Feed Intake of Growing Dairy Heifers Raised under Tropical Conditions: A Model Evaluation Using Meta-Analysis
Simple Summary
Abstract
1. Introduction
2. Materials and Methods
2.1. Database
2.2. Calculations
2.3. Models Evaluated
2.4. Statistical Analysis
3. Results
3.1. Database
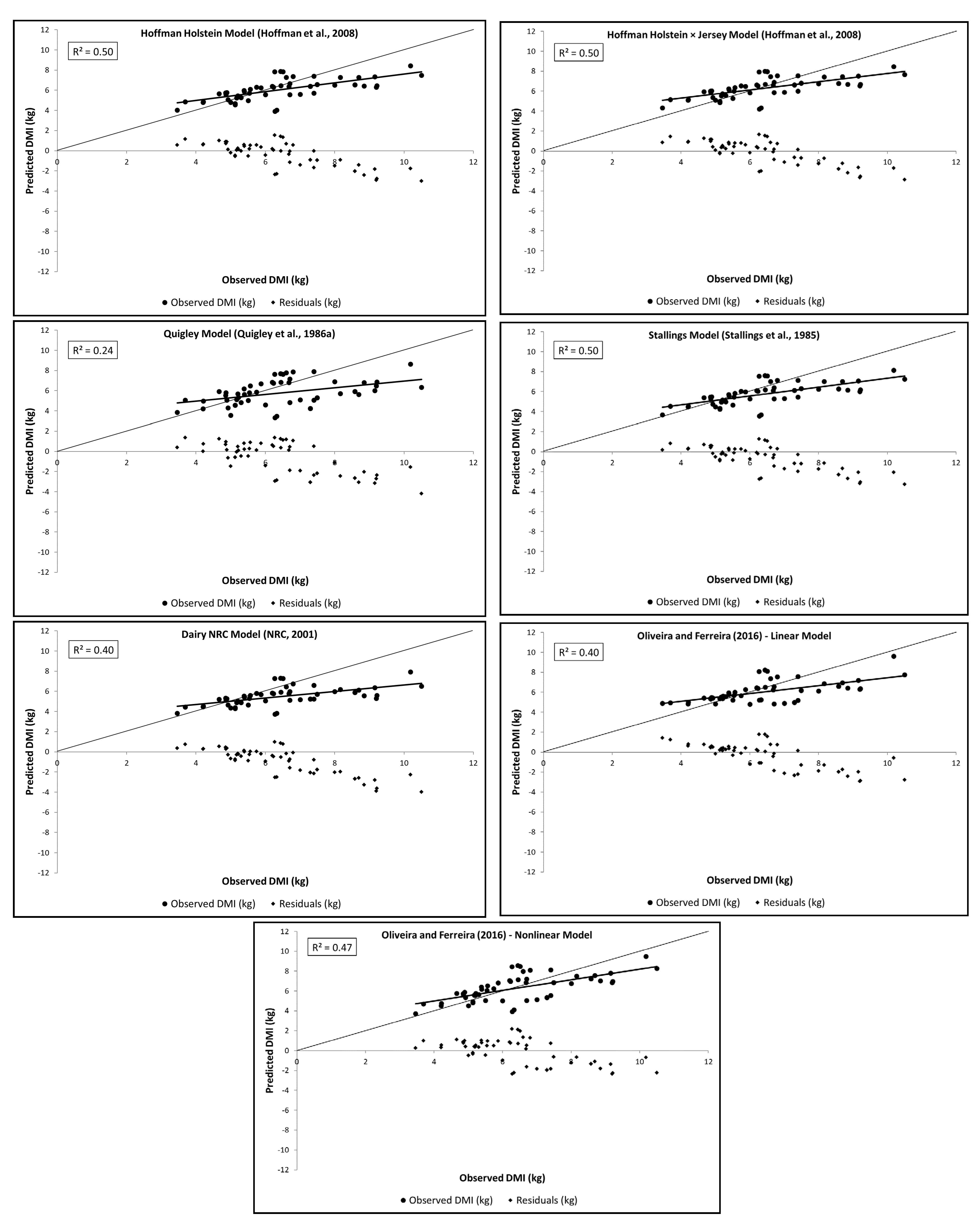
3.2. Model Evaluation 1: Bos taurus Dairy Heifers
3.3. Model Evaluation 2: Crossbred Dairy Heifers (Bos taurus × Bos indicus)
4. Discussion
5. Conclusions
Supplementary Materials
Author Contributions
Funding
Institutional Review Board Statement
Informed Consent Statement
Acknowledgments
Conflicts of Interest
References
- Bareille, N.; Beaudeau, F.; Billon, S.; Robert, A.; Faverdin, P. Effects of health disorders on feed intake and milk production in dairy cows. Livest. Prod. Sci. 2003, 83, 53–62. [Google Scholar] [CrossRef]
- Hayirli, A.; Grummer, R.R.; Nordheim, E.V.; Crump, P.M. Models for predicting dry matter intake of Holsteins during the prefresh transition period. J. Dairy Sci. 2003, 86, 1771–1779. [Google Scholar] [CrossRef]
- Grummer, R.R.; Mashek, D.G.; Hayirli, A. Dry matter intake and energy balance in the transition period. Vet. Clin. N. Am. Food. Anim. Pr. 2004, 20, 447–470. [Google Scholar] [CrossRef] [PubMed]
- Nonaka, I.; Takusari, N.; Tajima, K.; Suzuki, T.; Higuchi, K.; Kurihara, M. Effects of high environmental temperatures on physiological and nutritional status of prepubertal Holstein heifers. Livest. Sci. 2008, 113, 14–23. [Google Scholar] [CrossRef]
- Oliveira, A.S.; Ferreira, V.B. Prediction of intake in growing dairy heifers under tropical conditions. J. Dairy. Sci. 2016, 99, 1103–1110. [Google Scholar] [CrossRef]
- Stallings, C.C.; Kroll, G.; Kelley, J.C.; McGilliard, M.L. A computer ration evaluation program for heifers, dry cows, and lactating cows. J. Dairy Sci. 1985, 68, 1015–1019. [Google Scholar] [CrossRef]
- Quigley, J.D.; James, R.E.; McGilliard, M.L. Dry matter intake in dairy heifers. 2. Equations to predict intake of heifers under intensive management. J. Dairy Sci. 1986, 69, 2863–2867. [Google Scholar] [CrossRef]
- National Research Council (NRC). Nutrient Requirements of Dairy Cattle, 6th ed.; National Academy Press: Washington, DC, USA, 1989; p. 157. [Google Scholar]
- National Research Council (NRC). Nutrient Requirements of Dairy Cattle, 7th ed.; National Academy Press: Washington, DC, USA, 2001; p. 381. [Google Scholar]
- National Research Council (NRC). Nutrient Requirements of Beef Cattle, 7th ed.; National Academy Press: Washington, DC, USA, 1996; p. 242. [Google Scholar]
- Hoffman, P.C.; Weigel, K.A.; Wernberg, R.M. Evaluation of equations to predict dry matter intake of dairy heifers. J. Dairy Sci. 2008, 91, 3699–3709. [Google Scholar] [CrossRef] [PubMed]
- Souza, V.L. Parameterization and Evaluation of Models to Estimate the Requirements and Performance of Dairy Cattle for Use in Brazil. Ph.D. Thesis, University of São Paulo, Piracicaba, Brazil, 2015. [Google Scholar] [CrossRef]
- Aguiar, M.S.M.A.; Silva, F.F.; Donato, S.L.R.; Rodrigues, E.S.O.; Costa, L.T.; Mateus, R.G.; Souza, D.R.; Silva, V.L. Forage cactus in diets of confined dairy cattle: Performance and economic viability. Semina Ciênc. Agrár. 2015, 36, 1013–1030. [Google Scholar]
- Alemu, T.; Chairatanayuth, P.; Vijchulata, P.; Tudsri, S. The potential of urea treated maize stover for growth performance of weaned crossbred calves. Kasetsart. J. 2005, 39, 638–646. [Google Scholar]
- Almeida, G.A.P.; Campos, J.M.S.; Ferreira, M.A.; Correia, A.L.V.; Andrade, A.P. Palm (Opuntia ficus indica mill) cv. Giant in supplements for growth dairy females in pasture. Rev. Caatinga. 2015, 28, 161–171. [Google Scholar]
- Aranda, E.; Mendoza, G.D.; García-Bojalil, C.; Castrejón, F. Growth of heifers grazing stargrass complemented with sugar cane, urea and a protein supplement. Livest. Prod. Sci. 2001, 71, 201–206. [Google Scholar] [CrossRef]
- Araújo, W.A.; Paulino, P.V.; Marcondes, M.I.; Carvalho, C.G.V.; Silva, F.C.O. Performance and carcass traits of crossbred heifers from three genetic groups fed corn or sorghum silage based diets. Ciência Anim. Bras. 2011, 12, 101–107. [Google Scholar]
- Barbosa, L.S. Uso de Sombreamento Sobre índices Térmicos, Respostas Fisiológicas e Desempenho de Bezerras Cruzadas ½ Holandês × ½ Jersey a Pasto. Master’s Thesis, Goiás State University, Anápolis, Brazil, 2012. [Google Scholar]
