New Insights into the Hourly Manure Coverage Proportion on the Manure Belt in a Typical Layer House for Accurate Ammonia Emission Modeling
Abstract
Simple Summary
Abstract
1. Introduction
2. Materials and Methods
2.1. The Layer House and the Birds
2.2. Manure Collection
2.3. Determination of the Manure Coverage Proportion (MCP) and Area
2.4. Manure pH, Moisture Content (MC), and Lighting
3. Results and Discussion
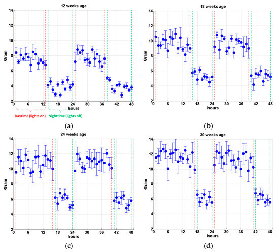
3.1. Manure Weight
3.2. Manure Coverage Proportion (MCP) and Area
4. Conclusions
- The feed to manure ratio is kept at from the laying hen 10 weeks age to 30 weeks age;
- The hourly increment of manure coverage proportion measured in different laying hen ages demonstrates similar trends and values with four distinct stages within 48 h;
- For stocking density around , the manure coverage proportion on the manure belt at the 24th hour after the most recent manure removal is about while the value is approximately at the 48th hour;
- The statistical analyses demonstrate no significant correlation between the hourly increment of manure weight and the hourly increment of manure coverage proportion on the manure belt.
Author Contributions
Funding
Institutional Review Board Statement
Data Availability Statement
Acknowledgments
Conflicts of Interest
References
- Paulot, F.; Jacob, D.J.; Pinder, R.W.; Bash, J.O.; Travis, K.; Henze, D.K. Ammonia emissions in the United States, European Union, and China derived by high-resolution inversion of ammonium wet deposition data: Interpretation with a new agricultural emissions inventory (MASAGE_NH3). J. Geophys. Res. Atmos. 2014, 119, 4343–4364. [Google Scholar] [CrossRef]
- Xu, R.T.; Pan, S.F.; Chen, J.; Chen, G.S.; Yang, J.; Dangal, S.R.S.; Shepard, J.P.; Tian, H.Q. Half-Century Ammonia Emissions from Agricultural Systems in Southern Asia: Magnitude, Spatiotemporal Patterns, and Implications for Human Health. GeoHealth 2018, 2, 40–53. [Google Scholar] [CrossRef]
- Li, D.; Tong, Q.; Shi, Z.; Zheng, W.; Wang, Y.; Li, B.; Yan, G. Effects of Cold Stress and Ammonia Concentration on Productive Performance and Egg Quality Traits of Laying Hens. Animals 2020, 10, 2252. [Google Scholar] [CrossRef]
- Rotz, C.A. Management to reduce nitrogen losses in animal production. J. Anim. Sci. 2004, 82, E119–E137. [Google Scholar]
- Swelum, A.A.; El-Saadony, M.T.; El-Hack, M.E.A.; Ghanima, M.M.A.; Shukry, M.; Alhotan, R.A.; Hussein, E.O.; Suliman, G.M.; Ba-Awadh, H.; Ammari, A.A.; et al. Ammonia emissions in poultry houses and microbial nitrification as a promising reduction strategy. Sci. Total Environ. 2021, 781, 146978. [Google Scholar] [CrossRef]
- Méda, B.; Hassouna, M.; LeComte, M.; Germain, K.; Dourmad, J.-Y.; Robin, P. Influence of season and outdoor run characteristics on excretion behaviour of organic broilers and gaseous emissions. Biosyst. Eng. 2015, 139, 35–47. [Google Scholar] [CrossRef]
- Li, Y.; Ni, J.-Q. Dynamic and 3-D spatial variations in manure characteristics in two commercial manure-belt laying hen houses. J. Hazard. Mater. 2021, 403, 123581. [Google Scholar] [CrossRef]
- Meda, B.; Hassouna, M.; Aubert, C.; Robin, P.; Dourmad, J. Influence of rearing conditions and manure management practices on ammonia and greenhouse gas emissions from poultry houses. World’s Poult. Sci. J. 2011, 67, 441–456. [Google Scholar] [CrossRef]
- Zhao, Y.; Shepherd, T.A.; Li, H.; Xin, H. Environmental assessment of three egg production systems–Part I: Monitoring system and indoor air quality. Poult. Sci. 2015, 94, 518–533. [Google Scholar] [CrossRef]
- Han, H.; Zhou, Y.; Liu, Q.; Wang, G.; Feng, J.; Zhang, M. Effects of Ammonia on Gut Microbiota and Growth Performance of Broiler Chickens. Animals 2021, 11, 1716. [Google Scholar] [CrossRef]
