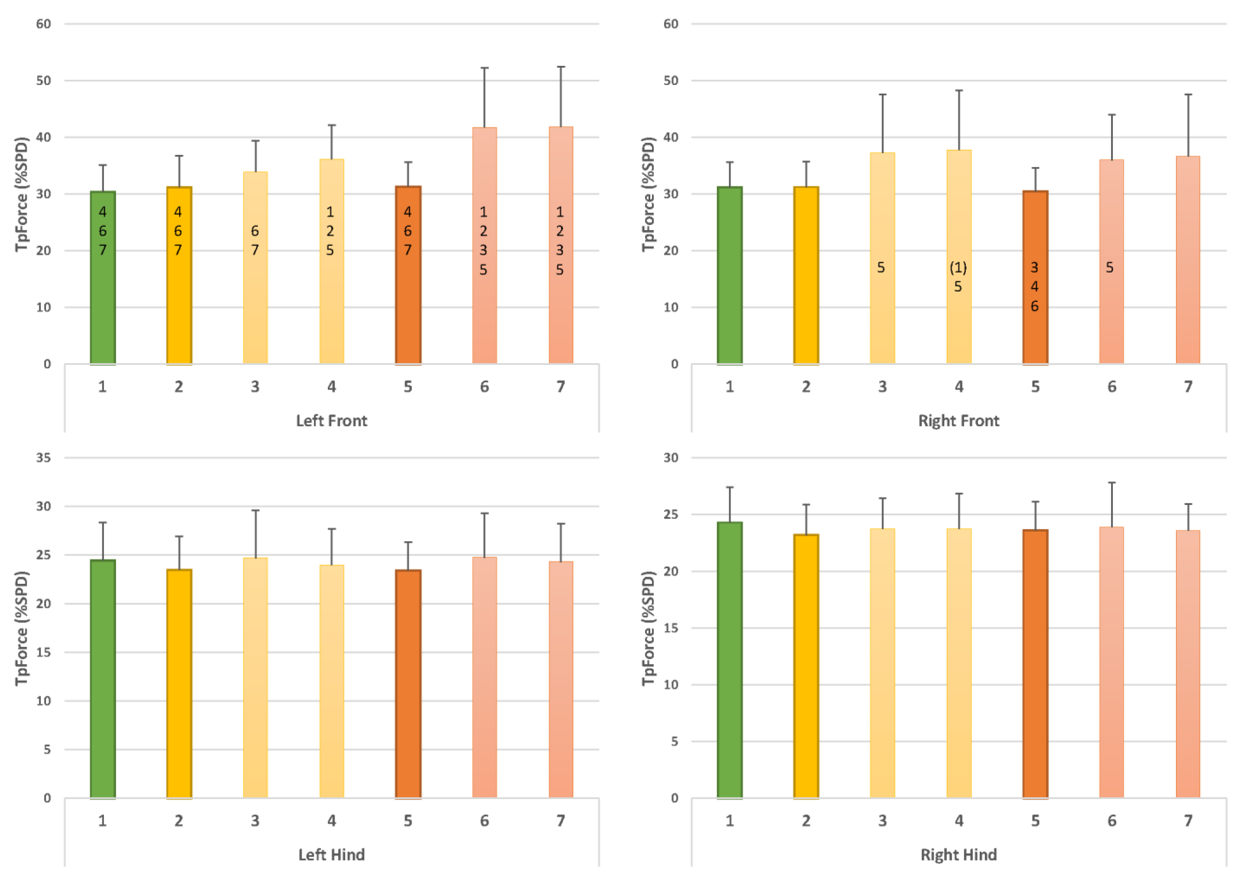
- Leading with a curved handle (C4) led to a reduced vImpuls (%TF) at the front left (p = 0.01); this value again appeared increased at the hind right but just outside the significance level (p = 0.06). Furthermore, TpForce (%SPD) appeared later at the front left (p = 0.02), and TpForce (%SPD) appeared later at the front right, just outside the significance level (p = 0.06).
- ○
- Leading with a straight handle (C3) resulted in a decreased vImpuls (%TF) at the front left (p = 0.00) and an increased vImpuls (%TF) at the hind right (p = 0.00);
- ○
- Leading with a straight handle (C4) resulted in a decreased vImpuls (%TF) at the front left (p = 0.00) and an increased vImpuls (%TF) at the hind right (p = 0.01).