- Barros, L.J.A.; Ferreira, M.A.; Oliveira, J.C.V.; Santos, D.C.; Chagas, J.C.C.; Alves, A.M.S.V.; Silva, A.E.M.; Freitas, W.R. Replacement of Tifton hay by spineless cactus in Girolando post-weaned heifers’ diets. Trop Anim. Health Prod. 2018, 50, 149–154. [Google Scholar] [CrossRef] [PubMed]
- Burgos, E.M.G. Desempenho de Novilhas Leiteiras Alimentadas com Diferentes Volumosos. Master’s Thesis, Federal University of Viçosa, Viçosa, Brazil, 2013. [Google Scholar]
- Carvalho, M.C.; Ferreira, M.A.; Cavalcanti, C.V.A.; Lima, L.E.; Silva, F.M.; Miranda, K.F.; Véras, A.S.C.; Azevedo, M.; Vieira, V.C.F. Association of sugar cane bagasse, forage cactus and urea with different supplements in diets of Holstein heifers. Acta Sci. Anim. Sci. 2005, 27, 247–252. [Google Scholar] [CrossRef][Green Version]
- Coronel-Robles, U.; Ortega-Cerrilla, M.E.; Mendoza-Martínez, G.D.; Zetina-Córdoba, P.; Torres-Esqueda, M.T.S.; Munguía-Ameca, G.; Teco-Jácome, M.V. Productive response and progesterone concentration in Holstein heifers supplemented with Saccharomyces cerevisiae1077 or Saccharomyces boulardii1079. J. Anim. Plant Sci. 2016, 26, 17–24. [Google Scholar]
- Cruz, A.A.C. Desempenho de Novilhas Girolando Alimentadas com Dietas à Base de Palma Forrageira, Cana-de-Açúcar Mais ureia e Concentrado. Master’s Thesis, Federal Rural University of Pernambuco, Recife, Brazil, 2018. [Google Scholar]
- Dias, A.M.; Silva, F.F.; Veloso, C.M.; Ítavo, L.C.V.; Pires, A.J.V.; Souza, D.R.; Sá, J.F.; Mendes, F.B.L.; Nascimento, P.V.N. Cassava bagasse in diets of dairy heifers: Intake of nutrients and productive performance. Arq. Bras. Med. Vet. Zootec. 2008, 60, 987–995. [Google Scholar] [CrossRef]
- Faria, E.S. Avaliação de Níveis de Fibra na Dieta de Novilhas Leiteiras de Diferentes Grupos Zootécnicos. Doctor’s Thesis, Federal University of Viçosa, Viçosa, Brazil, 2000. [Google Scholar]
- Farias, M.S.; Prado, I.N.; Valero, M.V.; Zawadzki, F.; Silva, R.R.; Eiras, C.E.; Rivaroli, D.C.; Lima, B.S. Glycerine levels for crossbred heifers growing in pasture: Performance, feed intake, feed efficiency and digestibility. Semin. Ciênc. Agrár. 2012, 33, 1177–1188. [Google Scholar] [CrossRef]
- Franco, M.O.; Marcondes, M.I.; Campos, J.M.S.; Detmann, E.; Valadares Filho, S.C.; Freitas, D.R. Performance of dairy females fed dried yeast from sugar cane. Acta Sci. Anim. Sci. 2016, 38, 205–212. [Google Scholar] [CrossRef]
- Gallo, P.C.S.; Pereira, M.N.; Campos, G.P.; Gallo, S.B. Effects of neutral detergent fiber concentration of sugarcane-based diets on the performance of Holstein heifers. Semin. Ciênc. Agrár. 2019, 40, 947–956. [Google Scholar] [CrossRef]
- Garcia, J.A.S.; Vieira, P.F.; Cecon, P.R.; Setti, M.C.; McManus, C.; Louvandini, H. Performance of growing cattle fed sunflower meal. Ciência Anim. Bras. 2006, 7, 223–233. [Google Scholar]
- Gojjam, Y.; Tolera, A.; Mesfin, R. Management options to accelerate growth rate and reduce age at first calving in Friesian-Boran crossbred heifers. Trop Anim. Health Prod. 2011, 43, 393–399. [Google Scholar] [CrossRef]
- Gonçalves, M.F.; Oliveira, M.V.; Nogueira, H.C.R.; Santos, A.P.S.; França, A.M.S.; Hermisdorff, I.C.; Santos, R.M. Desempenho de novilhas alimentadas com co-produtos da indústria do milho ou do ácido cítrico. Vet. Not. 2014, 20, 28–36. [Google Scholar] [CrossRef]
- Guimarães, A.V. Desempenho de Novilhas Leiteiras Alimentadas com Farelo de Mamona e Valor Energético do Farelo e Torta da Mamona. Master’s Thesis, Federal University of Viçosa, Viçosa, Brazil, 2010. [Google Scholar]
- Inácio, J.G. Bagaço de Cana-de-Açúcar Como Volumoso Exclusivo Para Novilhas Leiteiras. Master’s Thesis, Federal Rural University of Pernambuco, Recife, Brazil, 2016. [Google Scholar]
- Jenet, A.; Fernandez-Rivera, A.; Tegegne, A.; Yimegnuhal, A.; Osuji, P.O.; Kreuzer, M. Growth and feed conversion of Boran (Bos indicus) and Holstein × Boran heifers during three physiological states receiving different levels of a tropical diet. Livest Prod. Sci. 2004, 89, 159–173. [Google Scholar] [CrossRef]
- Kaitho, R.J.; Kariuki, J.N. Effects of Desmodium, Sesbania and Calliandra supplementation on growth of dairy heifers fed Napier grass basal diet. Asian-Austral J. Anim. Sci. 1998, 11, 680–684. [Google Scholar] [CrossRef]
- Kamphayae, S.; Kumagai, H.; Butcha, P.; Ritruechai, V.; Udchachon, S. Yeast mixture of liquid beer and cassava pulp with rice straw for the growth of dairy heifers. Trop Anim. Health Prod. 2017, 49, 491–496. [Google Scholar] [CrossRef][Green Version]
