A Comparative Study on Two Territorial Fishes: The Influence of Physical Enrichment on Aggressive Behavior
Abstract
:Simple Summary
Abstract
1. Introduction
2. Materials and Methods
2.1. Animals and Experimental Design
2.2. Behavioral Observations
2.3. Data Analysis
3. Results
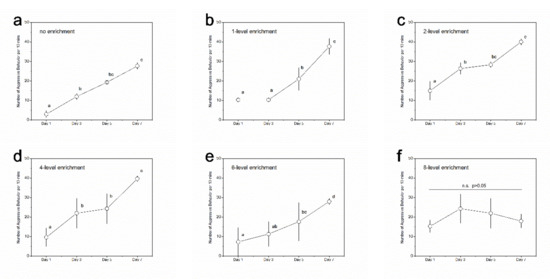
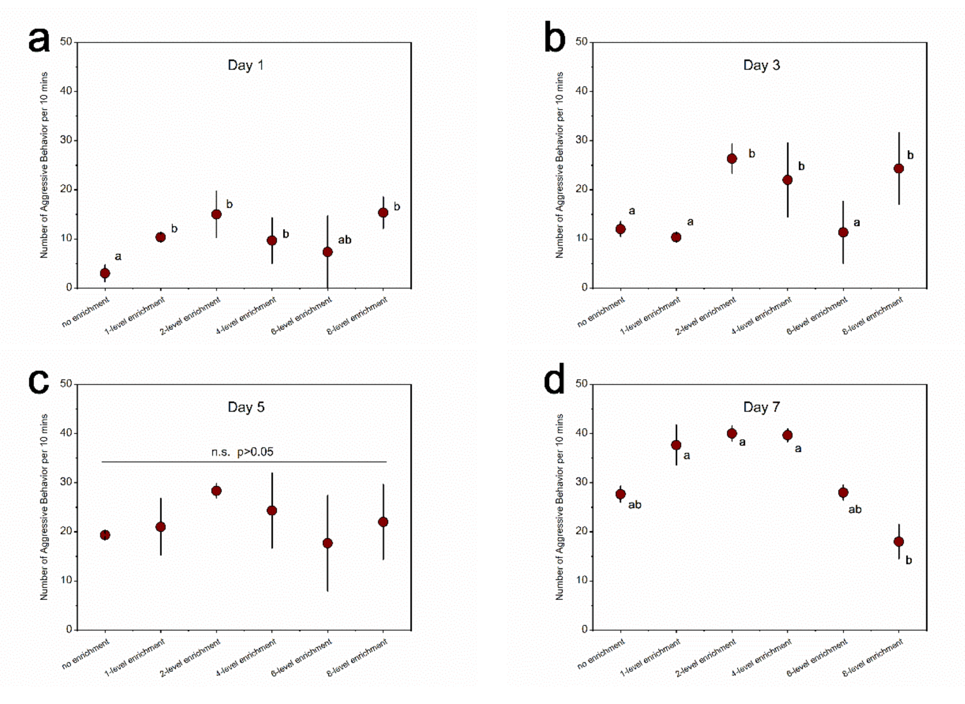
3.1. Enrichment Effect on the Aggressive Behavior in Black Rockfish
3.2. Enrichment Effect on the Aggressive Behavior in Fat Greenling
4. Discussion
5. Conclusions
Supplementary Materials
Author Contributions
Funding
Institutional Review Board Statement
Data Availability Statement
Acknowledgments
Conflicts of Interest
References
- Adler, P.B.; Smull, D.; Beard, K.H.; Choi, R.T.; Furniss, T.; Kulmatiski, A.; Meiners, J.M.; Tredennick, A.T.; Veblen, K.E. Competition and coexistence in plant communities: Intraspecific competition is stronger than interspecific competition. Ecol. Lett. 2018, 21, 1319–1329. [Google Scholar] [CrossRef] [Green Version]
- Araújo, M.S.; Guimaraes, P.R., Jr.; Svanbäck, R.; Pinheiro, A.; Guimarães, P.; Reis, S.F.D.; Bolnick, D.I. Network analysis reveals contrasting effects of intraspecific competition on individual vs. population diets. Ecology 2008, 89, 1981–1993. [Google Scholar] [CrossRef] [Green Version]
- Svanbäck, R.; Bolnick, D.I. Intraspecific competition drives increased resource use diversity within a natural population. Proc. R. Soc. B 2007, 274, 839–844. [Google Scholar] [CrossRef]
- Bolnick, D.I. Intraspecific competition favours niche width expansion in Drosophila melanogaster. Nature 2001, 410, 463–466. [Google Scholar] [CrossRef]
- Ashley, P.J. Fish welfare: Current issues in aquaculture. Appl. Anim. Behav. Sci. 2007, 104, 199–235. [Google Scholar] [CrossRef]
- Huntingford, F.A.; Adams, C.; Braithwaite, V.A.; Kadri, S.; Pottinger, T.G.; Sandøe, P.; Turnbull, J.F. Current issues in fish welfare. J. Fish Biol. 2006, 68, 332–372. [Google Scholar] [CrossRef] [Green Version]
- Martins, C.I.; Galhardo, L.; Noble, C.; Damsgård, B.; Spedicato, M.T.; Zupa, W.; Beauchaud, M.; Kulczykowska, E.; Massabuau, J.; Carter, T. Behavioural indicators of welfare in farmed fish. Fish Physiol. Biochem. 2012, 38, 17–41. [Google Scholar] [CrossRef] [PubMed] [Green Version]
- Arechavala-Lopez, P.; Diaz-Gil, C.; Saraiva, J.L.; Moranta, D.; Castanheira, M.F.; Nunez-Velazquez, S.; Ledesma-Corvi, S.; Mora-Ruiz, M.R.; Grau, A. Effects of structural environmental enrichment on welfare of juvenile seabream (Spares aurata). Aquac. Rep. 2019, 15, 100224. [Google Scholar] [CrossRef]
- Näslund, J.; Johnsson, J.I. Environmental enrichment for fish in captive environments: Effects of physical structures and substrates. Fish Fish. 2014, 17, 1–30. [Google Scholar] [CrossRef]
