Identifying Behavioural Traits and Underlying Personality Dimensions in Domestic Ferrets (Mustela putorius furo)
Abstract
:Simple Summary
Abstract
1. Introduction
2. Materials and Methods
Statistical Analysis
3. Results
3.1. Correlations among SR Personality Factor Scales
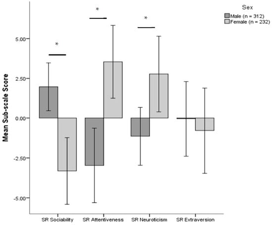
3.2. Effects of Ferret Characteristics on SR Personality Dimensions
4. Discussion
4.1. A Comparison of Ferret Personality Dimensions with Other Species’ Dimensions
4.2. Correlations Between Subscales
4.3. Effects of Ferret Characteristics on SR Personality Dimensions
4.4. Implications and Future Research
5. Conclusions
Author Contributions
Funding
Institutional Review Board Statement
Informed Consent Statement
Data Availability Statement
Acknowledgments
Conflicts of Interest
References
- Conley, J.J. The hierarchy of consistency: A review and model of longitudinal findings on adult individual differences in intelligence, personality and self-opinion. Pers. Individ Differ. 1984, 5, 11–25. [Google Scholar] [CrossRef]
- Costa, P.T.; McCrae, R.R. Four ways five factors are basic. Pers. Individ. Differ. 1992, 13, 653–665. [Google Scholar] [CrossRef]
- Phares, E.J.; Chaplin, W.F. Introduction to Personality, 4th ed.; Addison-Wesley: New York, NY, USA, 1997; pp. 201–202. [Google Scholar]
- Gosling, S.D. Personality dimensions in Spotted Hyenas (Crocuta crocuta). J. Comp. Psychol. 1998, 112, 107–118. [Google Scholar] [CrossRef] [Green Version]
- Capitanio, J.P. Personality dimensions in adult male rhesus macaques: Prediction of behaviors across time and situation. Am. J. Primatol. 1999, 47, 299–320. [Google Scholar] [CrossRef]
- Fleeson, W. Moving personality beyond the person-situation debate. Am. Psychol. Soc. 2004, 13, 83–87. [Google Scholar] [CrossRef]
- Heath-Lange, S.; Ha, J.C.; Sackett, G.P. Behavioral measurement of temperament in male nursery-raised infant macaques and baboons. Am. J. Primatol. 1999, 47, 43–50. [Google Scholar] [CrossRef]
- John, O.P.; Sristava, S. The big five trait taxonomy: History, measurement, and theoretical perspectives. In Handbook of Personality: Theory and Research; Pervin, L.A., John, O.P., Eds.; Guilford: New York, NY, USA, 1999; pp. 102–138. [Google Scholar]
- Horback, K.M.; Miller, L.J.; Kuczaj, S.A. Personality assessment in African elephants (Loxodonta africana): Comparing the temporal stability of ethological coding versus trait rating. Appl. Anim. Behav. Sci. 2013, 149, 55–62. [Google Scholar] [CrossRef]
- MacKay, J.R.D.; Haskell, M.J. Consistent individual behavioral variation: The difference between temperament, personality and behavioral syndromes. Animals 2015, 5, 455–478. [Google Scholar] [CrossRef]
- Lawrence, A.B.; Terlouw, E.M.C.; Illius, A.W. Individual differences in behavioural responses of pigs exposed to non-social and social challenges. Appl. Anim. Behav. Sci. 1991, 30, 73–86. [Google Scholar] [CrossRef]
- Taylor, K.D.; Mills, D.S. The development and assessment of temperament tests for adult companion dogs. J. Vet. Behav. Clin. Appl. Res. 2006, 1, 94–108. [Google Scholar] [CrossRef]