- Kariuki, J.N.; Gachuiri, C.K.; Gitau, G.K.; Tamminga, S.; Van Bruchem, J.; Muia, J.M.K.; Irungu, K.R.G. Effect of feeding Napier grass, lucerne and sweet potato vines as sole diets to dairy heifers on nutrient intake, weight gain and rumen degradation. Livest Prod. Sci. 1998, 55, 13–20. [Google Scholar] [CrossRef]
- Kariuki, J.N.; Gitau, G.K.; Gachuiri, C.K.; Tamminga, S.; Muia, J.M.K. Effect of supplementing napier grass with desmodium and lucerne on DM, CP and NDF intake and weight gains in dairy heifers. Livest Prod. Sci. 1999, 60, 81–88. [Google Scholar] [CrossRef]
- Lage, C.F.S. Desenvolvimento Corporal, Idade à Puberdade e Desenvolvimento da Glândula Mamária de Fêmeas Mestiças Leiteiras Aleitadas com Diferentes Teores de Sólidos Totais na Dieta Líquida. Master’s Thesis, Federal University of Minas Gerais, Belo Horizonte, Brazil, 2016. [Google Scholar]
- Lima, M.L.M.; Fernandes, J.J.R.; Carvalho, E.R.; Santos, S.C.; Cruz, M.C.; Brito, A.C.F. Performance of dairy crossbred heifers fed sugar cane corrected and supplemented with concentrate having Quillaja saponaria molina extract. Ciência Anim. Bras. 2009, 10, 730–734. [Google Scholar]
- Machado, A.F.; Guimarães, S.E.F.; Guimarães, J.D.; Santos, G.M.; Silva, A.L.; Silva, Y.F.R.S.; Netto, D.S.L.; Correa, P.V.F.; Marcondes, M.I. Effect of protein supplement level on the productive and reproductive parameters of replacement heifers managed in intensive grazing systems. PLoS ONE 2020, 15, e0239786. [Google Scholar] [CrossRef]
- Maciel, R.P.; Neiva, J.N.M.; Araujo, V.L.; Cunha, O.F.R.; Paiva, J.; Restle, J.; Mendes, C.Q.; Lôbo, R.N.B. Intake, nutrient digestibility and performance of dairy heifers fed diets containing palm kernel cake. Rev. Bras. Zootec. 2012, 41, 698–706. [Google Scholar] [CrossRef]
- Martins, P.C. Consumo Alimentar Residual e Ganho de Peso Residual em Novilhas f1 Girolando. Master’s Thesis, Federal University of Minas Gerais, Belo Horizonte, Brazil, 2017. [Google Scholar]
- Matos, B.C. Efeito da Relação Proteína Metabolizável: Energia Metabolizável da Ração de Novilhas Pré-Púberes em Crescimento Acelerado. Master’s Thesis, University of São Paulo, Piracicaba, Brazil, 2009. [Google Scholar] [CrossRef]
- Mendes Neto, J.; Campos, J.M.S.; Valadares Filho, S.C.; Lana, R.P.; Queiroz, A.C.; Euclydes, R.F. Effects of partial replacement of Tifton 85 hay with citrus pulp on intake, performance, and development of dairy heifers. Rev. Bras. Zootec. 2007, 36, 626–634. [Google Scholar] [CrossRef]
- Mendonça, B.P.C.; Lana, R.P.; Mancio, A.B.; Detmann, E.; Barbosa, A.M.; Guimarães, G. Levels of mineral mixture and urea in supplementation of crossbred heifers, with Gyr predominance, reared at pasture during the dry season. Rev. Bras Zootec. 2010, 39, 2273–2280. [Google Scholar] [CrossRef][Green Version]
- Miranda, L.F.; Queiroz, A.C.; Valadares Filho, S.C.; Cecon, P.R.; Pereira, E.S.; Paulino, M.F.; Campos, J.M.S.; Miranda, J.R. Performance and ponderal development of dairy heifers fed sugar cane-based diets. Rev. Bras. Zootec. 1999, 28, 605–613. [Google Scholar] [CrossRef]
- Miranda, L.F.; Queiroz, A.C.; Valadares Filho, S.C.; Cecon, P.R.; Pereira, E.S.; Campos, J.M.S.; Lana, R.P.; Miranda, J.R. Ingestive behavior of dairy heifers fed sugar cane based diets. Rev. Bras. Zootec. 1999, 28, 614–620. [Google Scholar] [CrossRef]
- Molina-Botero, I.C.; Arroyave-Jaramillo, J.; Valencia-Salazar, S.; Barahona-Rosales, R.; Aguilar-Pérez, C.F.; Burgos, A.A.; Arango, J.; Ku-Vera, J.C. Effects of tannins and saponins contained in foliage of Gliricidia sepium and pods of Enterolobium cyclocarpum on fermentation, methane emissions and rumen microbial population in crossbred heifers. Anim. Feed Sci. Technol. 2019, 251, 1–11. [Google Scholar] [CrossRef]
- Monteiro, C.C.F.; Melo, A.A.S.; Ferreira, M.A.; Campos, J.M.S.; Souza, J.S.R.; Silva, E.T.S.; Andrade, R.P.X.; Silva, E.C. Replacement of wheat bran with spineless cactus (Opuntia ficus indica Mill cv Gigante) and urea in the diets of Holstein × Gyr heifers. Trop Anim. Health Prod. 2014, 46, 1149–1154. [Google Scholar] [CrossRef]
- Mora, B.V.; Castillo-Gallegos, E.; Alonso-Díaz, M.Á.; Ocanã-Zavaleta, E.; Jarillo-Rodríguez, J. Live-weight gains of Holstein × Zebu heifers grazing a Cratylia argentea/Toledo-grass (Brachiaria brizantha) association in the Mexican humid tropics. Agroforest Syst. 2017, 91, 1057–1068. [Google Scholar] [CrossRef]