- ○
- None of the parameters showed significant differences in the direct comparison of the harnesses.
3.2. Y-Harness
- ○
- Compared to walking with a collar and leash (C1), walking in this harness with a leash (C5) did not result in significant changes in the parameters;
- ○
- Leading with a straight handle (C6) resulted in decreased vImpuls (%TF) at the front left (p = 0.02) and increased vImpuls (%TF) at the rear right (p = 0.04). TpForce (%SPD) occurred later in the front left (p = 0.00). The stride length of all four legs was significantly shortened (front left p = 0.00, front right p = 0.04, rear left p = 0.01 and rear right p = 0.04);
- ○
- Leading with a bent handle (C7) led to a reduced vImpuls (%TF) at the front left (p = 0.01); this value again appeared increased at the hind right but just outside the significance (p = 0.06). Moreover, TpForce (%SPD) occurred later in the left front (p = 0.00). The stride length of all four legs was significantly shortened (left front p = 0.00, right front p = 0.03, left hind p = 0.01 and right hind p = 0.00).
- ○
- Leading with straight handle (C6) resulted in decreased vImpuls (%TF) in the front left (p = 0.02) and increased vImpuls (%TF) in the hind right (p = 0.03). TpForce (%SPD) occurred later in the front left (p = 0.01) and front right (p = 0.05). Step length was shortened in the front left (p = 0.04) and hind left (p = 0.04);
- ○
- Leading with bent handle (C7) resulted in decreased vImpuls (%TF) at the front left (p = 0.05) and increased vImpuls (%TF) at the hind right (p = 0.04). TpForce (%SPD) occurred later in the front left (p = 0.01). Step length was shortened in the left front (p = 0.04) and left hind (p = 0.04).
- ○
- None of the parameters showed significant differences in the direct comparison of the harnesses.
3.3. Comparison of Norwegian Harness versus Y-Harness
- ○
- There were no significant differences between conditions C2 and C5.
- ○
- Y-harnesses (5, C6) showed the following changes compared to the Norwegian harness: compared to walking in the Norwegian harness and leash (C2), there was a significantly lower vImpuls (%TF) in the front left (C5 and C6: p = 0.01) and in the hind right, the value was higher than in C2 (C6 and C7: p = 0.01). TpForce (%SPD) occurred later in the front left (C6 and C7: p = 0.01). Step length was shortened in the front left (C6 and C7: p = 0.02), in the front right in C7 (p = 0.05) and in the hind left (C6 and C7: p = 0.03). Compared to C3, there was a later TpForce (%SPD) in the front left (C6: p = 0.03, C7: p = 0.04) (Figure 5, Figure 6 and Figure 7).
4. Discussion
5. Conclusions
Author Contributions
Funding
Institutional Review Board Statement
Informed Consent Statement
Data Availability Statement
Acknowledgments
Conflicts of Interest
References