- Sinn, L. Factors affecting the selection of cats by adopters. J. Vet. Behav. 2016, 14, 5–9. [Google Scholar] [CrossRef]
- Gosling, S.; Bonnenburg, A.V. An integrative approach to personality research in anthrozoology: Ratings of six species of pets and their owners. Anthrozoös 1998, 11, 148–156. [Google Scholar] [CrossRef]
- Goldberg, L.R. The development of markers for the Big-Five factor structure. Psychol. Assess. 1992, 4, 26–42. [Google Scholar] [CrossRef]
- Church, R.R. Ferret-polecat domestication: Genetic, taxonomic and phylogenetic relationships. In Ferret Husbandry, Medicine & Surgery; Lewington, L.H., Ed.; Saunders Elsevier: Edinburgh, UK, 2007; p. 122. [Google Scholar]
- Driscoll, C.A.; Clutton-Brock, J.; Kitchener, A.C.; O’Brien, S.J. The taming of the cat. Sci. Am. 2009, 6, 68–75. [Google Scholar] [CrossRef]
- Delgado, M.M.; Munera, J.D.; Reevy, G.M. Human perceptions of coat color as an indicator of domestic cat personality. Anthrozoos 2012, 25, 427–440. [Google Scholar] [CrossRef]
- Schneider, L.A.; Delfabbro, P.H.; Burns, N.R. Temperament and lateralization in the domestic dog (Canis familiaris). J. Vet. Behav. Clin. Appl. Res. 2013, 8, 124–134. [Google Scholar] [CrossRef]
- Gartner, M.C. Pet personality: A review. Pers. Individ. Dif. 2015, 75, 102–113. [Google Scholar] [CrossRef]
- Goldberg, L.R. An alternative “description of personality”: The big-five factor structure. J. Pers. Soc. Psychol. 1990, 59, 1216–1229. [Google Scholar] [CrossRef] [PubMed]
- Ley, J.; Bennett, P.; Coleman, G. Personality dimensions that emerge in companion canines. Appl. Anim. Behav. Sci. 2008, 110, 305–317. [Google Scholar] [CrossRef]
- Kaiser, H.F. A second generation little jiffy. Psychometrika 1970, 35, 401–415. [Google Scholar] [CrossRef]
- Kaiser, H.F. An index of factorial simplicity. Psychometrika 1974, 39, 31–36. [Google Scholar] [CrossRef]
- Bartlett, M.S. A note on multiplying factors for various chi-squared approximations. J. R. Stat. Soc. B 1954, 16, 296–298. [Google Scholar]
- IBM Corp. IBM SPSS Statistics for Windows, Version 20.0; IBM Corp: Armonk, NY, USA, 2011. [Google Scholar]
- Tabachnick, B.G.; Fidell, L.S. Principal components and factor analysis. In Using Multivariate Statistics, 4th ed.; Tabachnick, B.G., Fidell, L.S., Eds.; Allyn and Bacon: Boston, NY, USA, 2001; pp. 582–652. [Google Scholar]
- Pallant, J. SPSS Survival Manual: A Step by Step Guide to Data Analysis Using SPSS; Allen and Unwin: Crows Nest, Austria, 2002; pp. 172–193. [Google Scholar]
- Cattell, R.B. The Scree test for the number of factors. Sociol. Meth. Res. 1966, 2, 245–276. [Google Scholar] [CrossRef]
- Horn, J.L. A rationale and test for the number of factors in factor analysis. Psychometrika 1965, 30, 179–185. [Google Scholar] [CrossRef]
- Watkins, M.W. Monte Carlo PCA for Parallel Analysis. [Software]. Ed & Psych Associates: State College, PA. Available online: http://spss.allenandunwin.com.s3-website-ap-southeast-2.amazonaws.com/further-student-resources.html#.YOd9dugzY2w (accessed on 16 August 2015).