- Ritz, C.W.; Fairchild, B.D.; Lacy, M.P. Implications of Ammonia Production and Emissions from Commercial Poultry Facilities: A Review. J. Appl. Poult. Res. 2004, 13, 684–692. [Google Scholar] [CrossRef]
- Zhou, Y.; Zhang, M.; Liu, Q.; Feng, J. The alterations of tracheal microbiota and inflammation caused by different levels of ammonia exposure in broiler chickens. Poult. Sci. 2021, 100, 685–696. [Google Scholar] [CrossRef] [PubMed]
- Bjerg, B.; Norton, T.; Banhazi, T.; Zhang, G.; Bartzanas, T.; Liberati, P.; Cascone, G.; Lee, I.-B.; Marucci, A. Modelling of ammonia emissions from naturally ventilated livestock buildings. Part 1: Ammonia release modelling. Biosyst. Eng. 2013, 116, 232–245. [Google Scholar] [CrossRef]
- Rong, L.; Nielsen, P.V.; Zhang, G. Experimental and numerical study on effects of airflow and aqueous ammonium solution temperature on ammonia mass transfer coefficient. J. Air Waste Manag. Assoc. 2010, 60, 419–428. [Google Scholar] [CrossRef] [PubMed][Green Version]
- Rosa, E.; Mosquera, J.; Arriaga, H.; Montalvo, G.; Merino, P. Ammonia emission modelling and reduced sampling strategies in cage-based laying hen facilities. Biosyst. Eng. 2021, 204, 304–311. [Google Scholar] [CrossRef]
- Baker, J.; Battye, W.H.; Robarge, W.; Arya, S.P.; Aneja, V.P. Modeling and measurements of ammonia from poultry operations: Their emissions, transport, and deposition in the Chesapeake Bay. Sci. Total Environ. 2020, 706, 135290. [Google Scholar] [CrossRef]
- Bjerg, B.; Cascone, G.; Lee, I.B.; Bartzanas, T.; Norton, T.; Hong, S.W.; Seo, I.H.; Banhazi, T.; Liberati, P.; Marucci, A.; et al. Modelling of ammonia emissions from naturally ventilated livestock buildings. Part 3: CFD modelling. Biosyst. Eng. 2013, 116, 259–275. [Google Scholar] [CrossRef]
- Wheeler, E.F.; Casey, K.; Gates, R.S.; Xin, H.; Zajaczkowski, J.L.; Topper, P.A.; Liang, Y.; Pescatore, A.J. Ammonia Emissions from Twelve U.S. Broiler Chicken Houses. Trans. ASABE 2006, 49, 1495–1512. [Google Scholar] [CrossRef]
- Liang, W. Ammonia Emission Model for High-Rise Layer Houses. Ph.D. Thesis, Purdue University, West Lafayette, IN, USA, 2015. [Google Scholar]
- Chai, L.; Kröbel, R.; Janzen, H.H.; Beauchemin, K.A.; McGinn, S.M.; Bittman, S.; Atia, A.; Edeogu, I.; MacDonald, D.; Dong, R. A regional mass balance model based on total ammoniacal nitrogen for estimating ammonia emissions from beef cattle in Alberta Canada. Atmos. Environ. 2014, 92, 292–302. [Google Scholar] [CrossRef]
- Keener, H.M.; Zhao, L. A modified mass balance method for predicting NH3 emissions from manure N for livestock and storage facilities. Biosyst. Eng. 2008, 99, 81–87. [Google Scholar] [CrossRef]
- Li, C.; Salas, W.; Zhang, R.; Krauter, C.; Rotz, A.; Mitloehner, F. Manure-DNDC: A biogeochemical process model for quantifying greenhouse gas and ammonia emissions from livestock manure systems. Nutr. Cycl. Agroecosyst. 2012, 93, 163–200. [Google Scholar] [CrossRef]
- Pinder, R.W.; Pekney, N.J.; Davidson, C.I.; Adams, P.J. A process-based model of ammonia emissions from dairy cows: Improved temporal and spatial resolution. Atmos. Environ. 2004, 38, 1357–1365. [Google Scholar] [CrossRef]
- Tong, X.; Zhao, L.; Heber, A.J.; Ni, J.-Q. Mechanistic modelling of ammonia emission from laying hen manure at laboratory scale. Biosyst. Eng. 2020, 192, 24–41. [Google Scholar] [CrossRef]
- Costantino, A.; Fabrizio, E.; Ghiggini, A.; Bariani, M. Climate control in broiler houses: A thermal model for the calculation of the energy use and indoor environmental conditions. Energy Build. 2018, 169, 110–126. [Google Scholar] [CrossRef]
- Wang, Y.; Li, B.; Liang, C.; Zheng, W. Dynamic simulation of thermal load and energy efficiency in poultry buildings in the cold zone of China. Comput. Electron. Agric. 2020, 168, 105127. [Google Scholar] [CrossRef]