- Xi, D.; Zhang, X.; Lü, H.; Zhang, Z. Cannibalism in juvenile black rockfish, Sebastes schlegelii (Hilgendorf, 1880), reared under controlled conditions. Aquaculture 2017, 479, 682–689. [Google Scholar] [CrossRef]
- Zhang, Z.; Bai, Q.; Xu, X.; Guo, H.; Zhang, X. Effects of environmental enrichment on the welfare of juvenile black rockfish Sebastes schlegelii: Growth, behavior and physiology. Aquaculture 2020, 518, 734782. [Google Scholar] [CrossRef]
- Bonga, S.E.W. The stress response in fish. Physiol. Rev. 1997, 77, 591–625. [Google Scholar] [CrossRef]
- Galhardo, L.; Oliveira, R.F. Psychological stress and welfare in fish. Annu. Rev. Biomed. Sci. 2009, 11, 1–20. [Google Scholar]
- Hvas, M.; Folkedal, O.; Oppedal, F. Fish welfare in offshore salmon aquaculture. Rev. Aquacult. 2020, 13, 836–852. [Google Scholar] [CrossRef]
- Kristiansen, T.S.; Fernö, A.; Pavlidis, M.A.; van de Vis, H. The Welfare of Fish, 1st ed.; Springer: Cham, Switzerland, 2020; pp. 1–515. [Google Scholar]
- Gerber, B.; Stamer, A.; Stadtlander, T. Environmental Enrichment and Its Effects on Welfare in Fish, 1st ed.; FiBL: Frick, Switzerland, 2015; pp. 1–74. [Google Scholar]
- Young, R.J.; de Azevedo, C.S.; Cipreste, C.F. Zoo Animal Learning and Training, 1st ed.; Wiley-Blackwell: Hoboken, NJ, USA, 2020; pp. 101–118. [Google Scholar]
- Johnsson, J.I.; Brockmark, S.; Näslund, J. Environmental effects on behavioural development consequences for fitness of captive-reared fishes in the wild. J. Fish Biol. 2014, 85, 1946–1971. [Google Scholar] [CrossRef] [PubMed]
- Bilhete, C.; Grant, J.W.A. Short-term costs and benefits of habitat complexity for a territorial fish. Ethology 2016, 122, 151–157. [Google Scholar] [CrossRef]
- Kadry, V.O.; Barreto, R.E. Environmental enrichment reduces aggression of pearl cichlid, Geophagus brasiliensis, during resident-intruder interactions. Neotrop. Ichthyol. 2010, 8, 329–332. [Google Scholar] [CrossRef] [Green Version]
- Torrezani, C.S.; Pinho-Neto, C.F.; Miyai, C.A.; Sanches, F.H.C.; Barreto, R.E. Structural enrichment reduces aggression in Tilapia rendalli. Mar. Freshw. Behav. Phy. 2013, 46, 183–190. [Google Scholar] [CrossRef]
- Barley, A.J.; Coleman, R.M. Habitat structure directly affects aggression in convict cichlids Archocentrus nigrofasciatus. Curr. Zool. 2010, 56, 52–56. [Google Scholar] [CrossRef]
- Bhat, A.; Greulich, M.M.; Martins, E.P. Behavioral plasticity in response to environmental manipulation among zebrafish (Danio rerio) populations. PLoS ONE 2015, 10, e125097. [Google Scholar] [CrossRef] [PubMed]
- Kochhann, D.; Val, A.L. Social hierarchy and resting metabolic rate in the dwarf cichlid Apistogramma agassizii: The role of habitat enrichment. Hydrobiologia 2017, 789, 123–131. [Google Scholar] [CrossRef]