- Nunnally, J.C. Psychometric Theory; McGraw-Hill: New York, NY, USA, 1978. [Google Scholar]
- Thurstone, L.L. Multiple-Factor Analysis; University of Chicago Press: Chicago, IL, USA, 1947; pp. 81–91. [Google Scholar]
- Bonett, D.G. Sample size requirements for testing and estimating coefficient alpha. J. Educ. Behav. Stat. 2002, 27, 335–340. [Google Scholar] [CrossRef]
- Merenda, P. Methods, plainly speaking. A guide to the proper use of factor analysis in the conduct and reporting of research: Pitfalls to avoid. Meas. Eval. Couns. Dev. 1997, 30, 156–164. [Google Scholar] [CrossRef]
- Haage, M.; Bergvall, U.A.; Maran, T.; Kiik, K.; Angerbjörn, A. Situation and context impacts the expression of personality: The influence of breeding season and test context. Behav. Process. 2013, 100, 103–109. [Google Scholar] [CrossRef] [PubMed]
- Haage, M.; Maran, T.; Bergvall, U.A.; Elmhagen, B.; Angerbjörn, A. The influence of spatiotemporal conditions and personality on survival in reintroductions—Evolutionary implications. Oecologia 2017, 183, 45–56. [Google Scholar] [CrossRef] [Green Version]
- Poole, T.B. Some behavioural differences between the European polecat, Mustela putorius, the ferret, M. furo, and their hybrids. J. Zool. 1972, 166, 25–35. [Google Scholar] [CrossRef]
- Kiseleva, N.V. Study of exploratory behavior in the European Mink (Mustela lutreola). Contemp. Probl. Ecol. 2018, 11, 661–665. [Google Scholar] [CrossRef]
- Gosling, S.D.; John, O.P. Personality dimensions in nonhuman animals: A cross-species review. Curr. Dir. Psychol. Sci. 1999, 8, 69–75. [Google Scholar] [CrossRef]
- Buss, A.H. Personality: Evolutionary Heritage and Human Distinctiveness; Erlbaum: Hillsdale, NJ, USA, 1988. [Google Scholar]
- Lee, C.M.; Ryan, J.J.; Kreiner, D.S. Personality in domestic cats. Psychol. Rep. 2007, 100, 27–29. [Google Scholar] [CrossRef] [PubMed]
- Gosling, S.D.; Kwan, V.S.Y.; John, O.P. A dog’s got personality: A cross-species comparative approach to personality judgments in dogs and humans. J. Pers. Soc. Psychol. 2003, 85, 1161–1169. [Google Scholar] [CrossRef] [PubMed] [Green Version]
- McGuire, M.T.; Raleigh, M.J.; Pollack, D.B. Personality features in vervet monkeys: The effect of sex age, social status, and group composition. Am. J. Primatol. 1994, 33, 1–13. [Google Scholar] [CrossRef] [PubMed]
- Gartner, M.C.; Powell, D. Personality assessment in snow leopards (Uncia uncia). Zoo Biol. 2012, 31, 151–165. [Google Scholar] [CrossRef] [PubMed]
- Vinke, C.M.; Schoemaker, N.J. The welfare of ferrets (Mustela putorius furo T). Appl. Anim. Behav. Sci. 2012, 139, 155–168. [Google Scholar] [CrossRef]
- King, J.E.; Figueredo, J.A. The five-factor model plus dominance in chimpanzee personality. J. Res. Pers. 1997, 31, 257–271. [Google Scholar] [CrossRef] [Green Version]
- Ley, J.M.; Bennett, P.C.; Coleman, G.J. A refinement and validation of the Monash Canine Personality Questionnaire (MCPQ). Appl. Anim. Behav. Sci. 2009, 116, 220–227. [Google Scholar] [CrossRef]
