Over Time Decay of Cortisol Metabolites in Faecal Pellets of Koalas in Central Queensland
Abstract
:Simple Summary
Abstract
1. Introduction
2. Materials and Methods
2.1. Animals and Sample Collection
2.2. Treatments
- E (environment): The pellets were laid on the ground on leaf litter under trees. A basket with five walls made of chicken wire mesh was placed over the pellets to protect them from mechanical disturbance, while allowing exposure of the pellets to local weather conditions. A digital datalogger (USB Temperature/Humidity Datalogger with LCD QP6014, Jaycar Electronics, Sydney, Australia), placed adjacent to the samples and covered by a makeshift roof, recorded temperature (T) and relative humidity (RH) at 10 min intervals over the 7-day treatment period. The pellets were exposed to any weather event occurring during the study. Plant tags with ID codes marked each sample. At the day of sample collection, photos of the whole defecation and of the pellets removed were taken to provide a visual record of the experiment.
- L (standard ambient T-25 °C): The pellets were placed in an incubator set at a constant temperature of 25 °C. RH was monitored with a wet/dry thermometer.
- H (high T and high RH): The pellets were placed in an incubator set at a constant temperature of 35° C. A tray of water was placed inside to generate high humidity. A digital datalogger (Digitech XC-0424, Jaycar Electronics, Sydney, Australia) positioned inside the incubator recorded T and RH at 10 min intervals over the 7-day treatment period.
2.3. FCM Analysis
2.4. Water Loss
2.5. Statistical Analysis
3. Results
3.1. Temperature and Relative Humidity
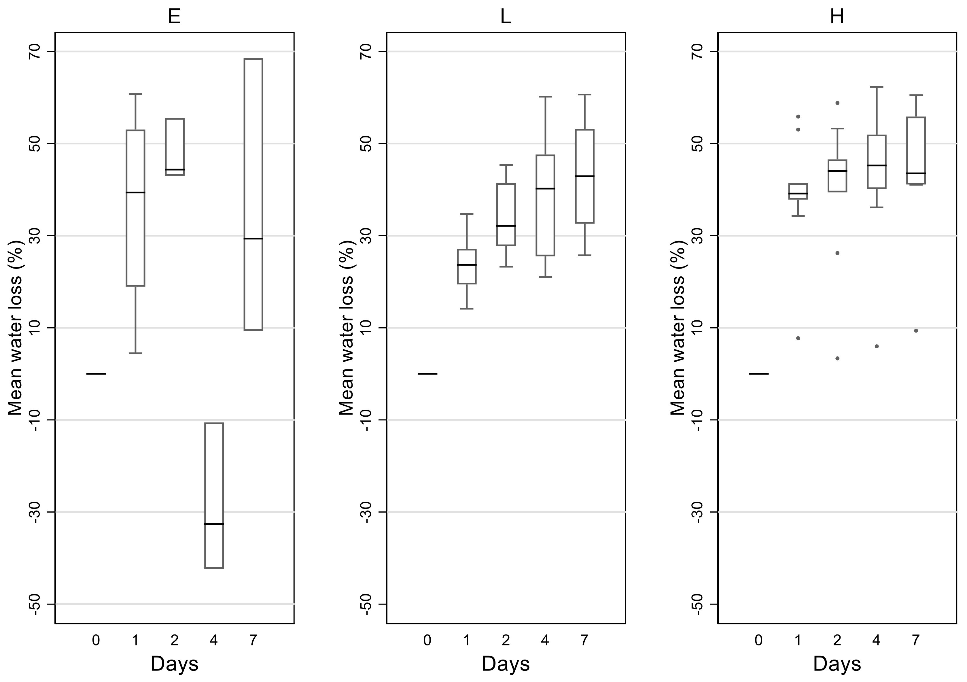
3.2. Water Loss
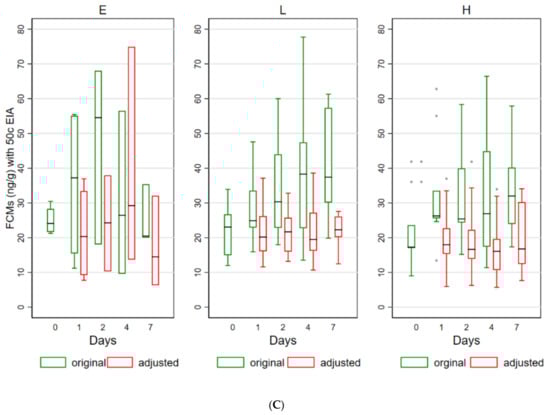
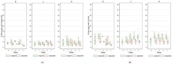
3.3. Original and Adjusted FCM Values
4. Discussion
5. Conclusions
Supplementary Materials
Author Contributions
Funding
Institutional Review Board Statement
Data Availability Statement
Acknowledgments
Conflicts of Interest
References
- Schwarzenberger, F. The many uses of non-invasive faecal steroid monitoring in zoo and wildlife species. Int. Zoo Yearb. 2007, 41, 52–74. [Google Scholar] [CrossRef]
- Palme, R. Non-invasive measurement of glucocorticoids: Advances and problems. Physiol. Behav. 2019, 199, 229–243. [Google Scholar] [CrossRef] [PubMed]
- Palme, R. Measuring fecal steroids: Guidelines for practical application. Ann. N. Y. Acad. Sci. 2005, 1046, 75–80. [Google Scholar] [CrossRef]
- Rehnus, M.; Palme, R. How genetic data improve the interpretation of results of faecal glucocorticoid metabolite measurements in a free-living population. PLoS ONE 2017, 12, e0183718. [Google Scholar] [CrossRef] [Green Version]
