Predictive Capacity of Boar Sperm Morphometry and Morphometric Sub-Populations on Reproductive Success after Artificial Insemination
Abstract
Simple Summary
Abstract
1. Introduction
2. Materials and Methods
2.1. Animals
2.2. Fertility Trial
2.3. Collection and Examination of Semen
2.4. Sample Preparation for Morphometric Analysis
2.5. Assessment of Sperm Variables
2.6. Morphometric Analysis
2.7. Statistical Analysis
2.7.1. Multivariate Procedures
2.7.2. ROC Analysis
3. Results
3.1. Overall Semen Variables
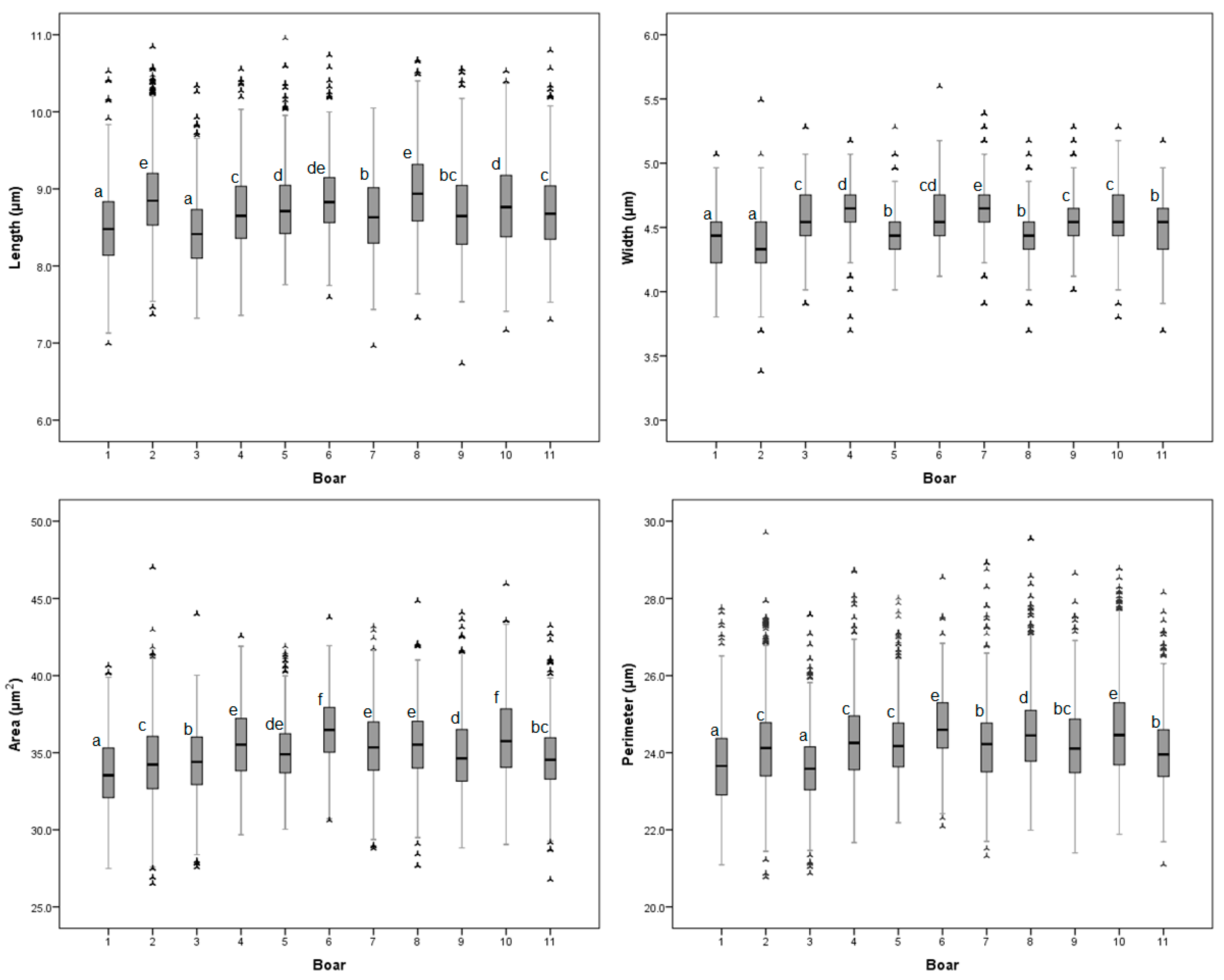
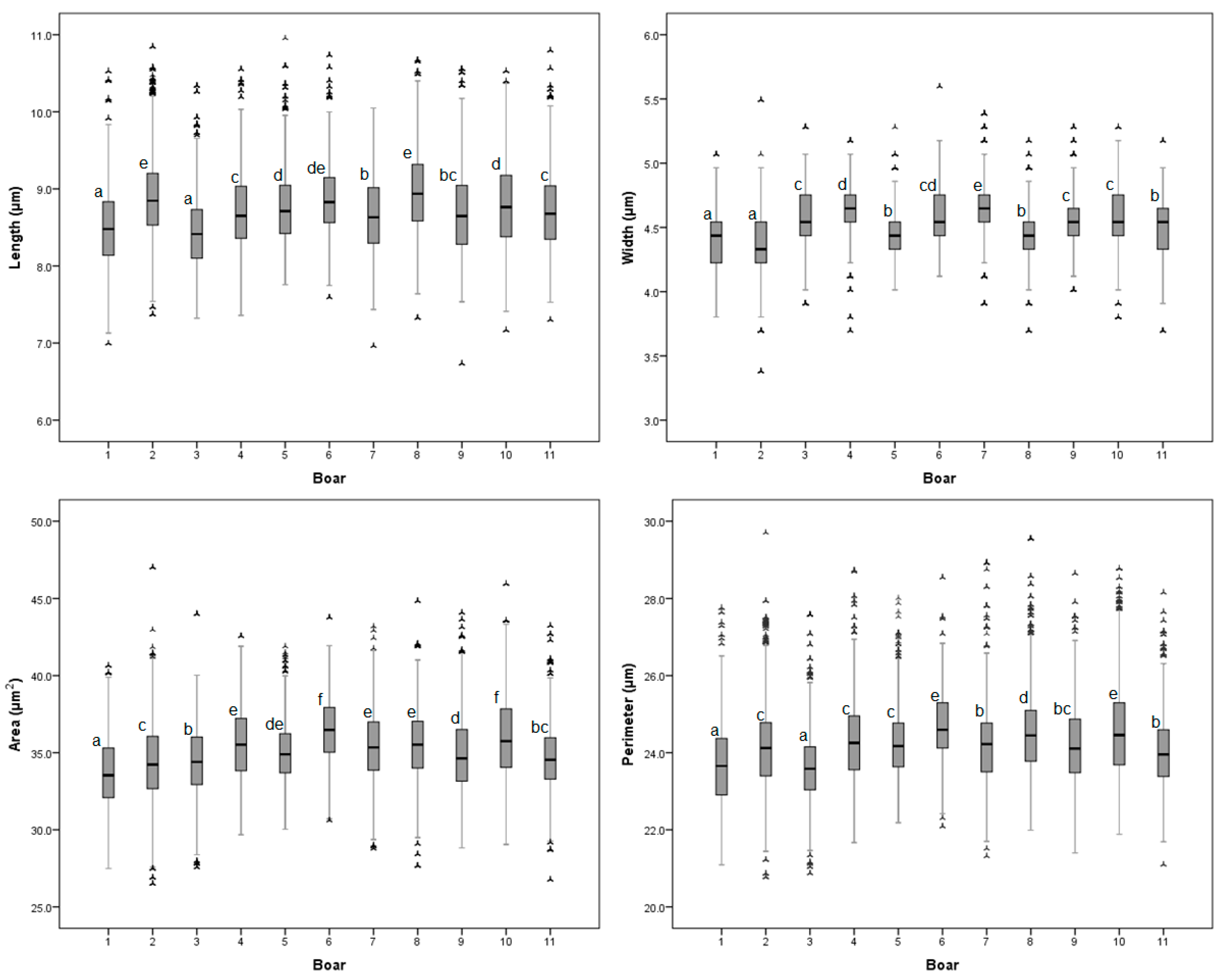
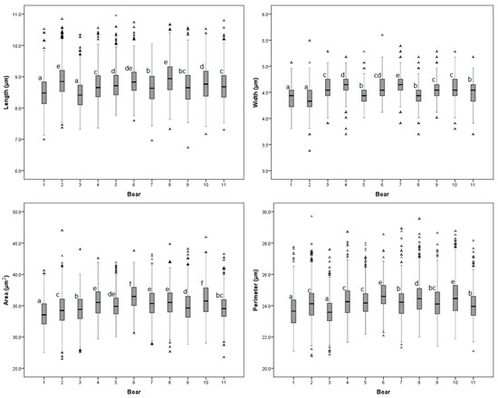
3.2. Morphometric Variables
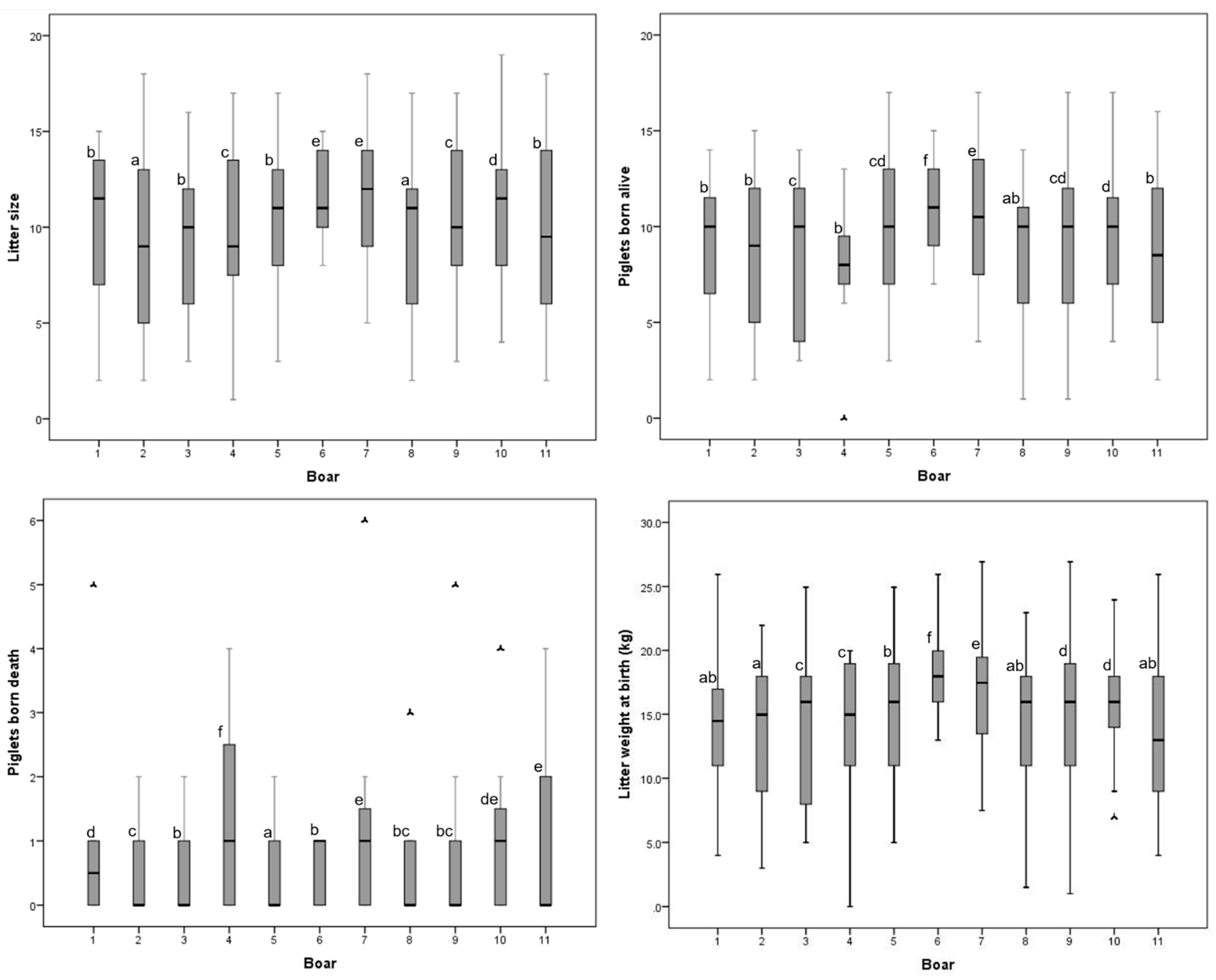
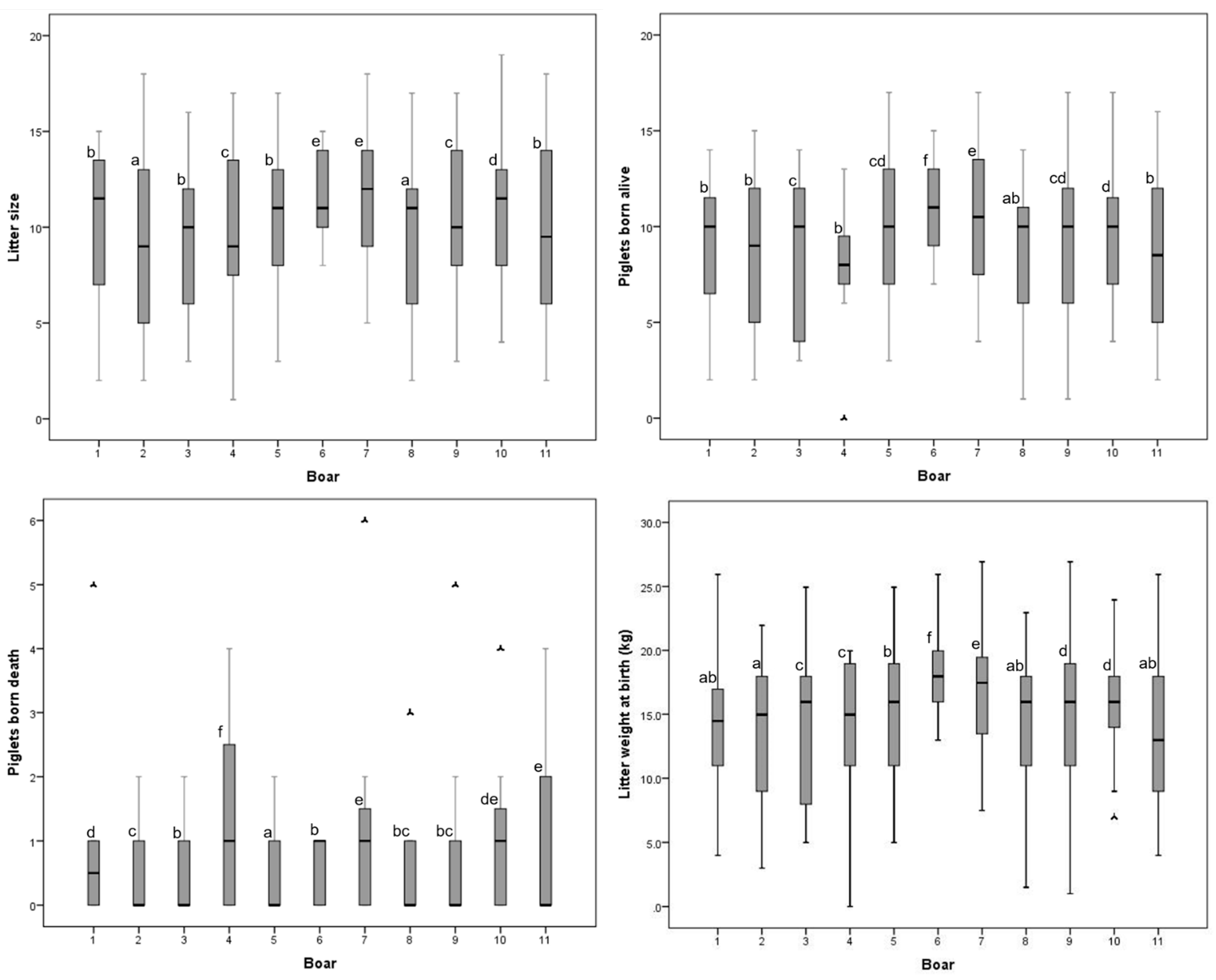
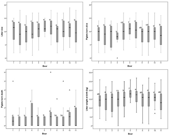
3.3. Fertility Traits
3.4. Sub-Population Structure
3.5. Predictive Capacity of Fertility
4. Discussion
5. Conclusions
Supplementary Materials
Author Contributions
Funding
Institutional Review Board Statement
Data Availability Statement
Acknowledgments
Conflicts of Interest
References
- Gadea, J. Sperm factors related to in vitro and in vivo porcine fertility. Theriogenology 2005, 63, 431–444. [Google Scholar] [CrossRef] [PubMed]
- Tsakmakidis, I.A.; Lymberopoulos, A.G.; Khalifa, T.A.A. Relationship between sperm quality traits and field-fertility of porcine semen. J. Vet. Sci. 2010, 11, 151–154. [Google Scholar] [CrossRef] [PubMed]
- Rodriguez, A.L.; van Soom, A.; Arsenakis, I.; Maes, D. Boar management and semen handling factors affect the quality of boar extended semen. Porc. Health Manag. 2017, 3, 1–12. [Google Scholar] [CrossRef]
- Kondracki, S.; Iwanina, M.; Wysokińska, A.; Huszno, M. Comparative analysis of Duroc and Pietrain boar sperm morphology. Acta Vet. Brno 2012, 81, 195–199. [Google Scholar] [CrossRef]
- Kondracki, S.; Banaszewska, D.; Wysokińska, A.; Iwanina, M. The Effect of Sperm Concentration in the Ejaculate on Morphological Traits of Bull Spermatozoa. Folia Biol. 2012, 60, 85–91. [Google Scholar] [CrossRef]
- Saravia, F.; Núñez-Martínez, I.; Morán, J.; Soler, C.; Muriel, A.; Rodríguez-Martínez, H.; Peña, F. Differences in boar sperm head shape and dimensions recorded by computer-assisted sperm morphometry are not related to chromatin integrity. Theriogenology 2007, 68, 196–203. [Google Scholar] [CrossRef]
- Thurston, L.M.; Watson, P.F.; Mileham, A.J.; Holt, W.V. Morphologically distinct sperm subpopulations defined by Fourier shape descriptors in fresh ejaculates correlate with variation in boar semen quality following cryopreservation. J. Androl. 2001, 22, 382–394. [Google Scholar]
- Górski, K.; Kondracki, S.; Strachocka, K.; Wysokińska, A. Association of Ejaculate Sperm Counts with their Morphological and Morphometric Characteristics in Hypor Boars. Ann. Anim. Sci. 2017, 17, 1043–1052. [Google Scholar] [CrossRef][Green Version]
