Potential Benefits to Dairy Cow Welfare of Using a Ceftiofur–Ketoprofen Combination Drug for the Treatment of Inflammatory Disease Associated with Pyrexia: A Field Clinical Trial on Acute Puerperal Metritis
Abstract
Simple Summary
Abstract
1. Introduction
2. Materials and Methods
2.1. Study Sample
2.2. Study Design and Data Collection
2.3. Sample Description and Data Analysis
3. Results
3.1. Physiological Parameters
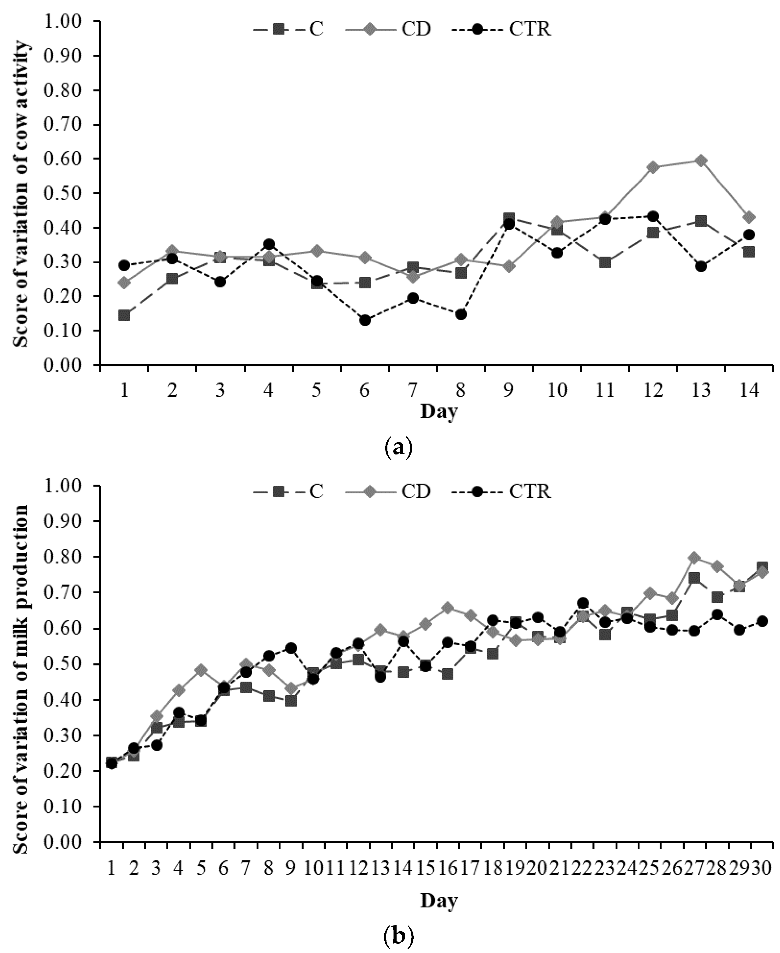
3.2. Activity and Milk Production
3.3. Fertility Data
4. Discussion
5. Conclusions
Author Contributions
Funding
Institutional Review Board Statement
Data Availability Statement
Acknowledgments
Conflicts of Interest
References
- LeBlanc, S.J. Postpartum uterine disease and dairy herd reproductive performance: A review. Vet. J. 2008, 176, 102–114. [Google Scholar] [CrossRef]
- Földi, J.; Kulcsár, M.; Pécsi, A.; Huyghe, B.; de Sa, C.; Lohuis, J.A.C.M.; Cox, P.; Huszenicza, G. Bacterial complications of postpartum uterine involution in cattle. Anim. Reprod. Sci. 2006, 96, 265–281. [Google Scholar] [CrossRef]
- Sheldon, I.M.; Lewis, G.S.; LeBlanc, S.; Gilbert, R.O. Defining postpartum uterine disease in cattle. Theriogenology 2006, 65, 1516–1530. [Google Scholar] [CrossRef]
- Chenault, J.R.; McAllister, J.F.; Chester, S.T.; Dame, K.J.; Kausche, F.M.; Robb, E.J. Efficacy of ceftiofur hydrochloride sterile suspension administered parenterally for the treatment of acute postpartum metritis in dairy cows. J. Am. Vet. Med. Assoc. 2004, 224, 1634–1639. [Google Scholar] [CrossRef]
- Haimerl, P.; Heuwieser, W. Invited review: Antibiotic treatment of metritis in dairy cows: A systematic approach. J. Dairy Sci. 2014, 97, 6649–6661. [Google Scholar] [CrossRef] [PubMed]
- Drillich, M.; Beetz, O.; Pfützner, A.; Sabin, M.; Sabin, H.J.; Kutzer, P.; Nattermann, H.; Heuwieser, W. Evaluation of a systemic antibiotic treatment of toxic puerperal metritis in dairy cows. J. Dairy Sci. 2001, 84, 2010–2017. [Google Scholar] [CrossRef]
- Galvão, K.N.; Santos, N.R.; Galvão, J.S.; Gilbert, R.O. Association between endometritis and endometrial cytokine expression in postpartum Holstein cows. Theriogenology 2011, 76, 290–299. [Google Scholar] [CrossRef] [PubMed]
- Stojkov, J.; von Keyserlingk, M.A.G.; Marchant-Forde, J.N.; Weary, D.M. Assessment of visceral pain associated with metritis in dairy cows. J. Dairy Sci. 2015, 98, 5352–5361. [Google Scholar] [CrossRef]
