Relationship among Sex, Skin Color, and Production Parameters of Broiler in Pectoral Myopathies
Abstract
Simple Summary
Abstract
1. Introduction
2. Materials and Methods
2.1. Data Collection
2.2. Parameters Used in the Statistical Model
2.3. Statistical Analysis
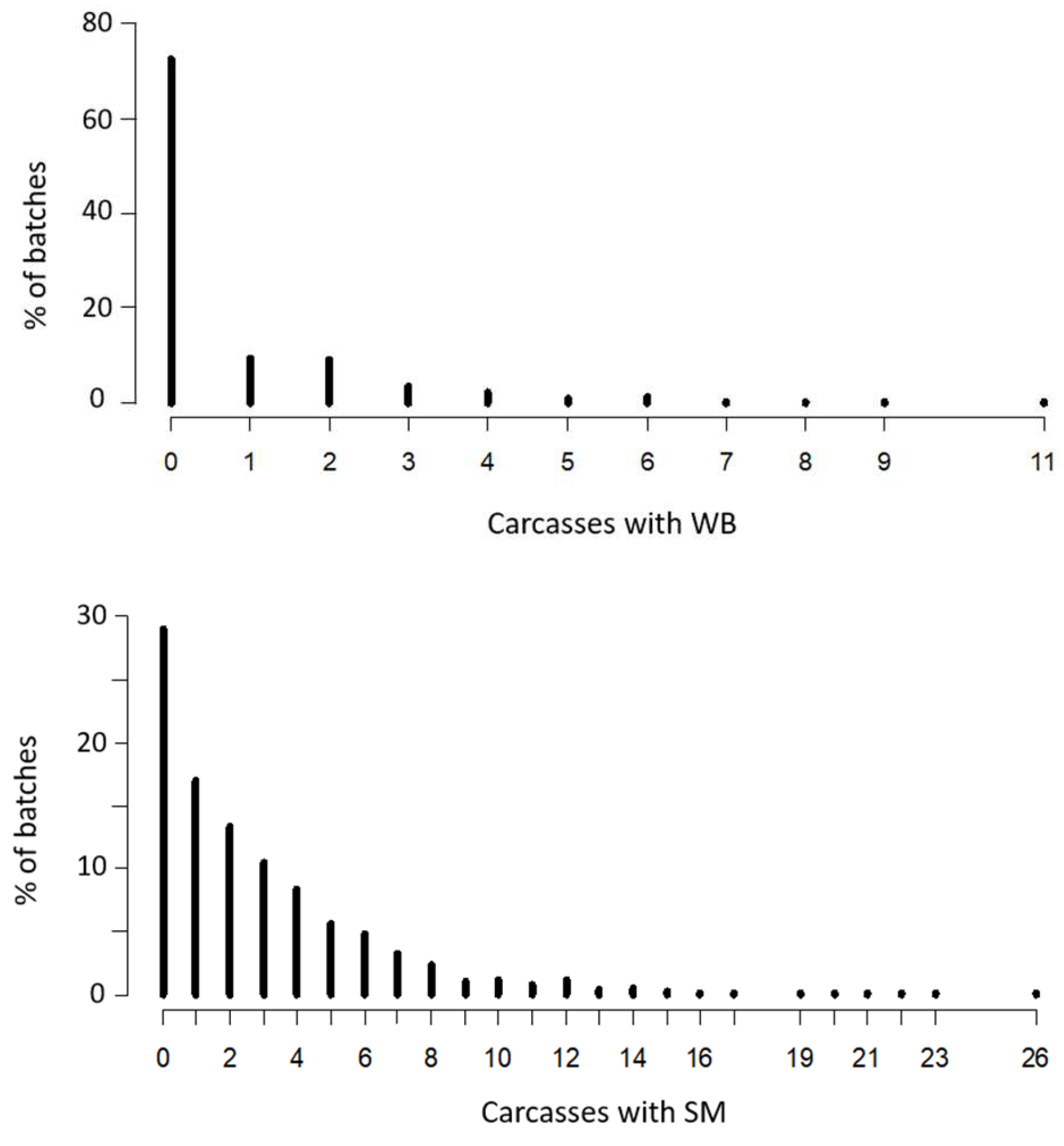
3. Results
4. Discussion
4.1. Production Parameters and Breast Myopathies
4.2. Broiler Category and Feed Particle Form on the Prevalence of Breast Myopathies
5. Conclusions
Author Contributions
Funding
Institutional Review Board Statement
Informed Consent Statement
Data Availability Statement
Acknowledgments
Conflicts of Interest
References
- Marquer, P.; Rabade, T.; Forti, R. Meat Production Statistics. Available online: https://ec.europa.eu/eurostat/statistics-explained/index.php/Meat_production_statistics (accessed on 2 December 2021).