- Mota, D.A.; Berchielli, T.T.; Canesin, R.C.; Rosa, B.L.; Ribeiro, A.F.; Brandt, H.V. Nutrient intake, productive performance and body measurements of dairy heifers fed with different sources of protein. Acta Sci. Anim. Sci. 2013, 35, 273–279. [Google Scholar] [CrossRef][Green Version]
- Oliveira, M.V.M.; Lana, R.P.; Freitas, A.W.P.; Eifert, E.C.; Pereira, J.C.; Valadares Filho, S.C.; Pérez, J.R.O. Effects of different dietary levels of monensin on nutrient digestibility and on ruminal, blood and urinary metabolites in dairy heifers. Rev. Bras. Zootec. 2005, 34, 2143–2154. [Google Scholar] [CrossRef]
- Oliveira, M.V.M.; Lana, R.P.; Eifert, E.C.; Luz, D.F.; Vargas Junior, F.M. Performance of Holstein heifers in feedlot receiving monensin at different levels. Rev. Bras. Zootec. 2009, 38, 1835–1840. [Google Scholar] [CrossRef]
- Ornelas, L.T.C.; Silva, D.C.; Tomich, T.R.; Campos, M.M.; Machado, F.S.; Ferreira, A.L.; Maurício, R.M.; Pereira, L.G.R. Differences in methane production, yield and intensity and its effects on metabolism of dairy heifers. Sci. Total Environ. 2019, 689, 1133–1140. [Google Scholar] [CrossRef]
- Pancoti, C.G. Exigências Nutricionais de Energia em Novilhas Gir, Holandês e F1—Holandês × Gir. Doctor’s Thesis, Federal University of Minas Gerais, Belo Horizonte, Brazil, 2019. [Google Scholar]
- Pereira, J.C.; Silva, P.R.C.; Cecon, P.R.; Resende Filho, M.A.; Oliveira, R.L. Broiler-litter and supplement based on ruminal microbiota in dairy heifers diets: Performance and economic evaluation. Rev. Bras. Zootec. 2003, 32, 653–662. [Google Scholar] [CrossRef]
- Pereira, J.C.; Cunha, D.N.F.V.; Cecon, P.R.; Faria, E.S. Performance, rectal temperature and respiratory ratio of dairy heifers from three genetic groups fed diets with different levels of fiber. Rev. Bras. Zootec. 2008, 37, 328–334. [Google Scholar] [CrossRef]
- Pinheiro, A.A.; Veloso, C.M.; Rocha Neto, A.L.; Silva, R.R.; Silva, F.F.; Mendes, F.B.L.; Santana Júnior, H.A.; Azevedo, S.T.; Carvalho, G.G.P. Ingestive behavior of dairy heifers fed cocoa (“Theobroma cacao”) meal levels in the diet. Rev. Bras. Saúde Prod. Anim. 2012, 13, 224–236. [Google Scholar] [CrossRef]
- Queiroz, M.F.S. Teores Crescentes de Proteína Bruta em Dietas à Base de Cana-de-Açúcar Para Novilhas Holandês × Gir. Doctor’s Thesis, São Paulo State University, Jaboticabal, Brazil, 2010. [Google Scholar]
- Quirino, D.F. Behavior, Performance, and Tick Incidence in Girolando and Holstein Grazing Heifers. Master’s thesis, Federal University of Viçosa, Viçosa, Brazil, 2019. [Google Scholar]
- Rangel, A.H.N.; Campos, J.M.S.; Oliveira, A.S.; Valadares Filho, S.C.; Assis, A.J.; Souza, S.M. Performance and nutritional parameters of growing heifers fed corn silage or sugar cane with concentrate. Rev. Bras. Zootec. 2010, 39, 2518–2526. [Google Scholar] [CrossRef]
- Rodrigues, A.A.; Flores, O.S.; Ferreira Junior, A.G.; Netto, D.P.; Ferreira, R.P.; Pedroso, A.F. Dry matter intake and weight gain of dairy heifers fed sugar cane and grazing alfalfa. In 46ª Reunião Anual da Sociedade Brasileira de Zootecnia; Sociedade Brasileira de Zootecnia: Maringá, Brazil, 2009; 3p. [Google Scholar]
- Santana, D.F.Y.; Lira, M.A.; Santos, M.V.F.; Ferreira, M.A.; Santos, D.C.; Mello, A.C.L.; Dubeux Júnior, J.C.B.; Araujo, G.G.L. Dry matter intake and performance of Girolando and Guzerá heifers and Guzerá under supplementation in caatinga, during the rainy season, in Pernambuco, Brazil. Rev. Bras. Zootec. 2010, 39, 2148–2154. [Google Scholar] [CrossRef]
- Santos, S.A.; Campos, J.M.S.; Valadares Filho, S.C.; Detmann, E.; Oliveira, A.S.; Souza, S.M. Productive performance of growing dairy heifers fed corn silage and soybean or cottonseed meal based concentrate. Rev. Bras. Zootec. 2010, 39, 638–647. [Google Scholar] [CrossRef]
- Siécola Júnior, S.; Bitencourt, L.L.; Melo, L.Q.; Silveira, V.A.; Lopes, N.M.; Silva, J.R.M.; Pereira, R.A.N.; Pereira, M.N. Deleafed sugarcane and performance of heifers and dairy cows. Arq. Bras. Med. Vet. Zootec. 2014, 66, 219–228. [Google Scholar] [CrossRef]
- Silva, F.F.; Aguiar, M.S.M.A.; Veloso, C.M.; Pires, A.J.V.; Bonomo, P.; Dutra, G.S.; Almeida, V.S.; Carvalho, G.G.P.; Silva, R.R.; Dias, A.M.; et al. Performance of dairy heifers fed on elephantgrass silage added with different levels of cassava bagasse. Arq. Bras. Med. Vet. Zootec. 2006, 58, 205–211. [Google Scholar] [CrossRef]
