The Effect of FATP1 on Adipocyte Differentiation in Qinchuan Beef Cattle
Abstract
:Simple Summary
Abstract
1. Introduction
2. Materials and Methods
2.1. Sample Collection
2.2. Chemical Synthesis and Transfection of siRNA
2.3. Construction of FATP1 Overexpression Adenovirus Vector
2.4. Bovine Preadipocyte Isolation and Culture
2.5. Preadipocyte Differentiation, Transfection and Infection
2.6. Oil Red O Staining
2.7. Total RNA Extraction and qRT-PCR Analysis
2.8. Total Protein Extraction and Western Blotting
2.9. RNA Sequencing and Functional Enrichment Analysis of DEGs
2.10. Statistical Analysis
3. Results
3.1. FATP1 Expression Patterns in Qinchuan Cattle Tissues and Differentiated Preadipocytes
3.2. Overexpression of FATP1 Promotes Preadipocyte Differentiation in Qinchuan Cattle
3.3. Interference of FATP1 Expression Inhibits Preadipocyte Differentiation in Qinchuan Cattle
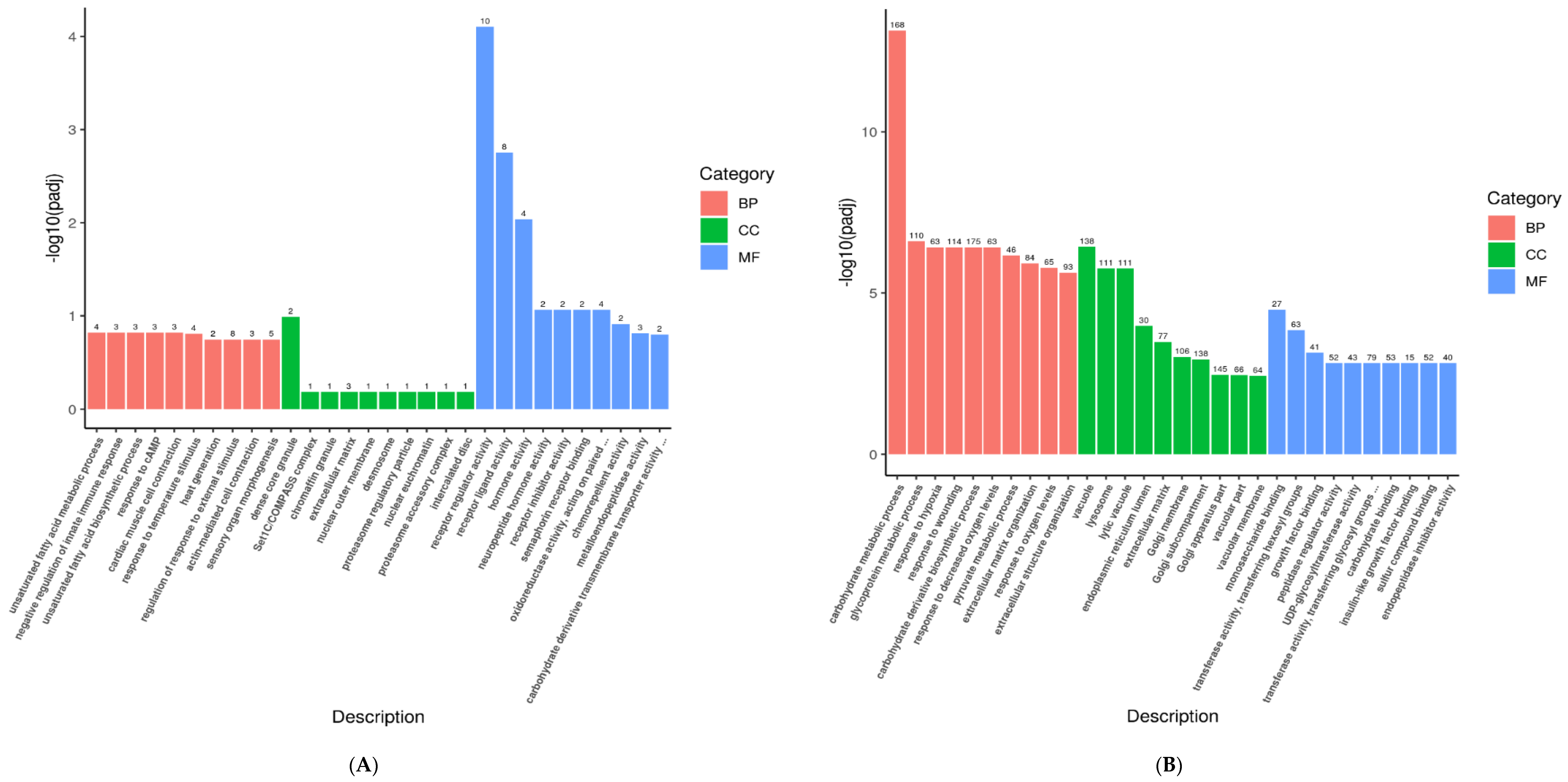
3.4. Transcriptome Sequencing and Annotation of DEGs
3.5. Validation and Dynamic Expression of DEGs in the Adipocytes of Qinchuan Cattle
4. Discussion
5. Conclusions
Supplementary Materials
Author Contributions
Funding
Institutional Review Board Statement
Conflicts of Interest
References
- Arif, A.; Terenzi, F.; Potdar, A.A.; Jia, J.; Sacks, J.; China, A.; Halawani, D.; Vasu, K.; Li, X.; Brown, J.M.; et al. Eprs is a critical mtorc1-S6k1 effector that influences adiposity in mice. Nature 2017, 542, 357–361. [Google Scholar] [CrossRef] [PubMed]
 - Huang, J.; Zhu, R.; Shi, D. The Role of Fatp1 in Lipid Accumulation: A Review. Mol. Cell Biochem. 2021, 476, 1897–1903. [Google Scholar] [CrossRef] [PubMed]
 - Martin, G.; Nemoto, M.; Gelman, L.; Geffroy, S.; Najib, J.; Fruchart, J.C.; Roevens, P.; de Martinville, B.; Deeb, S.; Auwerx, J. The Human fatty acid transport protein-1 (SLC27A1; FATP-1) Cdna and gene: Organization, chromosomal localization, and expression. Genomics 2000, 66, 296–304. [Google Scholar] [CrossRef] [PubMed]
 - Schaffer, J.E.; Lodish, H.F. Expression cloning and characterization of a novel adipocyte long chain fatty acid transport protein. Cell 1994, 79, 427–436. [Google Scholar] [CrossRef]
 - Watkins, P.A.; Lu, J.F.; Steinberg, S.J.; Gould, S.J.; Smith, K.D.; Braiterman, L.T. Disruption of the saccharomyces cerevisiae fat1 gene decreases very long-chain fatty acyl-coa synthetase activity and elevates intracellular very long-chain fatty acid concentrations. J. Biol. Chem. 1998, 273, 18210–18219. [Google Scholar] [CrossRef] [PubMed] [Green Version]