- Maharjan, P.; Martinez, D.A.; Weil, J.; Suesuttajit, N.; Umberson, C.; Mullenix, G.; Hilton, K.M.; Beitia, A.; Coon, C.N. Review: Physiological Growth Trend of Current Meat Broilers and Dietary Protein and Energy Management Approaches for Sustainable Broiler Production. Animal 2021, 15, 100284. [Google Scholar] [CrossRef] [PubMed]
- Cavani, C.; Petracci, M.; Trocino, A.; Xiccato, G. Advances in Research on Poultry and Rabbit Meat Quality. Ital. J. Anim. Sci. 2009, 8, 741–750. [Google Scholar] [CrossRef]
- Petracci, M.; Mudalal, S.; Soglia, F.; Cavani, C. Meat Quality in Fast-Growing Broiler Chickens. Worlds. Poult. Sci. J. 2015, 71, 363–374. [Google Scholar] [CrossRef]
- Moran, E.T.; Bilgili, S.F. Processing Losses, Carcass Quality, and Meat Yields of Broiler Chickens Receiving Diets Marginally Deficient to Adequate in Lysine Prior to Marketing. Poult. Sci. 1990, 69, 702–710. [Google Scholar] [CrossRef]
- Renema, R.A.; Rustad, M.E.; Robinson, F.E. Implications of Changes to Commercial Broiler and Broiler Breeder Body Weight Targets over the Past 30 Years. Worlds. Poult. Sci. J. 2007, 63, 457–472. [Google Scholar] [CrossRef]
- Trocino, A.; Piccirillo, A.; Birolo, M.; Radaelli, G.; Bertotto, D.; Filiou, E.; Petracci, M.; Xiccato, G. Effect of Genotype, Gender and Feed Restriction on Growth, Meat Quality and the Occurrence of White Striping and Wooden Breast in Broiler Chickens. Poult. Sci. 2015, 94, 2996–3004. [Google Scholar] [CrossRef]
- Baéza, E.; Guillier, L.; Petracci, M. Review: Production Factors Affecting Poultry Carcass and Meat Quality Attributes. Animal 2022, 16, 100331. [Google Scholar] [CrossRef]
- Schmidt, C.J.; Persia, M.E.; Feierstein, E.; Kingham, B.; Saylor, W.W. Comparison of a Modern Broiler Line and a Heritage Line Unselected since the 1950s. Poult. Sci. 2009, 88, 2610–2619. [Google Scholar] [CrossRef]
- Siller, W.G. Deep Pectoral Myopathy: A Penalty of Successful Selection for Muscle Growth. Poult. Sci. 1985, 64, 1591–1595. [Google Scholar] [CrossRef]
- Radaelli, G.; Piccirillo, A.; Birolo, M.; Bertotto, D.; Gratta, F.; Ballarin, C.; Vascellari, M.; Xiccato, G.; Trocino, A. Effect of Age on the Occurrence of Muscle Fiber Degeneration Associated with Myopathies in Broiler Chickens Submitted to Feed Restriction. Poult. Sci. 2017, 96, 309–319. [Google Scholar] [CrossRef]
- Mudalal, S.; Lorenzi, M.; Soglia, F.; Cavani, C.; Petracci, M. Implications of White Striping and Wooden Breast Abnormalities on Quality Traits of Raw and Marinated Chicken Meat. Animal 2015, 9, 728–734. [Google Scholar] [CrossRef] [PubMed]
- Sihvo, H.-K.; Immonen, K.; Puolanne, E. Myodegeneration with Fibrosis and Regeneration in the Pectoralis Major Muscle of Broilers. Vet. Pathol. 2014, 51, 619–623. [Google Scholar] [CrossRef] [PubMed]
- Mutryn, M.F.; Brannick, E.M.; Fu, W.; Lee, W.R.; Abasht, B. Characterization of a Novel Chicken Muscle Disorder through Differential Gene Expression and Pathway Analysis Using RNA-Sequencing. BMC Genomics 2015, 16, 399. [Google Scholar] [CrossRef] [PubMed]