- Silva, D.C. Metabolismo em Novilhas Girolando Com Fenótipos Divergentes Para Eficiência Alimentar. Master’s Thesis, State University of Southwestern Bahia, Itapetinga, Brazil, 2017. [Google Scholar]
- Silva, A.L.; Detmann, E.; Dijkstra, J.; Pedroso, A.M.; Silva, L.H.P.; Machado, A.F.; Sousa, F.C.; Santos, G.B.; Marcondes, M.I. Effects of rumen-undegradable protein on intake, performance, and mammary gland development in prepubertal and pubertal dairy heifers. J. Dairy Sci. 2018, 101, 5991–6001. [Google Scholar] [CrossRef] [PubMed]
- Sousa, M.G. Proteína Degradável no Rúmen em Suplementos Múltiplos Para Novilhas GIROLANDAS à Pasto. Master’s Thesis, Federal University of Jequitinhonha and Mucuri Valleys, Diamantina, Brazil, 2018. [Google Scholar]
- Souza, A.L.; Garcia, R.; Bernardino, F.S.; Campos, J.M.S.; Valadares Filho, S.C.; Cabral, L.S.; Gobbi, K.F. Coffee hulls in dairy heifers diet: Intake, digestibility, and production. Rev. Bras. Zootec. 2006, 35, 921–927. [Google Scholar] [CrossRef]
- Souza, D.D. Farelo de Mamona em Dietas para Novilhas Leiteiras Em Pastejo. Doctor’s Thesis, State University of Southwestern Bahia, Itapetininga, Brazil, 2018. [Google Scholar]
- Teixeira, R.M.A.; Campos, J.M.S.; Valadares Filho, S.C.; Oliveira, A.S.; Assis, A.J.; Pina, D.S. Intake, digestibility and performance of dairy heifers fed coffee hulls replacing of corn silage. Rev. Bras. Zootec. 2007, 36, 968–977. [Google Scholar] [CrossRef]
- Teixeira, F.A.; Silva, F.F.; Bonomo, P.; Pires, A.J.V.; Nascimento, P.V.N.; Gonçalves Neto, J. Performance of dairy heifers grazing on Urochloa decumbens pastures deferred for two periods. Acta Sci. Anim. Sci. 2014, 36, 109–115. [Google Scholar] [CrossRef][Green Version]
- Vieira, V.C.F. Associação do Bagaço de Cana-de-açúcar, Palma Forrageira e Ureia com Diferentes Suplementos em Dietas de Novilhas da raça HOLANDESA. Master’s Thesis, Federal Rural University of Pernanbuco, Recife, Brazil, 2006. [Google Scholar]
- Cappelle, E.R.; Valadares Filho, S.C.; Silva, J.F.C.; Cecon, P.R. Estimates of the energy value from chemical characteristics of the feedstuffs. Rev. Bras. Zootec. 2001, 30, 1837–1856. [Google Scholar] [CrossRef]
- SAS Institute, Inc. SAS OnDemand for Academics. Release 9.04.01M5P09132017; SAS Institute, Inc.: Cary, NC, USA, 2012. [Google Scholar]
- R Development Core Team. R: A Language and Environment for Statistical Computing. Version 3.1.1.; R Foundation for Statistical Computing: Vienna, Austria, 2018. [Google Scholar]
- Bibby, J.; Toutenburg, H. Prediction and Improved Estimation in Linear Models, 1st ed.; John Wiley & Sons: Berlin, Germany, 1977; p. 201. [Google Scholar]
- Lin, L. A concordance correlation coefficient to evaluate reproducibility. Biometrics 1989, 45, 255–268. [Google Scholar] [CrossRef]
- Moriasi, D.N.; Arnold, J.G.; Van Liew, M.W.; Bingner, R.L.; Harmel, R.D.; Veith, T.L. Model evaluation guidelines for sys-tematic quantification of accuracy in watershed simulations. Trans. ASABE 2007, 50, 885–900. [Google Scholar] [CrossRef]
- Erickson, P.S.; Anderson, J.L.; Kalscheur, K.F.; Lascano, G.J.; Akins, M.S.; Heinrichs, A.J. Symposium review: Strategies to improve the efficiency and profitability of heifer raising. J. Dairy Sci. 2020, 103, 5700–5708. [Google Scholar] [CrossRef]
- Negrão, J.A.; Marnet, P. Milk yield, residual milk, oxytocin and cortisol release during machine milking in Gir, Gir × Holstein and Holstein cows. Reprod. Nutr. Dev. 2006, 46, 77–85. [Google Scholar] [CrossRef]
- Alfonzo, E.P.M.; Silva, M.V.G.B.; Daltro, D.S.; Stumpf, M.T.; Dalcin, V.C.; Kolling, G.; Fischer, V.; McManus, C.M. Relationship between physical attributes and heat stress in dairy cattle from different genetic groups. Int. J. Biometeorol. 2016, 60, 245–253. [Google Scholar] [CrossRef]
- Ludovico, A.; Trentin, M.; Rêgo, F.C.A. Sources of variation of dairy production and milk composition in Holstein cows, Jersey, and Girolando. Arch. De Zootec. 2019, 68, 236–243. [Google Scholar] [CrossRef]
- Moreira, T.S. Energy Requirements, Energetic Partition and Methane Emission from Growing Holstein, Gyr and F1 HOLSTEIN-Gyr Dairy Heifers. Ph.D. Thesis, University of São Paulo, Pirassununga, Brazil, 2016. [Google Scholar] [CrossRef]
- Grewal, R.; Cote, J.A.; Baumgartner, H. Multicollinearity and measurement error in structural equation models: Implications for theory testing. Mark. Sci. 2004, 23, 519–529. [Google Scholar] [CrossRef]