 - DiRusso, C.C.; Li, H.; Darwis, D.; Watkins, P.A.; Berger, J.; Black, P.N. Comparative biochemical studies of the murine fatty acid transport proteins (fatp) expressed in yeast. J. Biol. Chem. 2005, 280, 16829–16837. [Google Scholar] [CrossRef] [Green Version]
 - Hatch, G.M.; Smith, A.J.; Xu, F.Y.; Hall, A.M.; Bernlohr, D.A. Fatp1 channels exogenous Fa into 1,2,3-Triacyl-Sn-Glycerol and down-regulates sphingomyelin and cholesterol metabolism in growing 293 cells. J. Lipid Res. 2002, 43, 1380–1389. [Google Scholar] [CrossRef] [PubMed] [Green Version]
 - Lobo, S.; Wiczer, B.M.; Smith, A.J.; Hall, A.M.; Bernlohr, D.A. Fatty acid metabolism in adipocytes: Functional analysis of fatty acid transport proteins 1 and 4. J. Lipid Res. 2007, 48, 609–620. [Google Scholar] [CrossRef] [PubMed] [Green Version]
 - Qi, R.; Chen, Y.; Peng, H.; Liu, Y.; Huang, J.; Yang, F. Fatty acid transport protein 1: Expression pattern in different tissues of rongchang pigs and correlation with intramuscular fat deposition. Chin. J. Anim. Nutr. 2014, 26, 2730–2735. [Google Scholar]
 - Chen, X.; Luo, Y.; Wang, R.; Zhou, B.; Huang, Z.; Jia, G.; Zhao, H.; Liu, G. Effects of fatty acid transport protein 1 on proliferation and differentiation of porcine intramuscular preadipocytes. Anim. Sci. J. 2017, 88, 731–738. [Google Scholar] [CrossRef] [PubMed]
 - Qi, R.; Feng, M.; Tan, X.; Gan, L.; Yan, G.; Sun, C. Fatp1 silence inhibits the differentiation and induces the apoptosis in chicken preadipocytes. Mol. Biol. Rep. 2013, 40, 2907–2914. [Google Scholar] [CrossRef]
 - Jeong, J.; Kwon, E.G.; Im, S.K.; Seo, K.S.; Baik, M. Expression of fat deposition and fat removal genes is associated with intramuscular fat content in longissimus dorsi muscle of korean cattle steers1. J. Anim. Sci. 2012, 90, 2044–2053. [Google Scholar] [CrossRef]
 - Ordovás, L.; Roy, R.; Zaragoza, P.; Rodellar, C. Structural and functional characterization of the bovine solute carrier family 27 member 1 (SLC27A1) gene. Cytogenet. Genome Res. 2006, 115, 115–122. [Google Scholar] [CrossRef] [PubMed]
 - Majchrzak-Gorecka, M.; Majewski, P.; Grygier, B.; Murzyn, K.; Cichy, J. Secretory Leukocyte Protease Inhibitor (Slpi), a Multifunctional Protein in the Host Defense Response. Cytokine Growth Factor Rev. 2016, 28, 79–93. [Google Scholar] [CrossRef] [PubMed]