- Górski, K.; Kondracki, S.; Wysokińska, A. Ejaculate traits and sperm morphology depending on ejaculate volume in Duroc boars. J. Vet. Res. 2017, 61, 121–125. [Google Scholar] [CrossRef][Green Version]
- Soler, C.; Alambiaga, A.; Martí, M.A.; García-Molina, A.; Valverde, A.; Contell, J.; Campos, M. Dog sperm head morphometry: Its diversity and evolution. Asian J. Androl. 2017, 19, 149–153. [Google Scholar] [CrossRef]
- Valverde, A.; Arenán, H.; Sancho, M.; Contell, J.; Yániz, J.; Fernández, A.; Soler, C. Morphometry and subpopulation structure of Holstein bull spermatozoa: Variations in ejaculates and cryopreservation straws. Asian J. Androl. 2016, 18, 851–857. [Google Scholar] [CrossRef]
- Maroto-Morales, A.; García-Álvarez, O.; Ramón, M.; Martínez-Pastor, F.; Fernández-Santos, M.R.; Soler, A.J.; Garde, J.J. Current status and potential of morphometric sperm analysis. Asian J. Androl. 2016, 18, 863–870. [Google Scholar] [CrossRef]
- Soler, C.; Cooper, T.G.; Valverde, A.; Yániz, J.L. Afterword to Sperm morphometrics today and tomorrow special issue in Asian Journal of Andrology. Asian J. Androl. 2016, 18, 895–897. [Google Scholar] [CrossRef]
- Gage, M.J.G. Mammalian sperm morphometry. Proc. R. Soc. B Biol. Sci. 1998, 265, 97–103. [Google Scholar] [CrossRef]
- Meisner, A.D.; Klaus, A.V.; O’Leary, M.A. Sperm head morphology in 36 species of artiodactylans, perissodactylans, and cetaceans (Mammalia). J. Morphol. 2004, 263, 179–202. [Google Scholar] [CrossRef]
- Peña, F.J.; Saravia, F.; García-Herreros, M.; Núñezmartínez, I.; Tapia, J.A.; Wallgren, M.; Rodriguez-Martinez, H.; Johannisson, A. Identification of Sperm Morphometric Subpopulations in Two Different Portions of the Boar Ejaculate and Its Relation to Postthaw Quality. J. Androl. 2005, 26, 716–723. [Google Scholar] [CrossRef]
- Wysokińska, A.; Kondracki, S.; Banaszewska, D. Morphometrical characteristics of spermatozoa in Polish Landrace boars with regard to the number of spermatozoa in an ejaculate. Reprod. Biol. 2009, 9, 271–282. [Google Scholar] [CrossRef]
- Górski, K.; Kondracki, S.; Wysokińska, A.; Nazaruk, A. The Importance of Ejaculate Volume for the Physical Parameters of Ejaculates and Sperm Morphology of Hypor Boars. Kafkas Univ. Vet. Fak. Derg. 2016, 22, 493–501. [Google Scholar]
- Soler, C.; Contell, J.; Bori, L.; Sancho, M.; García-Molina, A.; Valverde, A.; Segarvall, J. Sperm kinematic, head morphometric and kinetic-morphometric subpopulations in the blue fox (Alopex lagopus). Asian J. Androl. 2017, 19, 154–159. [Google Scholar] [CrossRef]
- Yániz, J.L.; Vicente-Fiel, S.; Soler, C.; Recreo, P.; Carretero, T.; Bono, A.; Berné, J.M.; Santolaria, P. Comparison of different statistical approaches to evaluate morphometric sperm subpopulations in man. Asian J. Androl. 2016, 18, 819–823. [Google Scholar] [CrossRef]