- Cohen, J.; Cohen, P.; West, S.G.; Aiken, L.S. Applied Multiple Regression/Correlation Analysis for the Behavioral Sciences, 2nd ed.; Lawrence Erlbaum Associates: Hillsdale, NJ, USA, 1983; p. 545. [Google Scholar]
- O’Brien, M.R. A caution regarding rules of thumb for variance inflation factors. Qual. Quant. 2007, 41, 673–690. [Google Scholar] [CrossRef]
- Terry, C.A.; Knapp, R.H.; Edwards, J.W.; Mies, W.L.; Savell, J.W.; Cross, H.R. Yields of by-products from different cattle types. J. Anim. Sci. 1990, 68, 4200–4205. [Google Scholar] [CrossRef] [PubMed]
- Casas, A.; Cianzio, D.; Rivera, A. Comparison of Holstein, Charbray, and Zebu bulls for beef production under rotational grazing II. Offal components and carcass composition. J. Agric. Univ. Puerto Rico 1997, 81, 115–124. [Google Scholar] [CrossRef]
- National Research Council (NRC). Nutrient Requirements of Beef Cattle, 8th ed.; National Academy Press: Washington, DC, USA, 2016; p. 494. [Google Scholar]
- Fox, D.G.; Tylutki, T.P. Accounting for the effects of environment on the nutrient requirements of dairy cattle. J. Dairy Sci. 1998, 81, 3085–3095. [Google Scholar] [CrossRef]
- Moraes, L.E.; Kebreab, E.; Strathe, A.B.; Dijkstra, J.; France, J.; Casper, D.P.; Fadel, J.G. Multivariate and univariate analysis of energy balance data from lactating dairy cows. J. Dairy Sci. 2015, 98, 4012–4029. [Google Scholar] [CrossRef]
- Jiao, H.P.; Yan, T.; Wills, D.A.; McDowell, D.A. Maintenance energy requirements of young Holstein cattle from calorimetric measurements at 6, 12, 18, and 22 months of age. Livest. Sci. 2015, 178, 150–157. [Google Scholar] [CrossRef]
- Castro, M.M.D.; Albino, R.L.; Rodrigues, J.P.P.; Sguizzato, A.L.L.; Santos, M.M.F.; Rotta, P.P.; Caton, J.S.; Moraes, L.E.F.D.; Silva, F.F.; Marcondes, M.I. Energy and protein requirements of Holstein × Gyr crossbred heifers. Animal 2020, 14, 1857–1866. [Google Scholar] [CrossRef]
- Oss, D.B.; Machado, F.S.; Tomich, T.R.; Pereira, L.G.R.; Campos, M.M.; Castro, M.M.D.; Silva, T.E.; Marcondes, M.I. Energy and protein requirements of crossbred (Holstein × Gyr) growing bulls. J. Dairy Sci. 2017, 100, 2603–2613. [Google Scholar] [CrossRef]
- Silva, A.L.; DeVries, T.J.; Fernandes, E.C.; Marcondes, M.I. Development and evaluation of equations to predict growth of Holstein dairy heifers in a tropical climate. J. Dairy Sci. 2020, 104, 525–531. [Google Scholar] [CrossRef]
- Weller, M.M.D.C.A.; Albino, R.L.; Marcondes, M.I.; Silva, W.; Daniels, K.M.; Campos, M.M.; Duarte, M.S.; Mescouto, M.L.; Silva, F.F.; Guimarães, S.E.F. Effects of nutrient intake level on mammary parenchyma growth and gene expression in crossbred (Holstein × Gyr) prepubertal heifers. J. Dairy Sci. 2016, 99, 9962–9973. [Google Scholar] [CrossRef]
- Albino, R.L.; Sguizzato, A.L.; Daniels, K.M.; Duarte, M.S.; Lopes, M.M.; Guimarães, S.E.F.; Weller, M.M.D.C.A.; Marcondes, M.I. Performance strategies affect mammary gland development in prepubertal heifers. J. Dairy Sci. 2017, 100, 8033–8042. [Google Scholar] [CrossRef]
- Rotta, P.P.; Valadares Filho, S.C.; Gionbelli, T.R.S.; Silva, L.F.C.; Engle, T.E.; Marcondes, M.I.; Machado, F.S.; Villadiego, F.A.C.; Silva, L.H.R. Effects of day of gestation and feeding regimen in Holstein × Gyr cows: I. Apparent total-tract digestibility, nitrogen balance, and fat deposition. J. Dairy Sci. 2015, 98, 3197–3210. [Google Scholar] [CrossRef] [PubMed]
- Sguizzato, A.L.L.; Marcondes, M.I.; Valadares Filho, S.C.; Caton, J.; Neville, T.L.; Machado, F.S.; Pacheco, M.V.C.; Rotta, P.P. Body composition changes of crossbred Holstein × Gyr cows and conceptus during pregnancy. J. Dairy Sci. 2020, 103, 2773–2783. [Google Scholar] [CrossRef]
- Hayirli, A.; Grummer, R.R.; Nordheim, E.V.; Crump, P.M. Animal and dietary factors affecting feed intake during the prefresh transition period in Holsteins. J. Dairy Sci. 2002, 85, 3430–3443. [Google Scholar] [CrossRef]
- Korver, S.; Van Eekelen, E.A.M.; Vos, H.; Nieuwhof, G.J.; Van Arendonk, J.A.M. Genetic parameters for feed intake and feed efficiency in growing dairy heifers. Livest. Prod. Sci. 1991, 29, 49–59. [Google Scholar] [CrossRef]
- Tomlinson, D.J.; James, R.E.; McGilliard, E.D. Effect of varying levels of neutral detergent fiber and total digestible nutrients on intake and growth of Holstein heifers. J. Dairy Sci. 1991, 74, 537–545. [Google Scholar] [CrossRef]
- Van Soest, P.J. Nutritional Ecology of the Ruminant, 2nd ed.; Cornell University Press: New York, NY, USA, 1994; p. 528. [Google Scholar]
