Behavioural and Physiological Changes in a Herd of Arabian Mares after the Separation of Individuals Differently Ranked within the Dominance Hierarchy
Abstract
:Simple Summary
Abstract
1. Introduction
2. Materials and Methods
2.1. Horses
2.2. Procedure of Testing Dominance Hierarchy
- -
- The leader of the herd always approached the crib and began to consume the concentrate first and alone;
- -
- Two subdominant mares simultaneously began to consume the concentrate in second place;
- -
- A group of seven mares ranked third;
- -
- A subservient mare ranked fourth;
- -
- A solitary mare, which usually kept away from the herd, then approached the crib a few minutes later and was ranked fifth.
2.3. Procedure of Main Tests
- -
- Phase 1 after releasing the mares into the paddock;
- -
- Phase 2 when selected mares were separated from the herd;
- -
- Phase 3 after bringing the separated mares back to the herd.
- -
- The first test carried out on the first experimental day—the group dominant over the rest of the herd including the leader and two subdominant mares;
- -
- The second test carried out on the second experimental day—the mixed group including the leader, subservient and solitary mares;
- -
- The third test carried out on the third experimental day—the submissive group including two subdominant mares simultaneously submissive to the leader and the solitary mare submissive to the whole herd. The measurements conducted in each phase concerned the herd without the mares separated in phase 2.
2.4. Measurements within Main Tests
2.5. Statistical Analysis
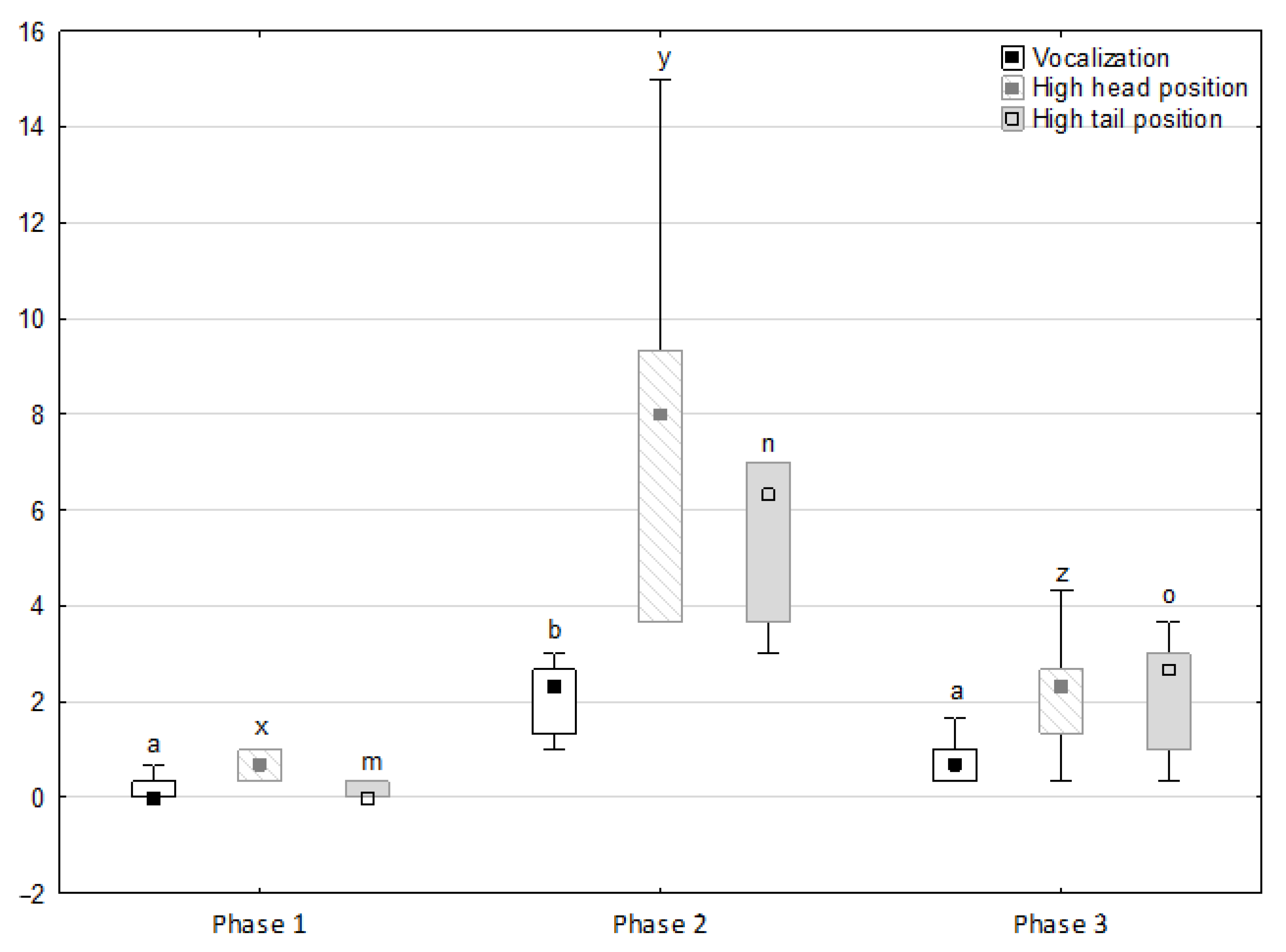
3. Results
4. Discussion
5. Conclusions
Author Contributions
Funding
Institutional Review Board Statement
Informed Consent Statement
Data Availability Statement
Conflicts of Interest
References
- Cameron, E.Z.; Setsaas, T.H.; Linklater, W.L. Social bonds between unrelated females increase reproductive success in feral horses. Proc. Natl. Acad. Sci. USA 2009, 106, 13850–13853. [Google Scholar] [CrossRef] [Green Version]
- Houpt, K.A.; Keiper, R. The position of the stallion in the equine dominance hierarchy of feral and domestic ponies. J. Anim. Sci. 1982, 54, 945–950. [Google Scholar] [CrossRef]
- Keiper, R.; Receveur, H. Social interactions of free-ranging Przewalski horses in semi-reserves in the Netherlands. Appl. Anim. Behav. Sci. 1992, 33, 303–318. [Google Scholar] [CrossRef]
- Shimada, M.; Suzuki, N. The contribution of mutual grooming to affiliative relationships in a feral Misaki horse herd. Animals 2020, 10, 1564. [Google Scholar] [CrossRef]
- Giles, S.L.; Nicol, C.J.; Harris, P.A.; Rands, S.A. Dominance rank is associated with body condition in outdoor-living domestic horses (Equus caballus). Appl. Anim. Behav. Sci. 2015, 166, 71–79. [Google Scholar] [CrossRef] [PubMed] [Green Version]
- Linklater, W.L.; Cameron, E.Z. Tests for cooperative behaviour between stallions. Anim. Behav. 2000, 60, 731–743. [Google Scholar] [CrossRef] [Green Version]