- Davies, N.; Gillett, A.; McAlpine, C.; Seabrook, L.; Baxter, G.; Lunney, D.; Bradley, A. The effect of ACTH upon faecal glucocorticoid excretion in the koala. J. Endocrinol. 2013, 219, 1–12. [Google Scholar] [CrossRef] [Green Version]
- Santamaria, F.; Palme, R.; Schlagloth, R.; Klobetz-Rassam, E.; Henning, J. Seasonal variations of faecal cortisol metabolites in koalas in South East Queensland. Animals 2021, 11, 1622. [Google Scholar] [CrossRef] [PubMed]
- Hogan, L.A.; Lisle, A.T.; Johnston, S.D.; Robertson, H. Non-invasive assessment of stress in captive numbats, Myrmecobius fasciatus (Mammalia: Marsupialia), using faecal cortisol measurement. Gen. Comp. Endocrinol. 2012, 179, 376–383. [Google Scholar] [CrossRef] [PubMed]
- Fanson, K.V.; Best, E.C.; Bunce, A.; Fanson, B.G.; Hogan, L.A.; Keeley, T.; Narayan, E.J.; Palme, R.; Parrott, M.L.; Sharp, T.M. One size does not fit all: Monitoring faecal glucocorticoid metabolites in marsupials. Gen. Comp. Endocrinol. 2017, 244, 146–156. [Google Scholar] [CrossRef]
- Santamaria, F.; Barlow, C.K.; Schlagloth, R.; Schittenhelm, R.B.; Palme, R.; Henning, J. Identification of koala (Phascolarctos cinereus) faecal cortisol metabolites using liquid chromatography-mass spectrometry and enzyme immunoassays. Metabolites 2021, 11, 393. [Google Scholar] [CrossRef]
- Webber, J.T.; Henley, M.D.; Pretorius, Y.; Somers, M.J.; Ganswindt, A. Changes in African Elephant (Loxodonta africana) faecal steroid concentrations post-defaecation. Bothalia-Afr. Biodivers. Conserv. 2018, 48, 1–8. [Google Scholar]
- Palme, R.; Touma, C.; Arias, N.; Dominchin, M.F.; Lepschy, M. Steroid extraction: Get the best out of faecal samples. Wien. Tierärztliche Mon. 2013, 100, 238–246. [Google Scholar]
- Hua, Y.; Cao, H.; Wang, J.; He, F.; Jiang, G. Gut microbiota and fecal metabolites in captive and wild North China leopard (Panthera pardus japonensis) by comparsion using 16 s rRNA gene sequencing and LC/MS-based metabolomics. BMC Vet. Res. 2020, 16, 1–11. [Google Scholar] [CrossRef] [PubMed]
- Henning, J.; Hannon, C.; McKinnon, A.; Larkin, R.; Allavena, R. The causes and prognoses of different types of fractures in wild koalas submitted to wildlife hospitals. Prev. Vet. Med. 2015, 122, 371–378. [Google Scholar] [CrossRef] [PubMed]
- Koala Expert Panel Interim Report. Available online: http://www.ehp.qld.gov.au/wildlife/koalas/review-conservation-measures.html (accessed on 2 October 2020).
- The State of Queensland. Koala Facts. Available online: https://environment.des.qld.gov.au/wildlife/animals/living-with/koalas/facts (accessed on 7 July 2021).
- The State of Queensland. Climate Change in the Central Queensland Region. Available online: https://www.qld.gov.au/environment/climate/climate-change (accessed on 2 July 2021).