- Berentzen, D. Blindenführhunde: Kulturgeschichte einer Partnerschaft, 1. Auflage; Ripperger et Kremers Verlag: Berlin, Germany, 2016; ISBN 3943999912. [Google Scholar]
- Wong, M.L. Perceptions of Guide Dog Users on Their Dogs’ Impact on Their Lives; Pacific University: Stockton, CA, USA, 2006. [Google Scholar]
- Glenk, L.M.; Přibylová, L.; Stetina, B.U.; Demirel, S.; Weissenbacher, K. Perceptions on Health Benefits of Guide Dog Ownership in an Austrian Population of Blind People with and without a Guide Dog. Animals 2019, 9, 428. [Google Scholar] [CrossRef] [PubMed]
- Galla, K.; Peham, C.; Limbeck, S.; Bockstahler, B. Kinematic analysis of the influence of three different guide dog harnesses on the movement of the spine. Wien. Tierarztl. Mon. 2013, 100, 306–312. [Google Scholar]
- Peham, C.; Limbeck, S.; Galla, K.; Bockstahler, B.A. Pressure distribution under three different types of harnesses used for guide dogs. Vet. J. 2013, 198 (Suppl. 1), e93–e98. [Google Scholar] [CrossRef] [PubMed]
- Lafuente, M.P.; Provis, L.; Schmalz, E.A. Effects of restrictive and non-restrictive harnesses on shoulder extension in dogs at walk and trot. Vet. Rec. 2019, 184, 64. [Google Scholar] [CrossRef] [PubMed]
- Roush, J.K.; McLaughlin, R.M. Effects of subject stance time and velocity on ground reaction forces in clinically normal greyhounds at the walk. Am. J. Vet. Res. 1994, 55, 1672–1676. [Google Scholar] [PubMed]
- Hans, E.C.; Zwarthoed, B.; Seliski, J.; Nemke, B.; Muir, P. Variance associated with subject velocity and trial repetition during force platform gait analysis in a heterogeneous population of clinically normal dogs. Vet. J. 2014, 202, 498–502. [Google Scholar] [CrossRef] [PubMed]
- Budsberg, S.C.; Verstraete, M.C.; Brown, J.; Reece, L. Vertical loading rates in clinically normal dogs at a trot. Am. J. Vet. Res. 1995, 56, 1275–1280. [Google Scholar]
- DeCamp, C.E. Kinetic and kinematic gait analysis and the assessment of lameness in the dog. Vet. Clin. North Am. Small Anim. Pract. 1997, 27, 825–840. [Google Scholar] [CrossRef]
- Budsberg, S.C.; Jevens, D.J.; Brown, J.; Foutz, T.L.; DeCamp, C.E.; Reece, L. Evaluation of limb symmetry indices, using ground reaction forces in healthy dogs. Am. J. Vet. Res. 1993, 54, 1569–1574. [Google Scholar]
- Braun, L.; Tichy, A.; Peham, C.; Bockstahler, B.A. Comparison of vertical force redistribution in the pads of dogs with elbow osteoarthritis and healthy dogs. Vet. J. 2019, 250, 79–85. [Google Scholar] [CrossRef] [PubMed]
- Brebner, N.S.; Moens, N.M.M.; Runciman, J.R. Evaluation of a treadmill with integrated force plates for kinetic gait analysis of sound and lame dogs at a trot. Vet. Comp. Orthop. Traumatol. 2006, 19, 205–212. [Google Scholar] [CrossRef] [PubMed]