- Snorrason, S.; Sigurjónsdóttir, H.; Thórhallsdóttir, A.; van Dierendonck, M. Social relationships in a group of horses without a mature stallion. Behaviour 2003, 140, 783–804. [Google Scholar] [CrossRef]
- Weeks, J.W.; Crowell-Davis, S.L.; Caudle, A.B.; Heusner, G.L. Aggression and social spacing in light horse (Equus caballus) mares and foals. Appl. Anim. Behav. Sci. 2000, 68, 319–337. [Google Scholar] [CrossRef]
- Hartmann, E.; Keeling, L.J.; Rundgren, M. Social interactions of unfamiliar horses during paired encounters: Effect of pre-exposure on aggression level and so risk of injury. Appl. Anim. Behav. Sci. 2009, 121, 214–221. [Google Scholar] [CrossRef]
- Heitor, F.; Oom, M.M.; Vicente, L. Social relationships in a herd of Sorraia horses: Part I. Correlates of social dominance and contexts of aggression. Behav. Process. 2006, 73, 170–177. [Google Scholar] [CrossRef] [PubMed]
- Ransom, J.I.; Cade, B.S. Quantifying Equid Behavior—A research ethogram for free-roaming feral horses. USGS 2009, 23. [Google Scholar] [CrossRef]
- Sigurjónsdóttir, H.; Haraldsson, H. Significance of group composition for the welfare of pastured horses. Animals 2019, 9, 14. [Google Scholar] [CrossRef] [Green Version]
- van Dierendonck, M.C.; Sigurjónsdóttir, H.; Colenbrander, B.; Thorhallsdóttir, A.G. Differences in social behaviour between late pregnant, post-partum and barren mares in a herd of Icelandic horses. Appl. Anim. Behav. Sci. 2004, 89, 283–297. [Google Scholar] [CrossRef] [Green Version]
- Jørgensen, G.H.M.; Borsheim, L.; Mejdell, C.M.; Søndergaard, E.; Bøe, K.E. Grouping horses according to gender: Effects on aggression, spacing and injuries. Appl. Anim. Behav. Sci. 2009, 120, 94–99. [Google Scholar] [CrossRef]
- Lansade, L.; Bouissou, M.F.; Erhard, H.W. Reactivity to isolation and association with conspecifics: A temperament trait stale across time an situations. Appl. Anim. Behav. Sci. 2008, 109, 355–373. [Google Scholar] [CrossRef]
- Burattini, B.; Fenner, K.; Anzulewicz, A.; Romness, N.; McKenzie, J.; Wilson, B.; McGreevy, P. Age-related changes in the behaviour of domestic horses as reported by owners. Animals 2020, 10, 2321. [Google Scholar] [CrossRef]
- Lloyd, A.S.; Martin, J.E.; Bornett-Gauci, H.L.I.; Wilkinson, R.G. Horse personality: Variation between breeds. Appl. Anim. Behav. Sci. 2008, 112, 369–383. [Google Scholar] [CrossRef]
- McGreevy, P.D.; Cripps, P.J.; French, N.P.; Green, L.E.; Nicol, C.J. Management factors associated with stereotypic and redirected behaviour in the Thoroughbred horse. Equine Vet. J. 1995, 27, 86–91. [Google Scholar] [CrossRef]
- Hartmann, E.; Keeling, L.J.; Rundgren, M. Comparison of 3 methods for mixing unfamiliar horses (Equus caballus). J. Vet. Behav. 2011, 6, 39–49. [Google Scholar] [CrossRef]
- Jørgensen, G.H.M.; Fremstad, K.E.; Mejdell, C.M.; Bøe, K.E. Separating a horse from the social group for riding or training purposes: A descriptive study of human–horse interactions. Anim. Welf. 2011, 20, 271–279. [Google Scholar]
- Stachurska, A.; Różańska-Boczula, M.; Wnuk-Pawlak, E. The difference in the locomotor activity of horses during solitary and paired release. Pferdeheilkunde Equine Med. 2021, 37, 50–54. [Google Scholar] [CrossRef]