 - Liu, C.; Wang, J.; Wei, Y.; Zhang, W.; Geng, M.; Yuan, Y.; Chen, Y.; Sun, Y.; Chen, H.; Zhang, Y.; et al. Fat-specific knockout of mecp2 upregulates slpi to reduce obesity by enhancing browning. Diabetes 2020, 69, 35–47. [Google Scholar] [CrossRef] [PubMed]
 - Qiu, W.; Hu, Y.; Andersen, T.E.; Jafari, A.; Li, N.; Chen, W.; Kassem, M. Tumor necrosis factor receptor superfamily member 19 (tnfrsf19) regulates differentiation fate of human mesenchymal (stromal) stem cells through canonical wnt signaling and C/Ebp. J. Biol. Chem. 2010, 285, 14438–14449. [Google Scholar] [CrossRef] [PubMed] [Green Version]
 - Yada, T.; Sakurada, M.; Ihida, K.; Nakata, M.; Murata, F.; Arimura, A.; Kikuchi, M. Pituitary adenylate cyclase activating polypeptide is an extraordinarily potent intra-pancreatic regulator of insulin secretion from islet beta-cells. J. Biol. Chem. 1994, 269, 1290–1293. [Google Scholar] [CrossRef]
 - Gray, S.L.; Cummings, K.J.; Jirik, F.R.; Sherwood, N.M. Targeted disruption of the pituitary adenylate cyclase-activating polypeptide gene results in early postnatal death associated with dysfunction of lipid and carbohydrate metabolism. Mol. Endocrinol. 2001, 15, 1739–1747. [Google Scholar] [CrossRef]
 - Tomimoto, S.; Ojika, T.; Shintani, N.; Hashimoto, H.; Hamagami, K.; Ikeda, K.; Nakata, M.; Yada, T.; Sakurai, Y.; Shimada, T.; et al. Markedly reduced white adipose tissue and increased insulin sensitivity in adcyap1-deficient mice. J. Pharmacol. Sci. 2008, 107, 41–48. [Google Scholar] [CrossRef] [PubMed] [Green Version]
 - Zhao, Y.; Yang, G.; Wu, N.; Cao, X.; Gao, J. Integrated transcriptome and phosphoproteome analyses reveal that fads2 is critical for maintaining body lc-pufa homeostasis. J. Proteom. 2020, 229, 103967. [Google Scholar] [CrossRef]
 - Proskura, W.S.; Liput, M.; Zaborski, D.; Sobek, Z.; Yu, Y.H.; Cheng, Y.H.; Dybus, A. The effect of polymorphism in the fads2 gene on the fatty acid composition of bovine milk. Arch. Anim. Breed 2019, 62, 547–555. [Google Scholar] [CrossRef]
 - Li, M.; Lu, X.; Gao, Q.; Wang, M.; Arbab, A.A.I.; Sun, Y.; Chen, Z.; Zhang, H.; Karrow, N.A.; Yang, Z.; et al. A functional 3′ utr polymorphism of fads2 affects cow milk composition through modifying mir-744 binding. Animals 2019, 9, 1090. [Google Scholar] [CrossRef] [Green Version]
 - Ralston, J.C.; Matravadia, S.; Gaudio, N.; Holloway, G.P.; Mutch, D.M. Polyunsaturated fatty acid regulation of adipocyte fads1 and fads2 expression and function. Obesity 2015, 23, 725–728. [Google Scholar] [CrossRef] [PubMed] [Green Version]