- Hamilton, J.; Negnevitsky, M.; Wang, X. Thermal analysis of a single-storey livestock barn. Adv. Mech. Eng. 2016, 8, 1–9. [Google Scholar] [CrossRef]
- Tong, X.; Zhao, L.; Heber, A.J.; Ni, J.-Q. Development of a farm-scale, quasi-mechanistic model to estimate ammonia emissions from commercial manure-belt layer houses. Biosyst. Eng. 2020, 196, 67–87. [Google Scholar] [CrossRef]
- Du, L.; Yang, C.; Dominy, R.; Yang, L.; Hu, C.; Du, H.; Li, Q.; Yu, C.; Xie, L.; Jiang, X. Computational Fluid Dynamics aided investigation and optimization of a tunnel-ventilated poultry house in China. Comput. Electron. Agric. 2019, 159, 1–15. [Google Scholar] [CrossRef]
- Du, L.; Yang, L.; Yang, C.; Dominy, R.; Hu, C.; Du, H.; Li, Q.; Yu, C.; Xie, L.; Jiang, X. Investigation of bio-aerosol dispersion in a tunnel-ventilated poultry house. Comput. Electron. Agric. 2019, 167, 105043. [Google Scholar] [CrossRef]










| Information | Notes | |
|---|---|---|
| Experiment period | 10 weeks age~30 weeks age | Measurements performed once a week |
| Measurement interval | 1 h | Starts at 5 am and lasts for 48 h (2 days) |
| Number of pp plates | 6 | To calculate the hourly average values |
| Parameters concerned | Manure weight, coverage proportion, area | The resolution of the scale is 0.1 g, and the resolution of the photographs is |
| Staff involved | 6 people | Rotating schedule |
| Week | Daylength (Hours) | Targeted Weight | Week | Daylength (Hours) | Targeted Weight |
|---|---|---|---|---|---|
| 10 | 13 | 1140 | 21 | 16 | 2130 |
| 11 | 13 | 1230 | 22 | 16 | 2220 |
| 12 | 13 | 1320 | 23 | 16 | 2300 |
| 13 | 14 | 1410 | 24 | 16 | 2380 |
| 14 | 14 | 1500 | 25 | 17 | 2460 |
| 15 | 14 | 1590 | 26 | 17 | 2540 |
| 16 | 14 | 1680 | 27 | 17 | 2630 |
| 17 | 15 | 1770 | 28 | 17 | 2700 |
| 18 | 15 | 1860 | 29 | 17 | 2770 |
| 19 | 15 | 1950 | 30 | 17 | 2840 |
| 20 | 15 | 2040 |
| Age (Week) | Feed | Average Hourly Increment of Manure Weight Measured In The Daytime per Hour per Hen) | Average Hourly Increment of Manure Weight Measured in the Nighttime per Hour per Hen) | Feed to Manure Ratio | PH | MC, % |
|---|---|---|---|---|---|---|
| 120 | ||||||
| 120 |
| Coefficient | Value | Coefficient | Value |
|---|---|---|---|
| −0.1648 | 0.2786 | ||
| 5.081 | 1.992 | ||
| −4.105 | 1.147 |
Publisher’s Note: MDPI stays neutral with regard to jurisdictional claims in published maps and institutional affiliations. |
© 2021 by the authors. Licensee MDPI, Basel, Switzerland. This article is an open access article distributed under the terms and conditions of the Creative Commons Attribution (CC BY) license (https://creativecommons.org/licenses/by/4.0/).
Share and Cite
Yang, L.; Yang, C.; Hu, C.; Yu, C.; Liu, S.; Zhu, S.; Qiu, M.; Zhu, H.; Xie, L.; Du, L. New Insights into the Hourly Manure Coverage Proportion on the Manure Belt in a Typical Layer House for Accurate Ammonia Emission Modeling. Animals 2021, 11, 2433. https://doi.org/10.3390/ani11082433
Yang L, Yang C, Hu C, Yu C, Liu S, Zhu S, Qiu M, Zhu H, Xie L, Du L. New Insights into the Hourly Manure Coverage Proportion on the Manure Belt in a Typical Layer House for Accurate Ammonia Emission Modeling. Animals. 2021; 11(8):2433. https://doi.org/10.3390/ani11082433
Chicago/Turabian StyleYang, Li, Chaowu Yang, Chenming Hu, Chunlin Yu, Siyang Liu, Shiliang Zhu, Mohan Qiu, Hongqiang Zhu, Lingzhi Xie, and Longhuan Du. 2021. "New Insights into the Hourly Manure Coverage Proportion on the Manure Belt in a Typical Layer House for Accurate Ammonia Emission Modeling" Animals 11, no. 8: 2433. https://doi.org/10.3390/ani11082433
APA StyleYang, L., Yang, C., Hu, C., Yu, C., Liu, S., Zhu, S., Qiu, M., Zhu, H., Xie, L., & Du, L. (2021). New Insights into the Hourly Manure Coverage Proportion on the Manure Belt in a Typical Layer House for Accurate Ammonia Emission Modeling. Animals, 11(8), 2433. https://doi.org/10.3390/ani11082433