- Hartmann, E.; Søndergaard, E.; Keeling, L.J. Keeping horses in groups: A review. Appl. Anim. Behav. Sci. 2012, 136, 77–87. [Google Scholar] [CrossRef]
- McDonnell, S.M.; Haviland, J.C.S. Agonistic ethogram of the equid bachelor band. Appl. Anim. Behav. Sci. 1995, 43, 147–188. [Google Scholar] [CrossRef]
- McDonnell, S. A Practical Field Guide to Horse Behavior: The Equid Ethogram; The Blood Horse, Inc.: Lexington, KY, USA, 2003; p. 375. [Google Scholar]
- Christensen, J.W.; Keeling, L.J.; Nielsen, B.L. Responses of horses to novel visual, olfactory and auditory stimuli. Appl. Anim. Behav. Sci. 2005, 93, 53–65. [Google Scholar] [CrossRef]
- Hall, C.; Huws, N.; White, C.; Taylor, E.; Owen, H.; McGreevy, P. Assessment of ridden horse behavior. J. Vet. Behav. 2013, 8, 62–73. [Google Scholar] [CrossRef]
- Janczarek, I.; Stachurska, A.; Kędzierski, W.; Wiśniewska, A.; Ryżak, M.; Kozioł, A. The intensity of physiological and behavioral responses of horses to predator vocalizations. BMC Vet. Res. 2020, 16, 431. [Google Scholar] [CrossRef]
- Robilliard, J.J.; Pfau, T.; Wilson, A.M. Gait characterisation and classification in horses. J. Exp. Biol. 2007, 210, 187–197. [Google Scholar] [CrossRef] [PubMed] [Green Version]
- McDonnell, S.M. Poulin A. Equid play ethogram. Appl. Anim. Behav. Sci. 2002, 78, 263–290. [Google Scholar] [CrossRef]
- Rietmann, T.R.; Stuart, A.E.A.; Bernasconi, P.; Stauffacher, M.; Auer, J.A.; Weishaupt, M.A. Assessment of mental stress in warmblood horses: Heart rate variability in comparison to heart rate and selected behavioral parameters. Appl. Anim. Behav. Sci. 2004, 88, 121–136. [Google Scholar] [CrossRef]
- Janczarek, I.; Stachurska, A.; Kędzierski, W.; Wnuk-Pawlak, E.; Wilk, I.; Zyglewska, K.; Paszkowska, A.; Ryżak, M.; Wiśniewska, A. Heart rate variability in Konik and purebred Arabian horses in response to different predator vocalisations. Animal 2021, 15, 100045. [Google Scholar] [CrossRef]
- Kowalik, S.; Janczarek, I.; Kędzierski, W.; Stachurska, A.; Wilk, I. The effect of relaxing massage on heart rate and heart rate variability in Purebred Arabian racehorses. Anim. Sci. J. 2017, 88, 669–677. [Google Scholar] [CrossRef] [PubMed]









| Behaviour | Description |
|---|---|
| Vocalisation | Signals produced by the nostrils during expiration (snorts, snores and blows). |
| Defecation/Urination | Elimination of faeces or urine. |
| High head position | Neck raised over 45 degrees to the horizontal level. |
| High tail position | Fleshy part of tail outstretched horizontally or elevated above horizontal. |
| Clinging to conspecifics | Body contact not reciprocated by the receiver. The horse is difficult to split up, inseparable from conspecifics. |
| Aggressive posture | Ears pressed caudally against the head and neck; head or kick threat. |
| Rest standing | Standing inactive in a relaxed posture, usually with head slightly lowered. The horse is standing on three or four limbs and can reposition them slightly remaining close to the original position. The head and neck can move without movement of the limbs. |