 - Triki, M.; Rinaldi, G.; Planque, M.; Broekaert, D.; Winkelkotte, A.M.; Maier, C.R.; Raman, S.J.; Vandekeere, A.; van Elsen, J.; Orth, M.F.; et al. Mtor signaling and srebp activity increase fads2 expression and can activate sapienate biosynthesis. Cell Rep. 2020, 31, 107806. [Google Scholar] [CrossRef] [PubMed]
 - Dong, X.; Tan, P.; Cai, Z.; Xu, H.; Li, J.; Ren, W.; Xu, H.; Zuo, R.; Zhou, J.; Mai, K.; et al. Regulation of fads2 transcription by srebp-1 and ppar-α influences lc-pufa biosynthesis in fish. Sci. Rep. 2017, 7, 40024. [Google Scholar] [CrossRef] [PubMed]
 - Liu, K.; Lin, L.; Li, Q.; Xue, Y.; Zheng, F.; Wang, G.; Zheng, C.; Du, L.; Hu, M.; Huang, Y.; et al. Scd1 controls de novo beige fat biogenesis through succinate-dependent regulation of mitochondrial complex Ii. Proc. Natl. Acad. Sci. USA 2020, 117, 2462–2472. [Google Scholar] [CrossRef] [PubMed]
 - Zou, Y.; Wang, Y.N.; Ma, H.; He, Z.H.; Tang, Y.; Guo, L.; Liu, Y.; Ding, M.; Qian, S.W.; Tang, Q.Q. Scd1 promotes lipid mobilization in subcutaneous white adipose tissue. J. Lipid Res. 2020, 61, 1589–1604. [Google Scholar] [CrossRef]
 - Eckel, R.H. Lipoprotein lipase. A multifunctional enzyme relevant to common metabolic diseases. N. Engl. J. Med. 1989, 320, 1060–1068. [Google Scholar]
 - Goldberg, I.J.; Merkel, M. Lipoprotein lipase: Physiology, biochemistry, and molecular biology. Front. Biosci. 2001, 6, D388–D405. [Google Scholar]
 - Semenkovich, C.F.; Wims, M.; Noe, L.; Etienne, J.; Chan, L. Insulin regulation of lipoprotein lipase activity in 3t3-L1 Adipocytes is mediated at posttranscriptional and posttranslational levels. J. Biol. Chem. 1989, 264, 9030–9038. [Google Scholar] [CrossRef]
 - Gonzales, A.M.; Orlando, R.A. Role of adipocyte-derived lipoprotein lipase in adipocyte hypertrophy. Nutr. Metab. 2007, 4, 22. [Google Scholar] [CrossRef] [PubMed] [Green Version]
 - Wu, Z.; Ma, H.; Wang, L.; Song, X.; Zhang, J.; Liu, W.; Ge, Y.; Sun, Y.; Yu, X.; Wang, Z.; et al. Tumor suppressor Zhx2 inhibits nafld-hcc progression via blocking lpl-mediated lipid uptake. Cell Death Differ. 2020, 27, 1693–1708. [Google Scholar] [CrossRef] [PubMed]
 












| siRNA Name | Sequence | 
|---|---|
| siRNA1 siRNA2 siRNA3 siNC  | 5′-3′ CCAACGCUGUGGCCAACUUTT 5′-3′ AAGUUGGCCACAGCGUUGGTT 5′-3′ GCAUGGAUGAUCGACUCUUTT 5′-3′ AAGAGUCGAUCAUCCAUGCTT 5′-3′ GCGUGGGUCAGUGUCUCAUT 5′-3′ AUGAGACACUGAACGCCCCTT 5′-3′ ACGUUUCUCCGAGCACGUTT 5′-3′ CGUUACGUGACACGGAGAATT  | 
