Development of a Benchmarking Tool for Dairy Herd Management Using Routinely Collected Herd Records
Simple Summary
Abstract
1. Introduction
2. Materials and Methods
2.1. Selection of Indicators
2.2. Aggregation to a Composite Index
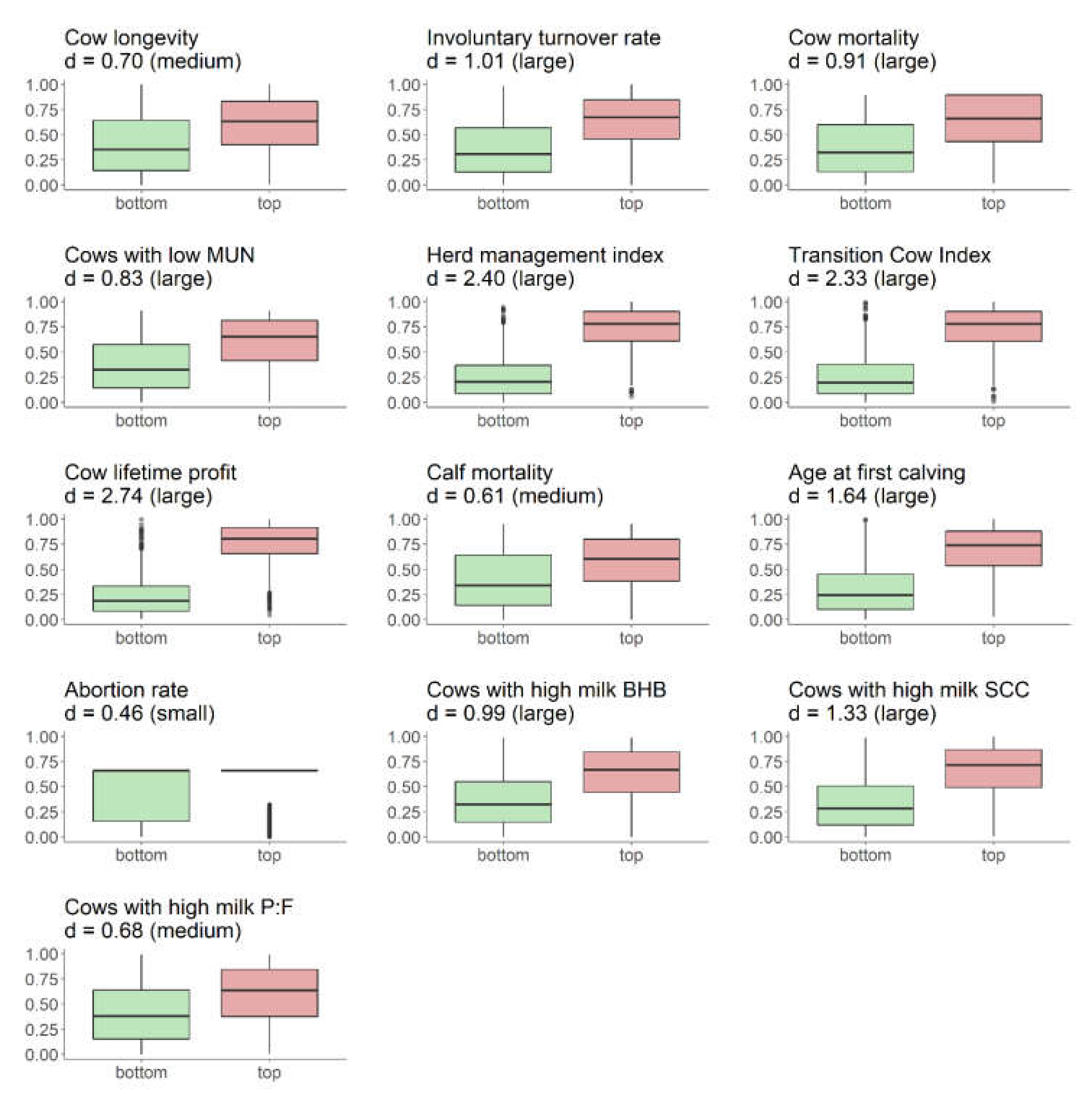
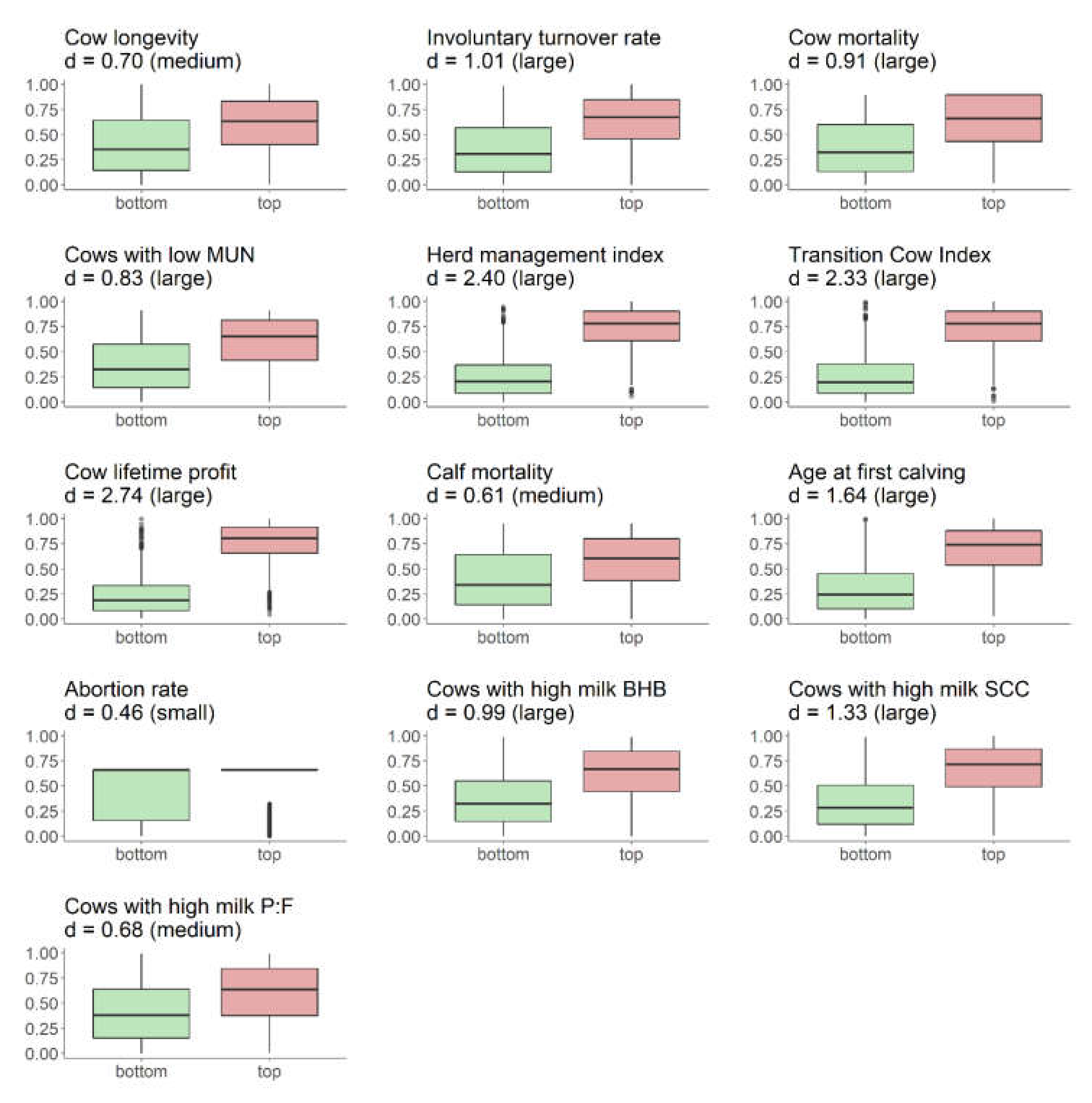
2.3. Validation of the Composite Index
3. Results and Discussion
3.1. Composite Herd Status Index
3.2. Robustness of the Composite Index
3.3. Composite Index Approach
3.4. Practical Implications and Limitations
4. Conclusions
Author Contributions
Funding
Conflicts of Interest
Ethical Statement
Appendix A
Indexing Methods for Evaluating the Robustness of the Composite Index

References
- Knierim, U.; Winckler, C. On-farm welfare assessment in cattle: Validity, reliability and feasibility issues and future perspectives with special regard to the Welfare Quality® approach. Anim. Welf. 2009, 18, 451–458. [Google Scholar]
- Vasseur, E. Invited Symposium Paper: Optimizing outcome measures of welfare in dairy cattle assessment. J. Anim. Sci. 2017, 9, 1365–1371. [Google Scholar] [CrossRef]
- De Vries, M.; Bokkers, E.A.M.; Dijkstra, T.; van Schaik, G.; de Boer, I.J.M. Invited review: Associations between variables of routine herd data and dairy cattle welfare indicators. J. Dairy Sci. 2011, 94, 3213–3228. [Google Scholar] [CrossRef] [PubMed]
- Sandgren, C.H.; Lindberg, A.; Keeling, L.J. Using a national dairy database to identify herds with poor welfare. Anim. Welf. 2009, 18, 523–532. [Google Scholar]