- Martínez-Rodríguez, C.; Alvarez, M.; López-Urueña, E.; Gomes-Alves, S.; Anel-López, L.; Tizado, J.E.; Anel, L.; de Paz, P. Head morphology of ram spermatozoa is associated with their ability to migrate in vitro and correlates with fertility. Reprod. Fertil. Dev. 2016, 28, 1825–1837. [Google Scholar] [CrossRef]
- Hirai, M.; Boersma, A.; Hoeflich, A.; Wolf, E.; Foll, J.; Aumüller, T.R.; Braun, J. Objectively measured sperm motility and sperm head morphometry in boars (Sus scrofa): Relation to fertility and seminal plasma growth factors. J. Androl. 2001, 22, 104–110. [Google Scholar]
- Sailer, B.L.; Jost, L.K.; Evenson, D.P. Bull sperm head morphometry related to abnormal chromatin structure and fertility. Cytometry 1996, 24, 167–173. [Google Scholar] [CrossRef]
- Aggarwal, R.; Ahlawat, S.; Kumar, Y.; Panwar, P.; Singh, K.; Bhargava, M. Biometry of frozen–thawed sperm from eight breeds of Indian buffaloes (Bubalus bubalis). Theriogenology 2007, 68, 682–686. [Google Scholar] [CrossRef]
- De Paz, P.; Mata-Campuzano, M.; Tizado, E.J.; Alvarez, M.; Alvarez-Rodriguez, M.; Herráez, P.; Anel, L. The relationship between ram sperm head morphometry and fertility depends on the procedures of acquisition and analysis used. Theriogenology 2011, 76, 1313–1325. [Google Scholar] [CrossRef]
- Hidalgo, M.; Rodríguez, I.; Dorado, J. The effect of cryopreservation on sperm head morphometry in Florida male goat related to sperm freezability. Anim. Reprod. Sci. 2007, 100, 61–72. [Google Scholar] [CrossRef]
- Casey, P.; Gravance, C.; Davis, R.; Chabot, D.; Liu, I. Morphometric differences in sperm head dimensions of fertile and subfertile stallions. Theriogenology 1997, 47, 575–582. [Google Scholar] [CrossRef]
- Núñez-Martínez, I.; Moran, J.M.; Peña, F.J. Sperm indexes obtained using computer-assisted morphometry provide a forecast of the freezability of canine sperm. Int. J. Androl. 2007, 30, 182–189. [Google Scholar] [CrossRef]
- Kruger, T.F.; Dutoit, T.C.; Franken, D.R.; Acosta, A.A.; Oehninger, S.C.; Menkveld, R.; Lombard, C.J. A new computerized method of reading sperm morphology (strict criteria) is as efficient as technician reading. Fertil. Steril. 1993, 59, 202–209. [Google Scholar] [CrossRef]
- Vicente-Fiel, S.; Palacín, I.; Santolaria, P.; Yániz, J. A comparative study of sperm morphometric subpopulations in cattle, goat, sheep and pigs using a computer-assisted fluorescence method (CASMA-F). Anim. Reprod. Sci. 2013, 139, 182–189. [Google Scholar] [CrossRef]
- Vicente-Fiel, S.; Palacín, I.; Santolaria, P.; Hidalgo, C.; Silvestre, M.A.; Arrebola, F.A.; Yániz, J. A comparative study of the sperm nuclear morphometry in cattle, goat, sheep, and pigs using a new computer-assisted method (CASMA-F). Theriogenology 2013, 79, 436–442. [Google Scholar] [CrossRef]