- Barreto, R.E.; Carvalho, G.G.A.; Volpato, G.L. The aggressive behavior of Nile tilapia introduced into novel environments with variation in enrichment. Zoology 2011, 114, 53–57. [Google Scholar] [CrossRef] [PubMed]
- Kemp, P.S.; Armstrong, J.D.; Gilvear, D.J. Behavioural responses of juvenile Atlantic salmon (Salmo salar) to presence of boulders. River Res. Appl. 2005, 21, 1053–1060. [Google Scholar] [CrossRef]
- Lachance, A.; Dutil, J.; Larocque, R.; Daigle, G. Shelter use and behaviour of juvenile Spotted Wolffish (Anarhichas minor) in an experimental context. Environ. Biol. Fish. 2010, 88, 207–215. [Google Scholar] [CrossRef]
- Hoelzer, G. The effect of early experience on aggression in two territorial scorpaenid fishes. Environ. Biol. Fish. 1987, 19, 183–194. [Google Scholar] [CrossRef]
- Zhang, Z.; Fu, Y.; Guo, H.; Zhang, X. Effect of environmental enrichment on the stress response of juvenile black rockfish Sebastes schlegelii. Aquaculture 2021, 533, 736088. [Google Scholar] [CrossRef]
- Zhang, Z.; Zhang, X.; Li, Z.; Zhang, X. Effects of different levels of environmental enrichment on the sheltering behaviors, brain development and cortisol levels of black rockfish Sebastes schlegelii. Appl. Anim. Behav. Sci. 2019, 218, 104825. [Google Scholar] [CrossRef]
- Hu, F.; Pan, L.; Gao, F.; Jian, Y.; Wang, X.; Li, L.; Zhang, S.; Guo, W. Effect of temperature on incubation period and hatching success of fat greenling (Hexagrammos otakii, Jordan & Starks) eggs. Aquac. Res. 2017, 48, 361–365. [Google Scholar]
- Diao, J.; Liu, H.; Hu, F.; Li, L.; Wang, X.; Gai, C.; Yu, X.; Fan, Y.; Xu, L.; Ye, H. Transcriptome analysis of immune response in fat greenling (Hexagrammos otakii) against Vibrio harveyi infection. Fish Shellfish Immun. 2019, 84, 937–947. [Google Scholar] [CrossRef]
- Xu, X.; Zhang, Z.; Guo, H.; Qin, J.; Zhang, X. Changes in aggressive behavior, cortisol and brain monoamines during the formation of social hierarchy in black rockfish (Sebastes schlegelii). Animals 2020, 10, 2357. [Google Scholar] [CrossRef]
- Xu, X.; Guo, H.; Zhang, Z.; Wang, Y.; Qin, J.; Zhang, X. Impact of pre-aggressive experience on behavior and physiology of black rockfish (Sebastes schlegelii). Aquaculture 2021, 536, 736416. [Google Scholar] [CrossRef]
- Näslund, J.; Rosengren, M.; Del Villar, D.; Gansel, L.; Norrgård, J.R.; Persson, L.; Winkowski, J.J.; Kvingedal, E. Hatchery tank enrichment affects cortisol levels and shelter-seeking in Atlantic salmon (Salmo salar). Can. J. Fish. Aquat. Sci. 2013, 70, 585–590. [Google Scholar] [CrossRef] [Green Version]
- Thore, E.S.J.; Brendonck, L.; Pinceel, T. Conspecific density and environmental complexity impact behaviour of turquoise killifish (Nothobranchius furzeri). J. Fish Biol. 2020, 97, 1448–1461. [Google Scholar] [CrossRef]