- Wittrock, J.M.; Proudfoot, K.L.; Weary, D.M.; von Keyserlingk, M.A.G. Short communication: Metritis affects milk production and cull rate of Holstein multiparous and primiparous dairy cows differently. J. Dairy Sci. 2011, 94, 2408–2412. [Google Scholar] [CrossRef]
- Liang, D.; Arnold, L.M.; Stowe, C.J.; Harmon, R.J.; Bewley, J.M. Estimating US dairy clinical disease costs with a stochastic simulation model. J. Dairy Sci. 2017, 100, 1472–1486. [Google Scholar] [CrossRef]
- Zhou, C.; Boucher, J.F.; Dame, K.J.; Moreira, M.; Graham, R.; Nantel, J.; Zuidhof, S.; Arfi, L.; Flores, R.; Neubauer, G.; et al. Multilocation trial of ceftiofur for treatment of postpartum cows with fever. J. Am. Vet. Med. Assoc. 2001, 219, 805–808. [Google Scholar] [CrossRef]
- WHO (World Health Organization). Critically Important Antimicrobials for Human Medicine—6th Revision. 2018. Available online: https://www.who.int/foodsafety/areas_work/antimicrobial-resistance/cia/en (accessed on 10 November 2020).
- WHO (World Health Organization). WHO Guidelines on Use of Medically Important Antimicrobials in Food-Producing Animals. Available online: https://www.who.int/foodsafety/areas_work/antimicrobial-resistance/cia_guidelines/en (accessed on 10 November 2020).
- OIE (World Organisation for Animal Health). OIE List of Antimicrobial Agents of Veterinary Importance. Available online: https://www.oie.int/scientific-expertise/veterinary-products/antimicrobials (accessed on 10 November 2020).
- Pohl, A.; Bertulat, S.; Borchardt, S.; Burfeind, O.; Heuwieser, W. Randomized, controlled clinical trial on the efficacy of nonsteroidal antiinflammatory drugs for the treatment of acute puerperal metritis in dairy cows. J. Dairy Sci. 2016, 99, 1–9. [Google Scholar] [CrossRef]
- EMEA (The European Agency for the Evaluation of Medicinal Products)—Veterinary Medicines Evaluation Unit “Committee for Veterinary Medicinal Products—Ketoprofen—Summary Report”. Available online: Ema.europa.eu/en/documents/mrl-report/ketoprofen-summary-report-committee-veterinary-medicinal-products_en.pdf (accessed on 10 November 2020).
- Decreto n. 127/2014 Autorizzazione all’immissione in commercio del medicinale per uso veterinario «Curacef Duo, 50 mg/ml/ 150 mg/ml, sospensione iniettabile per bovini». Gazz. Uff. 2014, 294, 25. Available online: https://www.gazzettaufficiale.it/atto/serie_generale/caricaDettaglioAtto/originario?atto.dataPubblicazioneGazzetta=2014-12-19&atto.codiceRedazionale=14A09709&elenco30giorni=false (accessed on 10 April 2021).