- West, J.W.; Mullinix, B.G.; Bernard, J.K. Effects of hot, humid weather on milk temperature, dry matter intake, and milk yield of lactating dairy cows. J. Dairy Sci. 2003, 86, 232–242. [Google Scholar] [CrossRef]
- Quigley, J.D.; James, R.E.; McGilliard, M.L. Dry matter intake in dairy heifers. 1. Factors affecting intake of heifers under intensive management. J. Dairy Sci. 1986, 69, 2855–2862. [Google Scholar] [CrossRef]
- Zimbelman, R.B.; Rhoads, R.P.; Rhoads, M.L.; Duff, G.C.; Baumgard, L.H.; Collier, R.J. A re-evaluation of the impact of temperature humidity index (THI) and black globe humidity index (BGHI) on milk production in high producing dairy cows. In Proceedings of the 22nd Southwest Nutrition and Management Conference, Tempe, AZ, USA, 22–23 February 2007; University of Arizona: Tucson, AZ, USA, 2009; pp. 158–168. [Google Scholar]
- Gantner, V.; Mijić, P.; Kuterovac, K.; Solić, D.; Gantner, R. Temperature-humidity index values and their significance on the daily production of dairy cattle. Mljekarstvo 2011, 61, 56–63. [Google Scholar]
- Nienaber, J.A.; Hahn, G.L. Livestock production system management responses to thermal challenges. Int. J. Biometeorol. 2007, 52, 149–157. [Google Scholar] [CrossRef] [PubMed]


| Description | Unity | Equation |
|---|---|---|
| SBW 1 | kg | |
| TDN 2 | % DM | |
| TDN 3 | % DM | |
| DE 1 | Mcal | |
| ME 1 | Mcal | |
| NEm 1 | Mcal | |
| NEg 1 | Mcal | |
| Intake prediction equations | ||
| HH | kg DM/day | |
| HHJ | kg DM/day | |
| QUI | kg DM/day | |
| STA | kg DM/day | |
| NRC | kg DM/day | |
| OFLin | kg DM/day | |
| OFNLin | kg DM/day | |
| Variable | No. Studies | % | No. Treatment Means | % | No. Heifers | % |
|---|---|---|---|---|---|---|
| Breed | ||||||
| Bos taurus | 16 | 26.2 | 56 | 25.0 | 346 | 22.9 |
| Crossbred 1 | 41 | 67.2 | 174 | 75.0 | 1167 | 77.1 |
| Both | 4 | 6.6 | – | – | – | – |
| Rearing system | ||||||
| Confinement | 48 | 78.7 | 189 | 82.2 | 1185 | 78.3 |
| Pasture | 6 | 9.8 | 8 | 3.5 | 168 | 11.1 |
| Pasture + Supplement | 7 | 11.5 | 33 | 14.3 | 160 | 10.6 |
| Type of publication | ||||||
| Scientific paper | 43 | 70.5 | 170 | 73.9 | 1089 | 72.0 |
| Congress paper | 1 | 1.6 | 2 | 0.9 | 24 | 1.6 |
| Master’s thesis | 13 | 21.3 | 43 | 18.7 | 314 | 20.8 |
| Ph.D.’s thesis | 4 | 6.6 | 15 | 6.5 | 86 | 5.6 |
| Country | ||||||
| Brazil | 50 | 81.9 | 188 | 81.7 | 1201 | 79.4 |
| Ethiopia | 3 | 5.0 | 14 | 6.1 | 94 | 6.2 |
| Mexico | 4 | 6.5 | 13 | 5.7 | 105 | 6.9 |
| Kenya | 3 | 5.0 | 11 | 4.8 | 97 | 6.4 |
| Thailand | 1 | 1.6 | 4 | 1.7 | 16 | 1.1 |
| Total | 61 | 100.0 | 230 | 100.0 | 1513 | 100.0 |
| Variables | Experimental and Animal Variables | |||||||
|---|---|---|---|---|---|---|---|---|
| Bos taurus | Crossbred | |||||||
| n | Mean | Median | Range | n | Mean | Median | Range | |
| Period of adaptation (days) | 30 | 17 | 15 | 10–45 | 121 | 19 | 15 | 10–45 |
| Experimental period (days) | 56 | 80 | 84 | 56–120 | 166 | 84 | 84 | 84–180 |
| Fasting (hours) | 28 | 14.13 | 16.00 | 12.00–16.00 | 68 | 13.56 | 14.00 | 12.00–16.00 |
| Age (days) | 40 | 295 | 356 | 90–512 | 113 | 358 | 397 | 107–702 |
| Initial BW (kg) | 56 | 197.25 | 181.00 | 58.70–403.83 | 174 | 213.15 | 198.30 | 75.72–412.83 |
| Mean BW (kg) | 56 | 234.74 | 238.41 | 133.85–424.79 | 174 | 249.02 | 241.50 | 127.84–430.07 |
| Final BW (kg) | 56 | 263.39 | 256.11 | 155.00–445.75 | 174 | 277.10 | 274.65 | 161.94–447.31 |
| ADG (kg) | 56 | 0.77 | 0.79 | 0.24–1.21 | 174 | 0.75 | 0.82 | −0.03–1.40 |
| FCE (kg/kg) | 20 | 9.27 | 7.69 | 5.78–16.67 | 84 | 7.78 | 6.64 | 4.01–21.35 |
| DMI (kg DM/day) | 56 | 6.53 | 6.30 | 3.46–10.50 | 174 | 6.20 | 6.03 | 2.63–10.68 |
| Variables | Dietary factors | |||||||
| Bos taurus | Crossbred | |||||||
| n | Mean | Median | Range | n | Mean | Median | Range | |
| % of Roughage (%) | 56 | 73.01 | 71.20 | 22.37–100.00 | 161 | 69.56 | 70.00 | 20.41–100.00 |
| DM (%) * | 36 | 45.71 | 40.45 | 12.30–90.51 | 144 | 54.46 | 48.97 | 12.38–92.47 |
| OM (% DM) | 42 | 91.20 | 93.15 | 79.60–97.90 | 121 | 92.55 | 92.74 | 86.04–97.40 |
| CP (% DM) | 47 | 14.26 | 14.20 | 7.98–22.63 | 164 | 13.76 | 13.78 | 7.06–22.10 |
| NDF (% DM) | 47 | 45.30 | 44.10 | 29.40–65.60 | 158 | 50.29 | 46.27 | 23.17–88.10 |
| ADF (% DM) | 32 | 26.84 | 27.10 | 16.80–34.70 | 119 | 26.50 | 23.93 | 15.39–45.00 |
| EE (% DM) | 18 | 2.14 | 1.62 | 0.80–5.53 | 114 | 2.52 | 2.40 | 0.80–6.75 |
| TCHO (% DM) | 10 | 81.67 | 81.29 | 76.68–86.03 | 41 | 77.59 | 77.01 | 72.20–88.35 |