- National Research Council. Nutrient Requirements of Swine; National Academies Press: Washington, DC, USA, 2012. [Google Scholar]
- Hancock, J.; Hovell, G. The collection of boar semen. Vet. Rec. 1959, 71, 664–665. [Google Scholar]
- World Health Organization. WHO Laboratory Manual for the Examination and Processing of Human Semen; World Health Organization: Geneva, Switzerland, 2010; ISBN 9789241547789. [Google Scholar]
- Boersma, A.; Braun, J.; Stolla, R. Influence of Random Factors and Two Different Staining Procedures on Computer-assisted Sperm Head Morphometry in Bulls. Reprod. Domest. Anim. 1999, 34, 77–82. [Google Scholar] [CrossRef]
- Spencer, N. Essentials of Multivariate Data Analysis; Chapman and Hall/CRC Press: New York, NY, USA, 2013; ISBN 9781466584785. [Google Scholar]
- Kaiser, H.F. The varimax criterion for analytic rotation in factor analysis. Psychometrika 1958, 23, 187–200. [Google Scholar] [CrossRef]
- Kaufman, L.; Rousseeuw, P. Finding Groups in Data: An Introduction to Cluster Analysis; Wiley: Hoboken, NJ, USA, 2005; ISBN 9780471735786. [Google Scholar]
- Murtagh, F.; Legendre, P. Ward’s Hierarchical Agglomerative Clustering Method: Which Algorithms Implement Ward’s Criterion? J. Classif. 2014, 31, 274–295. [Google Scholar] [CrossRef]
- Kölle, S.; Reese, S.; Kummer, W. New aspects of gamete transport, fertilization, and embryonic development in the oviduct gained by means of live cell imaging. Theriogenology 2010, 73, 786–795. [Google Scholar] [CrossRef]
- Wysokińska, A.; Kondracki, S. Heterosis for morphometric characteristics of sperm cells from Duroc x Pietrain crossbred boars. Anim. Reprod. Sci. 2019, 211, 106217. [Google Scholar] [CrossRef]
- Ball, B.; Mohammed, H. Morphometry of stallion spermatozoa by computer-assisted image analysis. Theriogenology 1995, 44, 367–377. [Google Scholar] [CrossRef]
- Phetudomsinsuk, K.; Sirinarumitr, K.; Laikul, A.; Pinyopummin, A. Morphology and head morphometric characters of sperm in Thai native crossbred stallions. Acta Vet. Scand. 2008, 50, 41. [Google Scholar] [CrossRef]
- Hidalgo, M.; Rodríguez, I.; Dorado, J.; Soler, C. Morphometric classification of Spanish thoroughbred stallion sperm heads. Anim. Reprod. Sci. 2008, 103, 374–378. [Google Scholar] [CrossRef]
- Górski, K.; Kondracki, S.; Wysokińska, A.; Iwanina, M. Dependence of sperm morphology and ejaculate characteristics on sperm concentration in the ejaculates of Hypor boars. J. Vet. Res. 2018, 62, 353–357. [Google Scholar] [CrossRef]
- Rijsselaere, T.; Soom, A.; Hoflack, G.; Meas, D.; Kruif, A. Automated sperm morphometry and morphology analysis of canine semen by the Hamilton-Thorne analyser. Theriogenology 2004, 62, 1292–1306. [Google Scholar] [CrossRef] [PubMed]
- Gillies, E.A.; Cannon, R.M.; Green, R.B.; Pacey, A.A. Hydrodynamic propulsion of human sperm. J. Fluid Mech. 2009, 625, 445. [Google Scholar] [CrossRef]