- Smith, B.I.; Donovan, G.A.; Risco, C.; Littell, R.; Young, C.; Stanker, L.H.; Elliott, J. Comparison of various antibiotic treatments for cows diagnosed with toxic puerperal metritis. J. Dairy Sci. 1998, 81, 1555–1562. [Google Scholar] [CrossRef]
- Williams, E.J.; Fischer, D.P.; Pfeiffer, D.U.; England, G.C.W.; Noakes, D.E.; Dobson, H.; Sheldon, I.M. Clinical evaluation of postpartum vaginal mucus reflects uterine bacterial infection and the immune response in cattle. Theriogenology 2005, 63, 102–117. [Google Scholar] [CrossRef]
- Huzzey, J.M.; Duffield, T.F.; LeBlanc, S.J.; Veira, D.M.; Weary, D.M.; von Keyserlingk, M.A.G. Short communication: Haptoglobin as an early indicator of metritis. J. Dairy Sci. 2009, 92, 621–625. [Google Scholar] [CrossRef]
- Khoshvaghti, A.; Nazifi, S.; Vafafar, A.; Gheisari, H.R. Evaluation of serum and milk haptoglobin in some inflammatory diseases of cattle. Int. J. Vet. Res. 2009, 3, 31–36. [Google Scholar]
- Petersen, H.H.; Nielsen, J.P.; Mikael, P.; Heegaard, H. Application of acute phase protein measurements in veterinary clinical chemistry. Vet. Res 2004, 35, 163–187. [Google Scholar] [CrossRef] [PubMed]
- Cook, C.J.; Mellor, D.J.; Harris, P.J.; Ingram, J.R.; Matthews, L.R. Hands-on and hands-off measurement of stress. In The Biology of Animal Stress: Basic Principles and Implications for Animal Welfare; Moberg, G.P., Mench, J.R., Eds.; CABI Publishing: New York, NY, USA, 2009; pp. 123–146. [Google Scholar]
- Benzaquen, M.E.; Risco, C.A.; Archbald, L.F.; Melendez, P.; Thatcher, M.J.; Thatcher, W.W. Rectal temperature, calving-related factors, and the incidence of puerperal metritis in postpartum dairy cows. J. Dairy Sci. 2007, 90, 2804–2814. [Google Scholar] [CrossRef] [PubMed]
- Steensels, M.; Maltz, E.; Bahr, C.; Berckmans, D.; Antler, A.; Halachmi, I. Towards practical application of sensors for monitoring animal health; design and validation of a model to detect ketosis. J. Dairy Res. 2017, 84, 139–145. [Google Scholar] [CrossRef] [PubMed]
- Sannmann, I.; Arlt, S.; Heuwieser, W. A critical evaluation of diagnostic methods used to identify dairy cows with acute post-partum metritis in the current literature. J. Dairy Res. 2012, 79, 436–444. [Google Scholar] [CrossRef] [PubMed]
- Schmitt, E.J.; Boucher, J.F.; Chris, A.; den Eede, V.; Chenault, J.R.; Van Oye, S.N.; Maes, V.J. Comparison of clinical efficacy of ceftiofur to oxytetracycline for treatment of acute puerperal metritis in cows. In Proceedings of the Thirty-Fourth Annual Conference of the American Association of Bovine Practitioners, Vancouver, BC, Canada, 13–15 September 2001; p. 9. [Google Scholar]
- Schönfelder, A.; Schrödl, W.; Krüger, M.; Richter, A.; Sobiraj, A. The change of acute phase protein haptoglobin in cattle during spontaneous labor and Caesarean section with or without torsio uteri intrapartum. Berl. Munch. Tierarztl. Wochenschr. 2005, 118, 240–246. [Google Scholar] [PubMed]
- Drillich, M.; Voigt, D.; Forderung, D.; Heuwieser, W. Treatment of Acute Puerperal Metritis with Flunixin Meglumine in Addition to Antibiotic Treatment. J. Dairy Sci. 2007, 90, 3758–3763. [Google Scholar] [CrossRef]
- Palme, R. Monitoring stress hormone metabolites as a useful, non-invasive tool for welfare assessment in farm animals. Anim. Welf. 2012, 21, 331–337. [Google Scholar] [CrossRef]
- Comin, A.; Peric, T.; Corazzin, M.; Veronesi, M.C.; Meloni, T.; Zufferli, V.; Cornacchia, G.; Prandi, A. Hair cortisol as a marker of hypothalamic-pituitary-adrenal axis activation in Friesian dairy cows clinically or physiologically compromised. Livest. Sci. 2013, 152, 36–41. [Google Scholar] [CrossRef]