- Jones, A.C.; Gosling, S.D. Temperament and personality in dogs (Canis familiaris): A review and evaluation of past research. Appl. Anim. Behav. Sci. 2005, 95, 1–53. [Google Scholar] [CrossRef]
- McCrae, R.R.; John, O.P. An introduction to the five-factor model and its applications. J. Pers. 1992, 60, 175–215. [Google Scholar] [CrossRef]
- Ley, J.M.; Bennett, P.C. Understanding personality by understanding companion dogs. Anthrozoos 2007, 20, 113–124. [Google Scholar] [CrossRef]
- Gartner, M.C.; Weiss, A. Personality in felids: A review. Appl. Anim. Behav. Sci. 2013, 144, 1–13. [Google Scholar] [CrossRef]
- De Raad, B. The Big Five Personality Factors: The Psycholexical Approach to Personality; Hogrefe & Huber: Seattle, DC, USA, 2000; p. 128. [Google Scholar]
- Goddard, M.E.; Beilharz, R.G. A factor analysis of fearfulness in potential guide dogs. Appl. Anim. Behav. Sci. 1984, 12, 253–265. [Google Scholar] [CrossRef]
- Gartner, M.C.; Powell, D.M.; Weiss, A. Personality structure in the domestic cat (Felis silvestris catus), Scottish wildcat (Felis silvestris grampia), clouded leopard (Neofelis nebulosa), snow leopard (Panthera uncia), and African lion (Panthera leo): A comparative study. J. Comp. Psychol. 2014, 128, 414–426. [Google Scholar] [CrossRef] [PubMed]
- Goldberg, L.R. The structure of phenotypic personality traits. Am. Psychol. 1993, 48, 26–34. [Google Scholar] [CrossRef] [PubMed]
- Bennett, P.C.; Rutter, N.J.; Woodhead, J.K.; Howell, T.J. Assessment of domestic cat personality, as perceived by 416 owners, suggests six dimensions. Behav. Process. 2017, 141, 273–283. [Google Scholar] [CrossRef]
- Kubinyi, E.; Turcsán, B.; Miklósi, Á. Dog and owner demographic characteristics and dog personality trait associations. Behav. Process. 2009, 81, 392–401. [Google Scholar] [CrossRef]
- King, J.E.; Weiss, A.; Sisco, M.M. Aping humans: Age and sex effects in chimpanzee (Pan troglodytes) and human (Homo sapiens) personality. J. Comp. Psychol. 2008, 122, 418–427. [Google Scholar] [CrossRef] [Green Version]
- Bekoff, M.; Byers, J.A. Animal Play. Evolutionary, Comparative and Ecological Perspectives; Cambridge University Press: Cambridge, UK, 1998. [Google Scholar]
- Svartberg, K. A comparison of behaviour in test and in everyday life: Evidence of three consistent boldness-related personality traits in dogs. Appl. Anim. Behav. Sci. 2005, 91, 103–128. [Google Scholar] [CrossRef]
- Sinn, D.L.; Gosling, S.D.; Moltschaniwskyj, N.A. Development of shy/bold behaviour in squid: Context-specific phenotypes associated with developmental plasticity. Anim. Behav. 2008, 75, 433–442. [Google Scholar] [CrossRef]
- Budaev, S. The Dimensions of Personality in Humans and Other Animals: A Comparative and Evolutionary Perspective. Available online: http://cogprints.org/5475/1/budaev-2000-personality-manuscript-3.0b.pdf (accessed on 25 September 2016).
- Yli-Renko, M.; Pettay, J.E.; Vesakoski, O. Sex and size matters: Selection on personality in natural prey-predator interactions. Behav. Process. 2018, 148, 20–26. [Google Scholar] [CrossRef] [PubMed]