| Drowsiness | The horse is standing on three or four limbs without moving in any direction. Ears rotate laterally. |
| Play | Behavioural elements and sequences similar to serious adult fighting behaviour but of a play character performed while in motion at any gait. Play is directed at another individual, which may or may not reciprocate. |
| Mutual grooming | Grooming by gentle nipping, nuzzling or rubbing involving the muzzle and teeth while standing beside one another, usually head to shoulder or head to tail. |
| Position of ears | Ears held forward: Curiosity, alert Ears held laterally: Relaxation, drowsiness, boredom Ears pressed caudally: Aggression, frustration |
| Behavioural Traits | p-Value | Locomotor Traits | p-Value |
|---|---|---|---|
| Vocalisation | 0.0020 * | Walk | 0.0716 |
| Defecation/Urination | 0.0344 * | Trot | 0.0029 * |
| High head position | 0.0001 * | Canter | 0.0022 * |
| High tail position | 0.0002 * | Jumps | 0.0210 * |
| Clinging to conspecifics | 0.0068 * | Single steps | 0.0274 * |
| Aggressive posture | 0.0114 * | Cardiac Activity Traits | p-Value |
| Rest standing | 0.3801 | HR | 0.0002 * |
| Drowsiness | 0.1740 | RMSSD | 0.0002 * |
| Play | 0.0002 * | ||
| Mutual grooming | 0.0011 * | ||
| Ears held forward | 0.0205 * | ||
| Ears held laterally | 0.0003 * | ||
| Ears pressed caudally | 0.0015 * |
Publisher’s Note: MDPI stays neutral with regard to jurisdictional claims in published maps and institutional affiliations. |
© 2021 by the authors. Licensee MDPI, Basel, Switzerland. This article is an open access article distributed under the terms and conditions of the Creative Commons Attribution (CC BY) license (https://creativecommons.org/licenses/by/4.0/).
Share and Cite
Stachurska, A.; Wiśniewska, A.; Kędzierski, W.; Różańska-Boczula, M.; Janczarek, I. Behavioural and Physiological Changes in a Herd of Arabian Mares after the Separation of Individuals Differently Ranked within the Dominance Hierarchy. Animals 2021, 11, 2694. https://doi.org/10.3390/ani11092694
Stachurska A, Wiśniewska A, Kędzierski W, Różańska-Boczula M, Janczarek I. Behavioural and Physiological Changes in a Herd of Arabian Mares after the Separation of Individuals Differently Ranked within the Dominance Hierarchy. Animals. 2021; 11(9):2694. https://doi.org/10.3390/ani11092694
Chicago/Turabian StyleStachurska, Anna, Anna Wiśniewska, Witold Kędzierski, Monika Różańska-Boczula, and Iwona Janczarek. 2021. "Behavioural and Physiological Changes in a Herd of Arabian Mares after the Separation of Individuals Differently Ranked within the Dominance Hierarchy" Animals 11, no. 9: 2694. https://doi.org/10.3390/ani11092694
APA StyleStachurska, A., Wiśniewska, A., Kędzierski, W., Różańska-Boczula, M., & Janczarek, I. (2021). Behavioural and Physiological Changes in a Herd of Arabian Mares after the Separation of Individuals Differently Ranked within the Dominance Hierarchy. Animals, 11(9), 2694. https://doi.org/10.3390/ani11092694