- Mossman, J.; Slate, J.; Humphries, S.; Birkhead, T. Sperm morphology and velocity are genetically codetermined in the Zebra finch. Evolution 2009, 63, 2730–2737. [Google Scholar] [CrossRef]
- Gomendio, M.; Roldan, E.R.S. Coevolution between male ejaculates and female reproductive biology in eutherian mammals. Proc. R. Soc. B Biol. Sci. 1993, 252, 7–12. [Google Scholar] [CrossRef]
- Quintero-Moreno, A.; Rigau, T.; Rodríguez-Gil, J. Multivariate Cluster Analysis Regression Procedures as Tools to Identify Motile Sperm Subpopulations in Rabbit Semen and to Predict Semen Fertility and Litter Size. Reprod. Domest. Anim. 2007, 42, 312–319. [Google Scholar] [CrossRef] [PubMed]
- Malo, A.F.; Gomendio, M.; Garde, J.J.; Lang-Lenton, B.; Soler, A.J.; Roldán, E.R.S. Sperm design and sperm function. Biol. Lett. 2006, 2, 246–249. [Google Scholar] [CrossRef]
- Maroto-Morales, A.; Ramon, M.; García-Álvarez, O.; Montoro, V.; Soler, A.J.; Fernández-Santos, M.; Roldan, E.; Pérez-Guzmán, M.; Garde, J. Sperm head phenotype and male fertility in ram semen. Theriogenology 2015, 84, 1536–1541. [Google Scholar] [CrossRef]
- Gil, M.; García-Herreros, M.; Barón, F.; Aparicio, I.; Santos, A.; García-Marín, L. Morphometry of porcine spermatozoa and its functional significance in relation with the motility parameters in fresh semen. Theriogenology 2009, 71, 254–263. [Google Scholar] [CrossRef]
- Gatimel, N.; Moreau, J.; Parinaud, J.; Léandri, R.D. Sperm morphology: Assessment, pathophysiology, clinical relevance, and state of the art in 2017. Andrology 2017, 5, 845–862. [Google Scholar] [CrossRef]
- Franken, D.R.; Bastiaan, H.S.; Kidson, A.; Wranz, P.; Habenicht, U.-F. Zona pellucida mediated acrosome reaction and sperm morphology. Andrology 2009, 29, 311–317. [Google Scholar] [CrossRef]
- Maroto-Morales, A.; Ramon, M.; García-Alvarez, O.; Soler, A.J.; Fernández-Santos, M.; Roldan, E.; Gomendio, M.; Pérez-Guzmán, M.; Garde, J. Morphometrically-distinct sperm subpopulations defined by a multistep statistical procedure in Ram ejaculates: Intra- and interindividual variation. Theriogenology 2012, 77, 1529–1539. [Google Scholar] [CrossRef]
- Menkveld, R.; El-Garem, Y.; Schill, W.-B.; Henkel, R. Relationship Between Human Sperm Morphology and Acrosomal Function. J. Assist. Reprod. Genet. 2003, 20, 432–438. [Google Scholar] [CrossRef]
- García-Vázquez, F.A.; Gadea, J.; Matás, C.; Holt, W.V. Importance of sperm morphology during their transport and fertilization in mammals. Asian J. Androl. 2016, 18, 844–850. [Google Scholar] [CrossRef]
- Menkveld, R. Clinical significance of the low normal sperm morphology value as proposed in the fifth edition of the WHO Laboratory Manual for the Examination and Processing of Human Semen. Asian J. Androl. 2010, 12, 47–58. [Google Scholar] [CrossRef]