- Barragan, A.A.; Piñeiro, J.M.; Schuenemann, G.M.; Rajala-Schultz, P.J.; Sanders, D.E.; Lakritz, J.; Bas, S. Assessment of daily activity patterns and biomarkers of pain, inflammation, and stress in lactating dairy cows diagnosed with clinical metritis. J. Dairy Sci. 2018, 101, 8248–8258. [Google Scholar] [CrossRef]
- Stangaferro, M.L.; Wijma, R.; Caixeta, L.S.; Al-Abri, M.A.; Giordano, J.O. Use of rumination and activity monitoring for the identification of dairy cows with health disorders: Part I. Metabolic and digestive disorders. J. Dairy Sci. 2016, 99, 7395–7410. [Google Scholar] [CrossRef] [PubMed]
- Kaufmann, T.B.; Westermann, S.; Drillich, M.; Plöntzke, J.; Heuwieser, W. Systemic antibiotic treatment of clinical endometritis in dairy cows with ceftiofur or two doses of cloprostenol in a 14-d interval. Anim. Reprod. Sci. 2010, 121, 55–62. [Google Scholar] [CrossRef] [PubMed]
- Giuliodori, M.J.; Magnasco, R.P.; Becu-Villalobos, D.; Lacau-Mengido, I.M.; Risco, C.A.; De la Sota, R.L. Metritis in dairy cows: Risk factors and reproductive performance. J. Dairy Sci. 2013, 96, 3621–3631. [Google Scholar] [CrossRef]
- Inchaisri, C.; Jorritsma, R.; Vos, P.L.A.M.; van der Weijden, G.C.; Hogeveen, H. Economic consequences of reproductive performance in dairy cattle. Theriogenology 2010, 74, 835–846. [Google Scholar] [CrossRef]





| Mean ± SD | Median | Min | Max | p-Value | |
|---|---|---|---|---|---|
| Services per cow (n) | |||||
| CD | 1.15 ± 0.67 | 1.0 | 0 | 3 | 0.240 |
| C | 1.50 ± 0.83 | 1.5 | 0 | 3 | |
| CTR | 1.30 ± 0.66 | 1.0 | 0 | 3 | |
| Services per pregnancy (n) | |||||
| CD | 1.29 ± 0.61 | 1.0 | 1 | 3 | 0.959 |
| C | 1.38 ± 0.74 | 1.0 | 1 | 3 | |
| CTR | 1.31 ± 0.63 | 1.0 | 1 | 3 |
| CD and C vs. CTR | CD vs. C | ||||||
|---|---|---|---|---|---|---|---|
| Pregnancy (DIM) 1 | LSM ± SE | HR | 95% CI | p | HR | 95% CI | p |
| CD | 92.2 ± 5.2 | 1.10 | 0.52–2.34 | ns | 2.75 | 1.14–6.67 | * |
| C | 106.1 ± 4.5 | 0.41 | 0.17–0.99 | † | 1.00 | – | |
| CTR | 87.4 ± 4.0 | 1.00 | – | ||||
Publisher’s Note: MDPI stays neutral with regard to jurisdictional claims in published maps and institutional affiliations. |
© 2021 by the authors. Licensee MDPI, Basel, Switzerland. This article is an open access article distributed under the terms and conditions of the Creative Commons Attribution (CC BY) license (https://creativecommons.org/licenses/by/4.0/).
Share and Cite
Lora, I.; Massignani, M.; Stefani, A.; Gottardo, F. Potential Benefits to Dairy Cow Welfare of Using a Ceftiofur–Ketoprofen Combination Drug for the Treatment of Inflammatory Disease Associated with Pyrexia: A Field Clinical Trial on Acute Puerperal Metritis. Animals 2021, 11, 1597. https://doi.org/10.3390/ani11061597
Lora I, Massignani M, Stefani A, Gottardo F. Potential Benefits to Dairy Cow Welfare of Using a Ceftiofur–Ketoprofen Combination Drug for the Treatment of Inflammatory Disease Associated with Pyrexia: A Field Clinical Trial on Acute Puerperal Metritis. Animals. 2021; 11(6):1597. https://doi.org/10.3390/ani11061597
Chicago/Turabian StyleLora, Isabella, Mattia Massignani, Annalisa Stefani, and Flaviana Gottardo. 2021. "Potential Benefits to Dairy Cow Welfare of Using a Ceftiofur–Ketoprofen Combination Drug for the Treatment of Inflammatory Disease Associated with Pyrexia: A Field Clinical Trial on Acute Puerperal Metritis" Animals 11, no. 6: 1597. https://doi.org/10.3390/ani11061597
APA StyleLora, I., Massignani, M., Stefani, A., & Gottardo, F. (2021). Potential Benefits to Dairy Cow Welfare of Using a Ceftiofur–Ketoprofen Combination Drug for the Treatment of Inflammatory Disease Associated with Pyrexia: A Field Clinical Trial on Acute Puerperal Metritis. Animals, 11(6), 1597. https://doi.org/10.3390/ani11061597