- De Brot, S.; Perez, S.; Shivaprasad, H.L.; Baiker, K.; Polledo, L.; Clark, M.; Grau-Roma, L. Wooden Breast Lesions in Broiler Chickens in the UK. Vet. Rec. 2016, 178, 141. [Google Scholar] [CrossRef]
- Bailey, R.A.; Watson, K.A.; Bilgili, S.F.; Avendano, S. The Genetic Basis of Pectoralis Major Myopathies in Modern Broiler Chicken Lines. Poult. Sci. 2015, 94, 2870–2879. [Google Scholar] [CrossRef]
- Petracci, M.; Soglia, F.; Berri, C. Muscle Metabolism and Meat Quality Abnormalities. Poult. Qual. Eval. Qual. Attrib. Consum. Values 2017, 51–75. [Google Scholar] [CrossRef]
- Baldi, G.; Soglia, F.; Mazzoni, M.; Sirri, F.; Canonico, L.; Babini, E.; Laghi, L.; Cavani, C.; Petracci, M. Implications of White Striping and Spaghetti Meat Abnormalities on Meat Quality and Histological Features in Broilers. Animal 2018, 12, 164–173. [Google Scholar] [CrossRef]
- Puolanne, E.; Voutila, L. The Role of Connective Tissue in Poultry Meat Quality. In Proceedings of the XVIII European Symposium on the Quality of Poultry Meat and XIII European Symposium on the Quality of Eggs and Egg Products, Turku, Finland, 21–25 June 2009; p. 26. [Google Scholar]
- Maiorano, G. Meat Defects and Emergent Muscle Myopathies in Broiler Chickens: Implications for the Modern Poultry Industry. Rocz. Nauk. Pol. Tow. Zootech. 2017, 13, 43–51. [Google Scholar] [CrossRef]
- Bilgili, S.F.; Hess, J.B. Problemas de Piel En La Canal de Pollo: Causas y Soluciones. Sel. Avícolas 2010, 52, 13–18. [Google Scholar]
- Kuttappan, V.A.; Brewer, V.B.; Apple, J.K.; Waldroup, P.W.; Owens, C.M. Influence of Growth Rate on the Occurrence of White Striping in Broiler Breast Fillets. Poult. Sci. 2012, 91, 2677–2685. [Google Scholar] [CrossRef]
- Lien, R.J.; Bilgili, S.F.; Hess, J.B.; Joiner, K.S. Induction of Deep Pectoral Myopathy in Broiler Chickens via Encouraged Wing Flapping. J. Appl. Poult. Res. 2012, 21, 556–562. [Google Scholar] [CrossRef]
- Lorenzi, M.; Mudalal, S.; Cavani, C.; Petracci, M. Incidence of White Striping under Commercial Conditions in Medium and Heavy Broiler Chickens in Italy. J. Appl. Poult. Res. 2014, 23, 754–758. [Google Scholar] [CrossRef]
- Sobotik, E.; Lee, J.; Hagerman, S.; Archer, G. Evaluation of the Use of Phosphatidic Acid in the Diet on Growth Performance and Breast Meat Yield in Broilers. Animals 2018, 8, 87. [Google Scholar] [CrossRef] [PubMed]
- Córdova-Noboa, H.A.; Oviedo-Rondón, E.O.; Sarsour, A.H.; Barnes, J.; Ferzola, P.; Rademacher-Heilshorn, M.; Braun, U. Performance, Meat Quality, and Pectoral Myopathies of Broilers Fed Either Corn or Sorghum Based Diets Supplemented with Guanidinoacetic Acid. Poult. Sci. 2018, 97, 2479–2493. [Google Scholar] [CrossRef] [PubMed]
- Amerah, A.M.; Ravindran, V.; Lentle, R.G.; Thomas, D.G. Feed Particle Size: Implications on the Digestion and Performance of Poultry. Worlds. Poult. Sci. J. 2007, 63, 439–455. [Google Scholar] [CrossRef]