- Sharma, P.; Pande, V.V.; Moyle, T.S.; McWhorter, A.R.; Chousalkar, K.K. Correlating bacterial shedding with fecal corticosterone levels and serological responses from layer hens experimentally infected with Salmonella typhimurium. Vet. Res. 2017, 48, 1–11. [Google Scholar] [CrossRef] [PubMed] [Green Version]
- Möstl, E.; Rettenbacher, S.; Palme, R. Measurement of corticosterone metabolites in birds’ droppings: An analytical approach. Ann. N. Y. Acad. Sci. 2005, 1046, 17–34. [Google Scholar] [CrossRef] [PubMed]
- Wong, E.P.; Yon, L.; Purcell, R.; Walker, S.L.; Othman, N.; Saaban, S.; Campos-Arceiz, A. Concentrations of faecal glucocorticoid metabolites in Asian elephant’s dung are stable for up to 8 h in a tropical environment. Conserv. Physiol. 2016, 4, 70. [Google Scholar] [CrossRef]
- Möstl, E.; Messmann, S.; Bagu, E.; Robia, C.; Palme, R. Measurement of glucocorticoid metabolite concentrations in faeces of domestic livestock. J. Vet. Med. Ser. A 1999, 46, 621–631. [Google Scholar]
- Descovich, K.A.; Lisle, A.T.; Johnston, S.; Keeley, T.; Phillips, C.J. Intrasample variation and the effect of storage delay on faecal metabolite concentrations in the southern hairy-nosed wombat (Lasiorhinus latifrons). Aust. Mammal. 2012, 34, 217–222. [Google Scholar] [CrossRef]
- Washburn, B.E.; Millspaugh, J.J. Effects of simulated environmental conditions on glucocorticoid metabolite measurements in white-tailed deer feces. Gen. Comp. Endocrinol. 2002, 127, 217–222. [Google Scholar] [CrossRef]
- Mesa-Cruz, J.B.; Brown, J.L.; Kelly, M.J. Effects of natural environmental conditions on faecal glucocorticoid metabolite concentrations in jaguars (Panthera onca) in Belize. Conserv. Physiol. 2014, 2. [Google Scholar] [CrossRef] [Green Version]
- Cristescu, R.H.; Goethals, K.; Banks, P.B.; Carrick, F.N.; Frere, C. Experimental evaluation of koala scat persistence and detectability with implications for pellet-based fauna census. Int. J. Zool. 2012, 2012. [Google Scholar] [CrossRef] [Green Version]
- Sheriff, M.J.; Dantzer, B.; Delehanty, B.; Palme, R.; Boonstra, R. Measuring stress in wildlife: Techniques for quantifying glucocorticoids. Oecologia 2011, 166, 869–887. [Google Scholar] [CrossRef] [PubMed]
- Palme, R. Non-Invasive Measurement of Glucocorticoids: Advances and Problems. Updated Supplementary Material. Available online: https://www.researchgate.net/profile/Rupert-Palme (accessed on 21 October 2021).
- Darimont, C.T.; Reimchen, T.E.; Bryan, H.M.; Paquet, P.C. Faecal-centric approaches to wildlife ecology and conservation; methods, data and ethics. Wildl. Biol. Pract. 2008, 4, 73–97. [Google Scholar] [CrossRef]
- Lexen, E.; El-Bahr, S.; Sommerfeld-Stur, I.; Palme, R.; Mostl, E. Monitoring the adrenocortical response to disturbances in sheep by measuring glucocorticoid metabolites in the faeces. Wien. Tierarztl. Mon. 2008, 95, 64–71. [Google Scholar]




Publisher’s Note: MDPI stays neutral with regard to jurisdictional claims in published maps and institutional affiliations. |
© 2021 by the authors. Licensee MDPI, Basel, Switzerland. This article is an open access article distributed under the terms and conditions of the Creative Commons Attribution (CC BY) license (https://creativecommons.org/licenses/by/4.0/).
Share and Cite
Santamaria, F.; Schlagloth, R.; Palme, R.; Henning, J. Over Time Decay of Cortisol Metabolites in Faecal Pellets of Koalas in Central Queensland. Animals 2021, 11, 3376. https://doi.org/10.3390/ani11123376
Santamaria F, Schlagloth R, Palme R, Henning J. Over Time Decay of Cortisol Metabolites in Faecal Pellets of Koalas in Central Queensland. Animals. 2021; 11(12):3376. https://doi.org/10.3390/ani11123376
Chicago/Turabian StyleSantamaria, Flavia, Rolf Schlagloth, Rupert Palme, and Joerg Henning. 2021. "Over Time Decay of Cortisol Metabolites in Faecal Pellets of Koalas in Central Queensland" Animals 11, no. 12: 3376. https://doi.org/10.3390/ani11123376
APA StyleSantamaria, F., Schlagloth, R., Palme, R., & Henning, J. (2021). Over Time Decay of Cortisol Metabolites in Faecal Pellets of Koalas in Central Queensland. Animals, 11(12), 3376. https://doi.org/10.3390/ani11123376