- Abdelhadi, J.; Wefstaedt, P.; Galindo-Zamora, V.; Anders, A.; Nolte, I.; Schilling, N. Load redistribution in walking and trotting Beagles with induced forelimb lameness. Am. J. Vet. Res. 2013, 74, 34–39. [Google Scholar] [CrossRef] [PubMed]
- Carrier, D.R.; Deban, S.M.; Fischbein, T. Locomotor function of forelimb protractor and retractor muscles of dogs: Evidence of strut-like behavior at the shoulder. J. Exp. Biol. 2008, 211, 150–162. [Google Scholar] [CrossRef] [PubMed][Green Version]
- Schilling, N.; Fischbein, T.; Yang, E.P.; Carrier, D.R. Function of the extrinsic hindlimb muscles in trotting dogs. J. Exp. Biol. 2009, 212, 1036–1052. [Google Scholar] [CrossRef] [PubMed]
- Deban, S.M.; Schilling, N.; Carrier, D.R. Activity of extrinsic limb muscles in dogs at walk, trot and gallop. J. Exp. Biol. 2012, 215, 287–300. [Google Scholar] [CrossRef]









| Condition | ||||||||
|---|---|---|---|---|---|---|---|---|
| Parameter | Limb | C1 (Mean ± SD) | C2 (Mean ± SD) | C3 (Mean ± SD) | C4 (Mean ± SD) | C5 (Mean ± SD) | C6 (Mean ± SD) | C7 (Mean ± SD) |
| pForce (%TF) | LF | 29.52 ± 1.23 | 29.82 ± 1.16 | 29.28 ± 1.35 | 29.27 ± 1.23 | 29.57 ± 1.18 | 29.41 ± 1.26 | 29.38 ± 0.93 |
| RF | 29.57 ± 1.14 | 29.99 ± 1.08 | 29.90 ± 1.33 | 29.82 ± 1.10 | 29.72 ± 1.23 | 29.64 ± 1.33 | 29.69 ± 1.32 | |
| LH | 20.67 ± 1.47 | 20.27 ± 1.42 | 20.27 ± 1.45 | 20.49 ± 1.45 | 20.57 ± 1.51 | 20.49 ± 1.53 | 20.49 ± 1.25 | |
| RH | 20.23 ± 0.75 | 19.92 ± 0.77 | 20.55 ± 1.20 | 20.43 ± 1.12 | 20.14 ± 0.91 | 20.47 ± 1.01 | 20.45 ± 1.02 | |
| TpForce (%SPD) | LF | 30.40 ± 4.77 4,6,7 | 31.23 ± 5.56 4,6,7 | 33.87 ± 5.51 6,7 | 36.10 ± 6.08 1,2,5 | 31.31 ± 4.343 4,6,7 | 41.75 ± 10.49 1,2,3,5 | 41.83 ± 10.68 1,2,3,5 |
| RF | 31.18 ± 4.49 4 | 31.26 ± 4.51 | 37.23 ± 10.39 5 | 37.76 ± 0.52 5 | 30.47 ± 4.10 3,4,6 | 35.98 ± 8.06 5 | 36.66 ± 10.95 | |
| LH | 24.45 ± 3.91 | 23.51 ± 3.43 | 24.68 ± 4.92 | 23.99 ± 3.71 | 23.42 ± 2.91 | 24.73 ± 4.60 | 24.33 ± 3.92 | |
| RH | 24.30 ± 3.10 | 23.19 ± 2.71 | 23.74 ± 2.68 | 23.74 ± 3.12 | 23.60 ± 2.55 | 23.88 ± 3.93 | 23.57 ± 2.37 | |
| vImpuls (%TF) | LF | 31.89 ± 0.57 3,4,6,7 | 32.13 ± 0.76 3,4,6,7 | 30.89 ± 1.00 1,2,5 | 30.87 ± 1.08 1,2,5 | 31.90 ± 0.74 3,4,6,7 | 30.93 ± 1.13 1,2,5 | 31.16± 0.97 1,2,5 |
| RF | 31.77 ± 1.14 | 32.06 ± 0.92 | 31.41 ± 1.28 | 31.42 ± 1.20 | 31.87 ± 1.19 | 31.27 ± 1.23 | 31.29± 1.36 | |
| LF | 18.14 ± 0.95 | 17.94 ± 0.98 | 18.59 ± 1.14 | 18.75 ± 1.06 | 18.11 ± 1.00 | 18.74 ± 1.13 | 18.68± 1.07 | |
| RH | 18.20 ± 0.66 3,(4),6,(7) | 17.86 ± 0.57 3,4,6,7 | 19.11 ± 0.89 1,2,5 | 18.96 ± 1.14 (1),2,5 | 18.12 ± 0.60 3,4,6,7 | 19.06 ± 1.21 1,2,5 | 18.87± 0.99 (1),2,5 | |
| SIpForce (%) | FL | 1.19 ± 1.27 | 1.07 ± 0.87 | 1.32 ± 1.18 | 1.13 ± 0.97 | 1.16 ± 1.15 | 0.89 ± 0.96 | 1.18 ± 0.86 |
| HL | 1.76 ± 1.63 | 1.68 ± 1.56 | 1.73 ± 0.90 | 2.04 ± 2.25 | 2.12 ± 1.99 | 1.38 ± 0.94 | 1.37 ± 1.21 | |