- Highfill, L.; Hanbury, D.; Kristiansen, R.; Kuczaj, S.; Watson, S. Rating vs. coding in animal personality research. Zoo Biol. 2010, 29, 509–516. [Google Scholar] [CrossRef] [PubMed]
- Kight, C.R.; David, M.; Dall, S.R. The evolution of animal personality variation. In eLS; John Wiley & Sons Ltd: Chichester, UK, 2013. [Google Scholar] [CrossRef]
- Dall, S.R.; Griffith, S.C. An empiricist guide to animal personality variation in ecology and evolution. Front. Ecol. Evol. 2014, 2, 3. [Google Scholar] [CrossRef] [Green Version]


| Characteristic | n | Percent |
|---|---|---|
| N | % | |
| Sex | ||
| Male | 603 | 58.6 |
| Female | 424 | 41.2 |
| Missing | 2 | 0.2 |
| De-sexed | ||
| Yes | 894 | 86.9 |
| No | 130 | 12.6 |
| Missing | 5 | 0.5 |
| Age | ||
| Less than 2 years | 389 | 37.8 |
| 2–6 years | 541 | 52.6 |
| More than 6 years | 92 | 8.9 |
| Unknown | 6 | 0.6 |
| Component Number and Label | ||||
|---|---|---|---|---|
| 1 | 2 | 3 | 4 | |
| Extraversion | Sociability | Attentiveness | Neuroticism | |
| Eigenvalues | 13.061 | 7.488 | 4.723 | 3.570 |
| % of variance explained | 16.014 | 10.916 | 10.614 | 9.567 |
| Cronbach’s Alpha | 0.911 | 0.639 | 0.850 | 0.696 |
| Traits analysed: Traits retained in model: | ||||
| Excitable | 0.768 | −0.073 | 0.094 | 0.034 |
| Enthusiastic | 0.764 | 0.034 | 0.228 | −0.092 |
| Playful | 0.750 | 0.109 | 0.039 | 0.028 |
| Zealous | 0.677 | −0.020 | 0.246 | −0.064 |
| Impulsive | 0.677 | −0.200 | 0.020 | 0.012 |
| Boisterous | 0.668 | −0.191 | 0.087 | −0.035 |
| Frivolous | 0.630 | 0.048 | −0.241 | −0.029 |
| Hyperactive | 0.619 | −0.275 | 0.036 | 0.150 |
| Outgoing | 0.596 | 0.326 | 0.104 | −0.303 |
| Eager | 0.590 | −0.040 | 0.318 | −0.068 |
| Extraverted | 0.588 | 0.086 | 0.194 | −0.248 |
| Inquisitive | 0.568 | 0.025 | 0.353 | −0.192 |
| Exploratory | 0.564 | 0.004 | 0.315 | −0.253 |
| Interactive | 0.550 | 0.217 | 0.148 | −0.072 |
| Nosey | 0.513 | −0.128 | 0.189 | −0.074 |
| Compulsive | 0.484 | −0.233 | 0.071 | 0.072 |
| Interested | 0.479 | 0.150 | 0.378 | −0.062 |
| Gentle | −0.105 | 0.788 | 0.005 | −0.132 |
| Friendly | 0.188 | 0.697 | −0.008 | −0.270 |
| Docile | −0.144 | 0.688 | 0.019 | 0.009 |
| Tame | 0.074 | 0.639 | 0.091 | −0.351 |
| Calm | −0.291 | 0.638 | 0.143 | −0.172 |
| Aggressive | 0.007 | −0.591 | 0.150 | 0.170 |
| Relaxed | 0.005 | 0.577 | 0.080 | −0.375 |
| Obedient | −0.040 | 0.574 | 0.204 | 0.138 |
| Submissive | −0.026 | 0.531 | −0.221 | 0.212 |
| Stubborn | 0.278 | −0.471 | 0.282 | 0.018 |
| Affiliative | 0.174 | 0.437 | 0.192 | 0.005 |
| Perceptive | 0.090 | 0.155 | 0.754 | 0.054 |
| Intelligent | 0.095 | 0.246 | 0.707 | 0.012 |
| Focused | 0.125 | 0.012 | 0.656 | 0.047 |
| Analytical | 0.013 | 0.103 | 0.655 | 0.103 |
| Purposeful | 0.278 | −0.068 | 0.639 | −0.062 |
| Determined | 0.348 | −0.246 | 0.596 | −0.150 |
| Attentive | 0.099 | 0.174 | 0.591 | 0.115 |
| Assertive | 0.323 | −0.252 | 0.472 | −0.190 |
| Persistent | 0.357 | −0.282 | 0.468 | −0.037 |