- Evenson, D.P.; Wixon, R. Clinical aspects of sperm DNA fragmentation detection and male infertility. Theriogenology 2006, 65, 979–991. [Google Scholar] [CrossRef]
- Holt, W.V.; van Look, K.J.W. Concepts in sperm heterogeneity, sperm selection and sperm competition as biological foundations for laboratory tests of semen quality. Reproduction 2004, 127, 527–535. [Google Scholar] [CrossRef]
- Valverde, A.; Madrigal, M.; Caldeira, C.; Bompart, D.; de Murga, J.N.; Arnau, S.; Soler, C. Effect of frame rate capture frequency on sperm kinematic parameters and subpopulation structure definition in boars, analysed with a CASA-Mot system. Reprod. Domest. Anim. 2019, 54, 167–175. [Google Scholar] [CrossRef]
- García-Molina, A.; Valverde, A.; Bompart, D.; Caldeira, C.; Vendrell, A.; Soler, C. Updating semen analysis: A subpopulation approach. Asian J. Androl. 2020, 22, 118–119. [Google Scholar] [CrossRef]
- Caldeira, C.; García-Molina, A.; Valverde, A.; Bompart, D.; Hassane, M.; Martin, P.; Soler, C. Comparison of sperm motility subpopulation structure among wild anadromous and farmed male Atlantic salmon (Salmo salar) parr using a CASA system. Reprod. Fertil. Dev. 2018, 30, 897–906. [Google Scholar] [CrossRef]
- Abarca, A.V.; Castro-Morales, O.; Mdrigal-Valverde, M. Sperm kinematics and morphometric subpopulations analysis with CASA systems: A review. Rev. Biol. Trop. 2019, 67, 1473–1487. [Google Scholar] [CrossRef]
- Valverde, A.; Madrigal-Valverde, M.; Castro-Morales, O.; Gadea-Rivas, A.; Johnston, S.; Soler, C. Kinematic and head morphometric characterisation of spermatozoa from the Brown Caiman (Caiman crocodilus fuscus). Anim. Reprod. Sci. 2019, 207, 9–20. [Google Scholar] [CrossRef]
- Sadeghi, S.; García-Molina, A.; Celma, F.; Valverde, A.; Fereidounfar, S.; Soler, C. Morphometric comparison by the ISAS®CASA-DNA system of two techniques for the evaluation of DNA fragmentation in human spermatozoa. Asian J. Androl. 2016, 18, 835–839. [Google Scholar] [CrossRef]
- Víquez, L.; Barquero, V.; Soler, C.; Roldan, E.R.; Valverde, A. Kinematic Sub-Populations in Bull Spermatozoa: A Comparison of Classical and Bayesian Approaches. Biology 2020, 9, 138. [Google Scholar] [CrossRef]
- Valverde, A.; Castro-Morales, O.; Madrigal-Valverde, M.; Camacho, M.; Barquero, V.; Soler, C.; Roldan, E.R.S. Sperm kinematic subpopulations of the American crocodile (Crocodylus acutus). PLoS ONE 2021, 16, e0248270. [Google Scholar] [CrossRef]
- Ibanescu, I.; Siuda, M.; Bollwein, H. Motile sperm subpopulations in bull semen using different clustering approaches—Associations with flow cytometric sperm characteristics and fertility. Anim. Reprod. Sci. 2020, 215, 106329. [Google Scholar] [CrossRef]
- Marco-Jiménez, F.; Viudes-De-Castro, M.; Balasch, S.; Mocé, E.; Silvestre, M.A.; Gómez, E.; Vicente, J. Morphometric changes in goat sperm heads induced by cryopreservation. Cryobiology 2006, 52, 295–304. [Google Scholar] [CrossRef]