- Kilburn, J.; Edwards, H.M. The Response of Broilers to the Feeding of Mash or Pelleted Diets Containing Maize of Varying Particle Sizes. Br. Poult. Sci. 2001, 42, 484–492. [Google Scholar] [CrossRef]
- Ferket, P.R.; Gernat, A.G. Factors That Affect Feed Intake of Meat Birds: A Review. Int. J. Poult. Sci. 2006, 5, 905–911. [Google Scholar] [CrossRef]
- Soglia, F.; Mazzoni, M.; Petracci, M. Spotlight on Avian Pathology: Current Growth-Related Breast Meat Abnormalities in Broilers. Avian Pathol. 2019, 48, 1–3. [Google Scholar] [CrossRef]
- Vasdal, G.; Granquist, E.G.; Skjerve, E.; de Jong, I.C.; Berg, C.; Michel, V.; Moe, R.O. Associations between Carcass Weight Uniformity and Production Measures on Farm and at Slaughter in Commercial Broiler Flocks. Poult. Sci. 2019, 98, 4261–4268. [Google Scholar] [CrossRef]
- Feddes, J.; Emmanuel, E.; Zuidhoft, M. Broiler Performance, Body Weight Variance, Feed and Water Intake, and Carcass Quality at Different Stocking Densities. Poult. Sci. 2002, 81, 774–779. [Google Scholar] [CrossRef]
- Toudic, C. Evaluating Uniformity in Broilers: Factors Affecting Variation. Available online: http://www.thepoultrysite.com/articles/725/evaluating-uniformity-in-broilers-factors-affecting-variation/ (accessed on 28 June 2018).
- Griffin, A.M.; Renema, R.A.; Robinson, F.E.; Zuidhof, M.J. The Influence of Rearing Light Period and the Use of Broiler or Broiler Breeder Diets on Forty-Two-Day Body Weight, Fleshing, and Flock Uniformity in Broiler Stocks. J. Appl. Poult. Res. 2005, 14, 204–216. [Google Scholar] [CrossRef]
- Gous, R.M. Nutritional and Environmental Effects on Broiler Uniformity. Worlds Poult. Sci. J. 2018, 74, 21–34. [Google Scholar] [CrossRef]
- Huang, X.; Ahn, D.U. The Incidence of Muscle Abnormalities in Broiler Breast Meat—A Review. Korean J. Food Sci. Anim. Resour. 2018, 38, 835–850. [Google Scholar] [CrossRef] [PubMed]
- Baldi, G.; Soglia, F.; Petracci, M. Current Status of Poultry Meat Abnormalities. Meat Muscle Biol. 2020, 4, 1–7. [Google Scholar] [CrossRef]
- Montagna, F.; Garcia, G.; Nääs, I.; Lima, N.; Caldara, F. Practical Assessment of Spaghetti Breast in Diverse Genetic Strain Broilers Reared under Different Environments. Braz. J. Poult. Sci. 2019, 21. [Google Scholar] [CrossRef]
- Kuttappan, V.A.; Hargis, B.M.; Owens, C.M. White Striping and Woody Breast Myopathies in the Modern Poultry Industry: A Review. Poult. Sci. 2016, 95, 2724–2733. [Google Scholar] [CrossRef]
- Papah, M.B.; Brannick, E.M.; Schmidt, C.J.; Abasht, B. Gene Expression Profiling of the Early Pathogenesis of Wooden Breast Disease in Commercial Broiler Chickens Using RNA-Sequencing. PLoS ONE 2018, 13, e0207346. [Google Scholar] [CrossRef]
- Baldi, G.; Soglia, F.; Petracci, M. Spaghetti Meat Abnormality in Broilers: Current Understanding and Future Research Directions. Front. Physiol. 2021, 12, 715. [Google Scholar] [CrossRef]