| Primer | Sequence (5′-3′) | Fragment Size (bp) | 
|---|---|---|
| FATP1-F | AAGAGCCTGGTCAACTG | 186 | 
| FATP1-R | TAGGAGTAGTGCCCTGC | |
| β-actin-F | CATCAATGAGCGTCGGTTCC | 147 | 
| β-actin-R | CCGTGGCGTAGCAGAGGTC | |
| PPAR-γ-F | GAGATGAGTACACACGCCAAG | 216 | 
| PPAR-γ-R | GGGCTAAAGTCCATCACCAA | |
| LPL-F | GATGATGCGGATTTTGTAGACG | 156 | 
| LPL-R | GTTGGAAAGTGCCTCCGTTAG | |
| C/EBP-β-F | TTCCTCTCCGACCTCTTCTC | 173 | 
| C/EBP-β-R | CCAGACTCACGTAGCCGTACT | |
| SLPI-F | AGACGACCAGTGCGTAGGTA | 143 | 
| SLPI-R | TCCCAAACGGCAGGAATCAG | |
| STC1-F | AGTGATTCGCTGCCTCAACA | 107 | 
| STC1-R | CTCCTGGACTTCGGCAATCA | |
| AKR1C1-F | TCGATGGCCTCAACAGCAAT | 186 | 
| AKR1C1-R | TGGGGAAGACAAGAATCAATGC | |
| SEMA6A-F | GGGCTGCTTTCCCAGAAGAT | 209 | 
| SEMA6A-R | TATGGTCCCTGGCAGCAATG | |
| HOXA4-F | AGAAGATCCATGTCAGCGCC | 194 | 
| HOXA4-R | CGGGTCAGGTAGCGGTTAAA | |
| TNFRSF19-F | GCTAGTGAGGAGCCGACCC | 174 | 
| TNFRSF19-R | TCTGTTGCCTGAGTAGCACG | |
| SLN-F | CAGCCCAGTGTGTCCTTGAC | 216 | 
| SLN-R | AGGCAAACTTCTGAGGGCAC | |
| PTGS2-F | TTGGCTACGGGAACACAACA | 159 | 
| PTGS2-R | AAGGGGATGCCAGTGGTAGA | 
Publisher’s Note: MDPI stays neutral with regard to jurisdictional claims in published maps and institutional affiliations.  | 
© 2021 by the authors. Licensee MDPI, Basel, Switzerland. This article is an open access article distributed under the terms and conditions of the Creative Commons Attribution (CC BY) license (https://creativecommons.org/licenses/by/4.0/).
Share and Cite
Liu, X.; Li, S.; Wang, L.; Zhang, W.; Wang, Y.; Gui, L.; Zan, L.; Zhao, C. The Effect of FATP1 on Adipocyte Differentiation in Qinchuan Beef Cattle. Animals 2021, 11, 2789. https://doi.org/10.3390/ani11102789
Liu X, Li S, Wang L, Zhang W, Wang Y, Gui L, Zan L, Zhao C. The Effect of FATP1 on Adipocyte Differentiation in Qinchuan Beef Cattle. Animals. 2021; 11(10):2789. https://doi.org/10.3390/ani11102789
Chicago/Turabian StyleLiu, Xuchun, Shijun Li, Liyun Wang, Weiyi Zhang, Yujuan Wang, Linsheng Gui, Linsen Zan, and Chunping Zhao. 2021. "The Effect of FATP1 on Adipocyte Differentiation in Qinchuan Beef Cattle" Animals 11, no. 10: 2789. https://doi.org/10.3390/ani11102789
APA StyleLiu, X., Li, S., Wang, L., Zhang, W., Wang, Y., Gui, L., Zan, L., & Zhao, C. (2021). The Effect of FATP1 on Adipocyte Differentiation in Qinchuan Beef Cattle. Animals, 11(10), 2789. https://doi.org/10.3390/ani11102789
        
                                                