- Marco-Jiménez, F.; Balasch, S.; Vicente, J.S.; Lavara, R.; Viudes-De-Castro, M.P.; Mocé, E. Detection of sub-fertile rabbits by means of sperm head morphometric analysis. Impreso 2005, 80. [Google Scholar]
- Varea-Sánchez, M.; Montoto, L.G.; Tourmente, M.; Roldan, E.R.S. Postcopulatory Sexual Selection Results in Spermatozoa with More Uniform Head and Flagellum Sizes in Rodents. PLoS ONE 2014, 9, e108148. [Google Scholar] [CrossRef]
- Thitipramote, N.; Suwanjarat, J.; Leigh, C.; Breed, W.G. Variation in sperm morphology of a murine rodent from South-East Asia: The Greater Bandicoot Rat, Bandicota indica. Acta Zool. 2010, 92, 201–205. [Google Scholar] [CrossRef]



| Boar | Sows | |||||
|---|---|---|---|---|---|---|
| Variable | Pietrain | D × P | YLP-50 | YLP-75 | YLP-87.5 | Y-L-50 |
| Length | 8.62 ± 0.60 α | 8.77 ± 0.53 β | 8.70 ± 0.52 a | 8.78 ± 0.55 c | 8.74 ± 0.53 b | 8.75 ± 0.56 b |
| Width | 4.46 ± 0.23 α | 4.54 ± 0.22 β | 4.50 ± 0.23 a | 4.53 ± 0.22 c | 4.51 ± 0.23 b | 4.51 ± 0.22 b |
| Area | 34.20 ± 2.47 α | 35.46 ± 2.39 β | 34.94 ± 2.33 a | 35.38 ± 2.53 c | 35.08 ± 2.46 b | 35.07 ± 2.28 b |
| Perimeter | 23.84 ± 1.13 α | 24.34 ± 1.06 β | 24.15 ± 1.03 a | 24.31 ± 1.11 c | 24.23 ± 1.05 b | 24.19 ± 1.06 ab |
| Ellipticity | 1.94 ± 0.17 | 1.94 ± 0.14 | 1.94 ± 0.15 | 1.94 ± 0.14 | 1.95 ± 0.15 | 1.94 ± 0.15 |
| Rugosity | 0.76 ± 0.04 | 0.75 ± 0.04 | 0.75 ± 0.04 | 0.75 ± 0.03 | 0.75 ± 0.04 | 0.75 ± 0.04 |
| Elongation | 0.32 ± 0.04 | 0.32 ± 0.03 | 0.32 ± 0.02 | 0.32 ± 0.03 | 0.32 ± 0.03 | 0.32 ± 0.04 |
| Regularity | 0.88 ± 0.03 | 0.88 ± 0.04 | 0.88 ± 0.03 | 0.88 ± 0.04 | 0.88 ± 0.04 | 0.88 ± 0.03 |
| Boar | Sows | |||||
|---|---|---|---|---|---|---|
| Variable | Pietrain | D × P | YLP-50 | YLP-75 | YLP-87.5 | Y-L-50 |
| Total born per litter | 9.72 ± 4.24 α | 10.53 ± 3.94 β | 10.12 ± 3.54 a | 10.37 ± 4.03 b | 10.01 ± 3.89 a | 10.76 ± 4.55 c |
| Piglets born alive | 8.89 ± 3.77 α | 9.46 ± 3.70 β | 8.71 ± 3.39 a | 9.26 ± 3.53 b | 9.25 ± 3.64 b | 9.64 ± 4.30 c |
| Piglets born dead | 0.65 ± 0.95 α | 0.80 ± 1.11 β | 1.13 ± 1.08 d | 0.88 ± 1.33 c | 0.55 ± 1.00 a | 0.77 ± 0.69 b |
| Number of mummies | 0.19 ± 0.35 α | 0.26 ± 0.64 β | 0.28 ± 0.6 b | 0.23 ± 0.56 a | 0.22 ± 0.51 a | 0.35 ± 0.75 c |
| Litter weight at birth | 14.23 ± 5.74 α | 15.58 ± 5.59 β | 13.95 ± 4.75 a | 15.44 ± 5.43 c | 15.16 ± 5.72 b | 15.05 ± 6.27 b |
| Variable | PC1 | PC2 |
|---|---|---|
| Length | 0.44 | |
| Width | 0.54 | |
| Area | 0.55 | |
| Perimeter | 0.45 | |
| Ellipticity | 0.46 | |
| Rugosity | −0.46 | |
| Elongation | 0.47 | |
| Regularity | ||
| Var Exp | 50.6 | 35.6 |
| Variable | SP1 | SP2 | SP3 | SP4 |
|---|---|---|---|---|
| Proportion of all ejaculates (%) | 17.50 | 42.50 | 20.00 | 20.00 |