- Mikheev, V.N.; Pasternak, A.F.; Tischler, G.; Wanzenböck, J. Contestable shelters provoke aggression among 0+ perch, Perca fluviatilis. Environ. Biol. Fish. 2005, 73, 227–231. [Google Scholar] [CrossRef]
- Heuschele, J.; Salminen, T.; Candolin, U. Habitat change influences mate search behaviour in three-spined sticklebacks. Anim. Behav. 2012, 83, 1505–1510. [Google Scholar] [CrossRef]
- Myhre, L.C.; Forsgren, E.; Amundsen, T. Effects of habitat complexity on mating behavior and mating success in a marine fish. Behav. Ecol. 2013, 24, 553–563. [Google Scholar] [CrossRef]
- Lee, J.S.; Berejikian, B.A. Structural complexity in relation to the habitat preferences, territoriality, and hatchery rearing of juvenile China rockfish (Sebastes nebulosus). Environ. Biol. Fish. 2009, 84, 411–419. [Google Scholar] [CrossRef]
- Utne Palm, A.C.; Hart, P.J. The effects of familiarity on competitive interactions between threespined sticklebacks. Oikos 2000, 91, 225–232. [Google Scholar] [CrossRef]
- Závorka, L.; Näslund, J.; Aldvén, D.; Höjesjö, J.; Johnsson, J.I. Effects of familiarity and population density on competitive interactions and growth: An experimental study on a territorial salmonid fish. Ethology 2015, 121, 1202–1211. [Google Scholar] [CrossRef]
- Wilkes, L.; Owen, S.F.; Readman, G.D.; Sloman, K.A.; Wilson, R.W. Does structural enrichment for toxicology studies improve zebrafish welfare? Appl. Anim. Behav. Sci. 2012, 139, 143–150. [Google Scholar] [CrossRef]






Publisher’s Note: MDPI stays neutral with regard to jurisdictional claims in published maps and institutional affiliations. |
© 2021 by the authors. Licensee MDPI, Basel, Switzerland. This article is an open access article distributed under the terms and conditions of the Creative Commons Attribution (CC BY) license (https://creativecommons.org/licenses/by/4.0/).
Share and Cite
Zhang, Z.; Fu, Y.; Zhang, Z.; Zhang, X.; Chen, S. A Comparative Study on Two Territorial Fishes: The Influence of Physical Enrichment on Aggressive Behavior. Animals 2021, 11, 1868. https://doi.org/10.3390/ani11071868
Zhang Z, Fu Y, Zhang Z, Zhang X, Chen S. A Comparative Study on Two Territorial Fishes: The Influence of Physical Enrichment on Aggressive Behavior. Animals. 2021; 11(7):1868. https://doi.org/10.3390/ani11071868
Chicago/Turabian StyleZhang, Zonghang, Yiqiu Fu, Zhen Zhang, Xiumei Zhang, and Shengcan Chen. 2021. "A Comparative Study on Two Territorial Fishes: The Influence of Physical Enrichment on Aggressive Behavior" Animals 11, no. 7: 1868. https://doi.org/10.3390/ani11071868
APA StyleZhang, Z., Fu, Y., Zhang, Z., Zhang, X., & Chen, S. (2021). A Comparative Study on Two Territorial Fishes: The Influence of Physical Enrichment on Aggressive Behavior. Animals, 11(7), 1868. https://doi.org/10.3390/ani11071868