- Zanetti, M.A.; Tedesco, D.C.; Schneider, T.; Teixeira, S.T.F.; Daroit, L.; Pilotto, F.; Dickel, E.L.; Santos, S.P.; Santos, L.R. dos Economic Losses Associated with Wooden Breast and White Striping in Broilers. Semin. Cienc. Agrárias 2018, 39, 887. [Google Scholar] [CrossRef]
- Petracci, M.; Soglia, F.; Madruga, M.; Carvalho, L.; Ida, E.; Estévez, M. Wooden-Breast, White Striping, and Spaghetti Meat: Causes, Consequences and Consumer Perception of Emerging Broiler Meat Abnormalities. Compr. Rev. Food Sci. Food Saf. 2019, 18, 565–583. [Google Scholar] [CrossRef]
- Fletcher, D.L. Poultry Meat Colour. In Poultry Meat Science; Richardson, R.I., Mead, C., Eds.; CABI Publishing: Oxfordshire, UK, 1999; pp. 159–176. ISBN 0-85199-237-4. [Google Scholar]
- Küçükyilmaz, K.; Bozkurt, M.; Çatli, A.U.; Herken, E.N.; Çinar, M.; Bintaş, E. Chemical Composition, Fatty Acid Profile and Colour of Broiler Meat as Affected by Organic and Conventional Rearing Systems. S. Afr. J. Anim. Sci. 2012, 42, 361–368. [Google Scholar] [CrossRef][Green Version]
- Bianchi, M.; Petracci, M.; Sirri, F.; Folegatti, E.; Franchini, A.; Meluzzi, A. The Influence of the Season and Market Class of Broiler Chickens on Breast Meat Quality Traits. Poult. Sci. 2007, 86, 959–963. [Google Scholar] [CrossRef] [PubMed]
- Pedrão, M.R.; de Souza, R.M.; Louvandini, H.; Louvandini, P.; de Souza, R.B.; de Morais Leite, N.; Coró, F.A.G. White Striping and Wooden Breast Myopathies in the Poultry Industry: An Overview of Changes in the Skin, Bone Tissue and Intestinal Microbiota and Their Economic Impact. In Advances in Poultry Nutrition Research; Patra, A.K., Ed.; IntechOpen: Rijeka, Croatia, 2021. [Google Scholar] [CrossRef]
- Goodband, R.D.; Tokach, M.D.; Nelssen, J.L. The Effects of Diet Particle Size on Animal Performance; Kansas State University: Manhattan, KS, USA, 2002. [Google Scholar]
- Joardar, D.; Livingston, K.A.; Edens, F.W.; Nusairat, B.; Qudsieh, R.; Livingston, M.L.; Brake, J. Effect of Limestone Particle Size and Potassium Supplementation on Growth Performance, Blood Physiology, and Breast Muscle Myopathy of Male Broiler Chickens. Front. Vet. Sci. 2020, 7, 603284. [Google Scholar] [CrossRef] [PubMed]

| Productivity Parameters | Units | Average | Rate | CV 1 |
|---|---|---|---|---|
| Density | kg/m2 | 36.5 | 14.5–49.8 | 17.1 |
| Live weight | kg | 2.72 | 1.44–3.77 | 14.2 |
| Mortality | % | 3.77 | 0.05–9.96 | 5.46 |
| Feed conversion ratio | kg/kg | 1.72 | 1.53–2.15 | 3.91 |
| Growth rate | g/day | 62.9 | 42.7–79.9 | 11.5 |
| Myopathies Incidence | Units | Average | Rate | CV |
| Wooden breast | % | 0.69 | 0.00–11.5 | 213 |
| Spaghetti meat | % | 2.94 | 0.00–27.1 | 120 |
| Factor | Coefficient | Standard Error | Significance Level (p) |
|---|---|---|---|
| Wooden breast (WB) | |||
| Intercept | −0.776 | 1.611 | 0.630 |
| Broiler category | <0.001 | ||
| YF | 1.20 | 0.343 | <0.001 |
| YM | 1.95 | 0.340 | <0.001 |
| YX | 2.19 | 0.600 | <0.001 |
| WF | 1.19 | 0.425 | 0.005 |
| WM | 1.96 | 0.304 | <0.001 |