| SIvImpuls (%) | FL | 1.10 ± 1.18 | 0.94 ± 0.81 | 1.31 ± 1.50 | 1.20 ± 1.31 | 1.57 ± 1.20 | 0.96 ± 0.71 | 1.64 ± 1.10 |
| HL | 1.66 ± 0.84 | 1.28 ± 1.09 | 1.73 ± 0.88 | 1.56 ± 1.29 | 1.41 ± 1.16 | 1.66 ± 0.65 | 1.08 ± 1.03 | |
| SPD (%) | LF | 26.23 ± 0.51 | 26.16 ± 0.45 | 25.96 ± 0.51 | 25.99 ± 0.47 | 26.14 ± 0.45 | 25.92 ± 0.60 | 26.02 ± 0.69 |
| RF | 26.16 ± 0.55 | 26.28 ± 0.44 | 26.04 ± 0.63 | 26.17 ± 0.46 | 26.21 ± 0.60 | 26.07 ± 0.58 | 26.07 ± 0.65 | |
| LH | 23.60 ± 0.62 | 23.66 ± 0.46 | 23.86 ± 0.48 | 23.80 ± 0.43 | 23.66 ± 0.50 | 23.87 ± 0.43 | 23.88 ± 0.53 | |
| RH | 24.01 ± 0.38 | 23.89 ± 0.39 | 24.15 ± 0.44 | 24.05 ± 0.47 | 23.98 ± 0.40 | 24.15 ± 0.55 | 24.02 ± 0.48 | |
| SL (m) | LF | 0.86 ± 0.04 6,7 | 0.85 ± 0.04 6,7 | 0.83 ± 0.04 | 0.83 ± 0.04 | 0.84 ± 0.04 6,7 | 0.81 ± 0.04 1,2,5 | 0.80± 0.04 1,2,5 |
| RF | 0.85 ± 0.05 6,7 | 0.84 ± 0.03 7 | 0.83 ± 0.05 | 0.82 ± 0.04 | 0.83 ± 0.04 | 0.81 ± 0.05 1 | 0.81± 0.04 1,2 | |
| LH | 0.85 ± 0.03 6,7 | 0.85 ± 0.04 6,7 | 0.83 ± 0.04 | 0.83 ± 0.05 | 0.85 ± 0.04 6,7 | 0.81 ± 0.04 1,2,5 | 0.81± 0.04 1,2,5 | |
| RH | 0.85 ± 0.05 6,7 | 0.84 ± 0.04 6,7 | 0.83 ± 0.05 | 0.83 ± 0.05 | 0.84 ± 0.04 6,7 | 0.81 ± 0.05 1,2,5 | 0.81± 0.04 1,2,5 | |
| v (m/s) | LF | 1.15 ± 0.12 | 1.16 ± 0.09 | 1.11 ± 0.07 | 1.13 ± 0.09 | 1.16 ± 0.07 | 1.12 ± 0.11 | 1.09 ± 0.09 |
| a (m/s²) | LF | 0.00 ± 0.07 | 0.01 ± 0.04 | 0.02 ± 0.04 | 0.03 ± 0.05 | 0.04 ± 0.05 | 0.01 ± 0.03 | 0.00 ± 0.03 |
Publisher’s Note: MDPI stays neutral with regard to jurisdictional claims in published maps and institutional affiliations. |
© 2022 by the authors. Licensee MDPI, Basel, Switzerland. This article is an open access article distributed under the terms and conditions of the Creative Commons Attribution (CC BY) license (https://creativecommons.org/licenses/by/4.0/).
Share and Cite
Weissenbacher, A.; Tichy, A.; Weissenbacher, K.; Bockstahler, B. Influence of Two Types of Guide Harnesses on Ground Reaction Forces and Step Length of Guide Dogs for the Blind. Animals 2022, 12, 2453. https://doi.org/10.3390/ani12182453
Weissenbacher A, Tichy A, Weissenbacher K, Bockstahler B. Influence of Two Types of Guide Harnesses on Ground Reaction Forces and Step Length of Guide Dogs for the Blind. Animals. 2022; 12(18):2453. https://doi.org/10.3390/ani12182453
Chicago/Turabian StyleWeissenbacher, Anna, Alexander Tichy, Karl Weissenbacher, and Barbara Bockstahler. 2022. "Influence of Two Types of Guide Harnesses on Ground Reaction Forces and Step Length of Guide Dogs for the Blind" Animals 12, no. 18: 2453. https://doi.org/10.3390/ani12182453
APA StyleWeissenbacher, A., Tichy, A., Weissenbacher, K., & Bockstahler, B. (2022). Influence of Two Types of Guide Harnesses on Ground Reaction Forces and Step Length of Guide Dogs for the Blind. Animals, 12(18), 2453. https://doi.org/10.3390/ani12182453