| NFC (% DM) | 17 | 34.66 | 36.30 | 18.03–44.20 | 89 | 31.84 | 33.42 | 7.90–50.74 |
| MM (% DM) | 42 | 8.82 | 6.85 | 2.10–20.40 | 121 | 7.45 | 7.26 | 2.60–13.96 |
| TDN (% DM) | 56 | 64.79 | 63.96 | 52.60–81.87 | 174 | 63.96 | 65.42 | 42.70–76.28 |
| ADDM (%) | 31 | 65.82 | 66.08 | 52.25–80.55 | 114 | 64.57 | 65.00 | 22.50–75.61 |
| DE (Mcal/kg) | 56 | 2.86 | 2.82 | 2.32–3.61 | 174 | 2.82 | 2.88 | 1.88–3.36 |
| ME (Mcal/kg) | 56 | 2.43 | 2.40 | 1.89–3.20 | 174 | 2.40 | 2.46 | 1.45–2.95 |
| NEm (Mcal/kg) | 56 | 1.54 | 1.52 | 1.05–2.19 | 174 | 1.51 | 1.57 | 0.61–1.99 |
| NEg (Mcal/kg) | 56 | 0.94 | 0.92 | 0.50–1.51 | 174 | 0.91 | 0.97 | 0.08–1.34 |
| Statistics | Observed | HH | HHJ | QUI | STA | NRC | OFLin | OFNLin |
|---|---|---|---|---|---|---|---|---|
| DMI | 6.53 | 6.13 | 6.36 | 5.84 | 5.84 | 5.55 | 6.17 | 6.39 |
| R² | ‒ | 0.50 | 0.50 | 0.24 | 0.50 | 0.40 | 0.40 | 0.47 |
| MSPE | ‒ | 1.24 | 1.19 | 1.68 | 1.36 | 1.61 | 1.35 | 1.25 |
| MSPE, % mean | ‒ | 19.03 | 18.28 | 25.71 | 20.88 | 24.74 | 20.75 | 19.14 |
| MSPE decomposition (%) | ||||||||
| Mean Bias, % MSE | ‒ | 10.47 | 1.90 | 16.81 | 25.77 | 36.36 | 7.03 | 1.14 |
| Slope Bias, % MSE | ‒ | 0.23 | 1.09 | 8.82 | 0.11 | 0.14 | 3.43 | 5.45 |
| Dispersion, % MSE | ‒ | 89.30 | 97.01 | 74.36 | 74.12 | 63.50 | 89.54 | 93.40 |
| Mean Bias | ‒ | 0.40 | 0.16 | 0.69 | 0.69 | 0.97 | 0.36 | 0.13 |
| Slope Bias | ‒ | 0.05 | 0.12 | −0.38 | 0.04 | 0.06 | −0.19 | −0.20 |
| P-Mean Bias | ‒ | 0.0141 | 0.3061 | 0.0015 | 0.0001 | 0.0001 | 0.0463 | 0.4283 |
| P-Slope Bias | ‒ | 0.7079 | 0.4389 | 0.0143 | 0.7797 | 0.7352 | 0.1560 | 0.0815 |
| RSR | ‒ | 0.74 | 0.71 | 1.00 | 0.82 | 0.97 | 0.81 | 0.75 |
| CCC | ‒ | 0.63 | 0.63 | 0.43 | 0.59 | 0.44 | 0.60 | 0.67 |
| Statistics | Observed | HH | HHJ | QUI | STA | NRC | OFLin | OFNLin |
|---|---|---|---|---|---|---|---|---|
| DMI | 6.20 | 6.39 | 6.61 | 5.97 | 6.11 | 5.71 | 6.40 | 6.59 |
| R² | ‒ | 0.42 | 0.42 | 0.45 | 0.41 | 0.48 | 0.49 | 0.55 |
| MSPE | ‒ | 1.26 | 1.30 | 1.34 | 1.25 | 1.26 | 1.22 | 1.20 |
| MSPE, % mean | ‒ | 20.26 | 21.00 | 21.65 | 20.16 | 20.28 | 19.76 | 19.34 |
| MSPE decomposition (%) | ||||||||
| Mean Bias, % MSE | ‒ | 2.44 | 10.08 | 2.78 | 0.55 | 14.85 | 2.70 | 10.93 |
| Slope Bias, % MSE | ‒ | 1.79 | 0.47 | 17.58 | 2.13 | 0.53 | 8.95 | 8.75 |
| Dispersion, % MSE | ‒ | 95.77 | 89.45 | 79.64 | 97.32 | 84.61 | 88.35 | 80.32 |
| Mean Bias | ‒ | −0.20 | −0.41 | 0.22 | 0.09 | 0.48 | −0.20 | −0.40 |
| Slope Bias | ‒ | −0.14 | −0.08 | −0.34 | −0.15 | −0.08 | −0.25 | −0.23 |
| P-Mean Bias | ‒ | 0.0392 | 0.0001 | 0.0275 | 0.3293 | 0.0001 | 0.0298 | 0.0001 |
| P-Slope Bias | ‒ | 0.0744 | 0.3428 | 0.0001 | 0.0542 | 0.2987 | 0.0001 | 0.0001 |
| RSR | ‒ | 0.78 | 0.81 | 0.83 | 0.77 | 0.78 | 0.76 | 0.74 |
| CCC | ‒ | 0.62 | 0.58 | 0.66 | 0.62 | 0.63 | 0.69 | 0.72 |
Publisher’s Note: MDPI stays neutral with regard to jurisdictional claims in published maps and institutional affiliations. |
© 2021 by the authors. Licensee MDPI, Basel, Switzerland. This article is an open access article distributed under the terms and conditions of the Creative Commons Attribution (CC BY) license (https://creativecommons.org/licenses/by/4.0/).
Share and Cite
Busanello, M.; Sousa, D.G.d.; Mendonça, F.A.C.; Daley, V.L.; Almeida, R.d.; Bittar, C.M.M.; Lanna, D.P.D. Feed Intake of Growing Dairy Heifers Raised under Tropical Conditions: A Model Evaluation Using Meta-Analysis. Animals 2021, 11, 3181. https://doi.org/10.3390/ani11113181
Busanello M, Sousa DGd, Mendonça FAC, Daley VL, Almeida Rd, Bittar CMM, Lanna DPD. Feed Intake of Growing Dairy Heifers Raised under Tropical Conditions: A Model Evaluation Using Meta-Analysis. Animals. 2021; 11(11):3181. https://doi.org/10.3390/ani11113181
Chicago/Turabian StyleBusanello, Marcos, Debora Gomes de Sousa, Filipe Araújo Canedo Mendonça, Veridiana Lourenço Daley, Rodrigo de Almeida, Carla Maris Machado Bittar, and Dante Pazzanese Duarte Lanna. 2021. "Feed Intake of Growing Dairy Heifers Raised under Tropical Conditions: A Model Evaluation Using Meta-Analysis" Animals 11, no. 11: 3181. https://doi.org/10.3390/ani11113181
APA StyleBusanello, M., Sousa, D. G. d., Mendonça, F. A. C., Daley, V. L., Almeida, R. d., Bittar, C. M. M., & Lanna, D. P. D. (2021). Feed Intake of Growing Dairy Heifers Raised under Tropical Conditions: A Model Evaluation Using Meta-Analysis. Animals, 11(11), 3181. https://doi.org/10.3390/ani11113181