| WX | 1.61 | 0.379 | <0.001 |
| YF-65 | 0.644 | 0.455 | 0.157 |
| WF-O | 0.343 | ||
| Feed particle size | 0.002 | ||
| GF-T | −0.382 | 0.126 | 0.003 |
| GF-NT | −0.260 | 0.129 | 0.045 |
| MF-T | −0.936 | 0.321 | 0.004 |
| MF-NT | −0.640 | 0.255 | 0.012 |
| Live weight (kg) | 1.07 | 0.224 | <0.001 |
| FCR (kg/kg) | −5.20 | 0.881 | <0.001 |
| Spaghetti meat (SM) | |||
| Intercept | −0.363 | 0.797 | 0.648 |
| Broiler category | <0.001 | ||
| YF | 0.27 | 0.084 | 0.01 |
| YM | −1.54 | 0.152 | <0.001 |
| YX | −0.694 | 0.471 | 0.14 |
| WF | 0.01 | 0.113 | 0.38 |
| WM | −1.23 | 0.082 | <0.001 |
| WX | 0.132 | 0.138 | 0.34 |
| YF-65 | −0.241 | 0.109 | 0.027 |
| WF-O | 0 | ||
| Feed particle size | 0.002 | ||
| GF-T | −0.209 | 0.077 | 0.006 |
| GF-NT | −0.144 | 0.083 | 0.084 |
| MF-T | −0.433 | 0.122 | <0.001 |
| MF-NT | −0.219 | 0.106 | 0.038 |
| FCR (kg/kg) | −1.62 | 0.456 | <0.001 |
| Broiler Category | WB | SEM | SM | SEM |
|---|---|---|---|---|
| YF | 0.250 bc | 0.054 | 5.340 a | 0.304 |
| YM | 1.060 a | 0.115 | 0.979 b | 0.136 |
| YX | 0.511 abc | 0.273 | 2.230 ab | 1.020 |
| WF | 0.206 bc | 0.067 | 4.030 a | 0.368 |
| WM | 0.891 a | 0.060 | 1.400 b | 0.084 |
| WX | 0.575 ab | 0.145 | 5.670 a | 0.66 |
| YF-65 | 0.084 c | 0.030 | 2.770 a | 0.218 |
| WF-O | 0.091 c | 0.024 | 4.740 a | 0.208 |
| Feed Particle Size | WB | SEM | SM | SEM |
|---|---|---|---|---|
| GF-T | 0.493 a | 0.047 | 2.080 a | 0.118 |
| GF-NT | 0.406 a | 0.039 | 2.300 a | 0.110 |
| MF-T | 0.112 b | 0.029 | 2.560 a | 0.210 |
| MF-NT | 0.116 b | 0.037 | 2.290 a | 0.235 |
Publisher’s Note: MDPI stays neutral with regard to jurisdictional claims in published maps and institutional affiliations. |
© 2022 by the authors. Licensee MDPI, Basel, Switzerland. This article is an open access article distributed under the terms and conditions of the Creative Commons Attribution (CC BY) license (https://creativecommons.org/licenses/by/4.0/).
Share and Cite
Novoa, M.; Francisco, I.; Lage, A.; Benedito, J.L.; García, L.; Vázquez, L.; Cobas, N. Relationship among Sex, Skin Color, and Production Parameters of Broiler in Pectoral Myopathies. Animals 2022, 12, 1617. https://doi.org/10.3390/ani12131617
Novoa M, Francisco I, Lage A, Benedito JL, García L, Vázquez L, Cobas N. Relationship among Sex, Skin Color, and Production Parameters of Broiler in Pectoral Myopathies. Animals. 2022; 12(13):1617. https://doi.org/10.3390/ani12131617
Chicago/Turabian StyleNovoa, Martín, Iván Francisco, Almudena Lage, José Luis Benedito, Lucio García, Luis Vázquez, and Noemi Cobas. 2022. "Relationship among Sex, Skin Color, and Production Parameters of Broiler in Pectoral Myopathies" Animals 12, no. 13: 1617. https://doi.org/10.3390/ani12131617
APA StyleNovoa, M., Francisco, I., Lage, A., Benedito, J. L., García, L., Vázquez, L., & Cobas, N. (2022). Relationship among Sex, Skin Color, and Production Parameters of Broiler in Pectoral Myopathies. Animals, 12(13), 1617. https://doi.org/10.3390/ani12131617