| Independent | 0.073 | −0.287 | 0.465 | −0.138 |
| Alert | 0.334 | −0.044 | 0.445 | 0.225 |
| Scared | −0.036 | −0.153 | −0.077 | 0.741 |
| Wary | −0.048 | −0.129 | 0.112 | 0.731 |
| Fearful | −0.103 | −0.041 | −0.070 | 0.712 |
| Anxious | −0.071 | −0.139 | 0.004 | 0.694 |
| Skittish | 0.027 | −0.122 | −0.094 | 0.694 |
| Carefree | 0.342 | 0.210 | 0.128 | −0.571 |
| Sensitive | 0.013 | 0.179 | 0.092 | 0.537 |
| Cautious | −0.297 | 0.230 | 0.229 | 0.494 |
| Defensive | 0.075 | −0.294 | 0.233 | 0.473 |
| Traits removed from model | ||||
| Bold | 0.505 | 0.330 | −0.120 | −0.428 |
| Sociable | 0.483 | −0.043 | 0.406 | −0.076 |
| Hardy | 0.480 | 0.460 | −0.098 | −0.338 |
| Vocal | 0.395 | 0.079 | 0.023 | 0.148 |
| Strong | 0.372 | 0.316 | −0.031 | −0.117 |
| Erratic | 0.326 | −0.096 | −0.158 | 0.106 |
| Trainable | 0.057 | 0.438 | 0.436 | 0.104 |
| Protective | 0.051 | 0.380 | 0.034 | 0.249 |
| Versatile | 0.341 | 0.350 | 0.219 | −0.202 |
| Communicative | 0.446 | 0.077 | 0.460 | −0.267 |
| Consistent | −0.031 | 0.298 | 0.329 | −0.156 |
| Emotional | 0.085 | 0.304 | 0.324 | 0.302 |
| Predictable | −0.064 | 0.180 | 0.259 | −0.072 |
| High-strung | 0.134 | 0.092 | −0.424 | 0.558 |
| Confident | 0.348 | 0.423 | 0.022 | −0.546 |
| Self-assured | 0.250 | 0.435 | 0.079 | −0.533 |
| Dominant | 0.182 | −0.441 | 0.439 | −0.080 |
| Dependent | 0.037 | 0.311 | −0.150 | 0.326 |
| Opportunistic | 0.520 | −0.127 | 0.402 | −0.072 |
| 1. | 2. | 3. | 4. | M | S.D | ||
|---|---|---|---|---|---|---|---|
| r p n | 1.00 834 | 65.84 | 20.01 | |||
| r p n | 0.02 0.64 818 | 1.00 848 | 58.02 | 15.42 | ||
| r p n | 0.48 ** 0.00 805 | 0.09 ** 0.01 823 | 1.00 844 | 70.66 | 18.88 | |
| r p n | −0.08 * 0.02 790 | −0.09 * 0.01 791 | 0.10 ** 0.01 785 | 1.00 826 | 32.61 | 17.15 |
Publisher’s Note: MDPI stays neutral with regard to jurisdictional claims in published maps and institutional affiliations. |
© 2021 by the authors. Licensee MDPI, Basel, Switzerland. This article is an open access article distributed under the terms and conditions of the Creative Commons Attribution (CC BY) license (https://creativecommons.org/licenses/by/4.0/).
Share and Cite
Talbot, S.; Freire, R.; Wassens, S. Identifying Behavioural Traits and Underlying Personality Dimensions in Domestic Ferrets (Mustela putorius furo). Animals 2021, 11, 2173. https://doi.org/10.3390/ani11082173
Talbot S, Freire R, Wassens S. Identifying Behavioural Traits and Underlying Personality Dimensions in Domestic Ferrets (Mustela putorius furo). Animals. 2021; 11(8):2173. https://doi.org/10.3390/ani11082173
Chicago/Turabian StyleTalbot, Sarah, Rafael Freire, and Skye Wassens. 2021. "Identifying Behavioural Traits and Underlying Personality Dimensions in Domestic Ferrets (Mustela putorius furo)" Animals 11, no. 8: 2173. https://doi.org/10.3390/ani11082173
APA StyleTalbot, S., Freire, R., & Wassens, S. (2021). Identifying Behavioural Traits and Underlying Personality Dimensions in Domestic Ferrets (Mustela putorius furo). Animals, 11(8), 2173. https://doi.org/10.3390/ani11082173