| Length | 8.57 ± 0.13 b | 8.81 ± 0.18 a | 8.49 ± 0.22 b | 8.88 ± 0.13 a |
| Width | 4.69 ± 0.06 a | 4.58 ± 0.07 b | 4.43 ± 0.04 c | 4.36 ± 0.07 d |
| Area | 35.63 ± 0.69 a | 35.77 ± 1.24 a | 34.16 ± 1.07 b | 34.65 ± 0.92 b |
| Perimeter | 24.04 ± 0.27 b | 24.48 ± 0.44 a | 23.72 ± 0.51 b | 24.20 ± 0.32 b |
| Ellipticity | 1.83 ± 0.03 c | 1.93 ± 0.04 b | 1.91 ± 0.05 b | 2.03 ± 0.02 a |
| Rugosity | 0.78 ± 0.01 a | 0.76 ± 0.01 b | 0.76 ± 0.01 b | 0.75 ± 0.01 c |
| Elongation | 0.29 ± 0.01 c | 0.32 ± 0.01 b | 0.31 ± 0.01 b | 0.34 ± 0.01 a |
| Regularity | 0.88 ± 0.01 a | 0.88 ± 0.01 a | 0.87 ± 0.00 b | 0.88 ± 0.01 a |
| Variable | Cut-Off Value | Sensitivity (%) | Specificity (%) | Area ROC | p-Value |
|---|---|---|---|---|---|
| Total born per litter | |||||
| Area | 35.18 | 67.19 | 27.08 | 0.54 | 0.11 |
| Perimeter | 24.26 | 68.66 | 28.26 | 0.55 | 0.10 |
| Piglets born alive | |||||
| Area | 35.18 | 67.19 | 27.08 | 0.53 | 0.17 |
| Perimeter | 24.26 | 68.66 | 28.26 | 0.54 | 0.13 |
| Ellipticity | 1.94 | 67.55 | 26.45 | 0.54 | 0.13 |
| Piglets born dead | |||||
| Regularity | 0.88 | 73.02 | 32.19 | 0.56 | 0.04 |
| Number of mummies | |||||
| Length | 8.71 | 71.74 | 31.34 | 0.59 | 0.02 |
| Ellipticity | 1.92 | 73.08 | 33.62 | 0.59 | 0.02 |
| Elongation | 0.31 | 73.08 | 33.62 | 0.60 | 0.02 |
Publisher’s Note: MDPI stays neutral with regard to jurisdictional claims in published maps and institutional affiliations. |
© 2021 by the authors. Licensee MDPI, Basel, Switzerland. This article is an open access article distributed under the terms and conditions of the Creative Commons Attribution (CC BY) license (http://creativecommons.org/licenses/by/4.0/).
Share and Cite
Barquero, V.; Roldan, E.R.S.; Soler, C.; Yániz, J.L.; Camacho, M.; Valverde, A. Predictive Capacity of Boar Sperm Morphometry and Morphometric Sub-Populations on Reproductive Success after Artificial Insemination. Animals 2021, 11, 920. https://doi.org/10.3390/ani11040920
Barquero V, Roldan ERS, Soler C, Yániz JL, Camacho M, Valverde A. Predictive Capacity of Boar Sperm Morphometry and Morphometric Sub-Populations on Reproductive Success after Artificial Insemination. Animals. 2021; 11(4):920. https://doi.org/10.3390/ani11040920
Chicago/Turabian StyleBarquero, Vinicio, Eduardo R. S. Roldan, Carles Soler, Jesús L. Yániz, Marlen Camacho, and Anthony Valverde. 2021. "Predictive Capacity of Boar Sperm Morphometry and Morphometric Sub-Populations on Reproductive Success after Artificial Insemination" Animals 11, no. 4: 920. https://doi.org/10.3390/ani11040920
APA StyleBarquero, V., Roldan, E. R. S., Soler, C., Yániz, J. L., Camacho, M., & Valverde, A. (2021). Predictive Capacity of Boar Sperm Morphometry and Morphometric Sub-Populations on Reproductive Success after Artificial Insemination. Animals, 11(4), 920. https://doi.org/10.3390/ani11040920