- Nyman, A.-K.; Lindberg, A.; Sandgren, C.H. Can pre-collected register data be used to identify dairy herds with good cattle welfare? Acta Vet. Scand. 2011, 53 (Suppl. 1). [Google Scholar] [CrossRef] [PubMed]
- De Vries, M.; Bokkers, E.A.M.; van Schaik, G.; Engel, B.; Dijkstra, T.; de Boer, I.J.M. Exploring the value of routinely collected herd data for estimating dairy cattle welfare. J. Dairy Sci. 2014, 97, 715–730. [Google Scholar] [CrossRef] [PubMed]
- Tondo, A. How performance recording data can reveal herd animal welfare level: Building an useful tool for Italian breeders. In Proceedings of the 39th ICAR Biennial Session, Berlin, Germany, 19–23 May 2014; International Committee for Animal Recording: Rome, Italy, 2014. [Google Scholar]
- Østerås, O. Norway: The Animal Welfare Index. An example of application of OIE and ISO standard using the animal recording system. In IDF Animal Health Report; International Dairy Federation: Brussels, Belgium, 2018. [Google Scholar]
- Zahm, F.; Viaux, P.; Vilain, L.; Girardin, P.; Mouchet, C. Assessing farm sustainability with the IDEA method — From the concept of agriculture sustainability to case studies on farms. Sustain. Dev. 2008, 16, 271–281. [Google Scholar] [CrossRef]
- Hsu, A.; Emerson, J.; Levy, M.; de Sherbinin, A.; Johnson, L.; Malik, O.; Schwartz, J.; Jaiteh, M. The 2014 Environmental Performance Index; Yale Center for Environmental Law and Policy: New Haven, CT, USA, 2016; Available online: http://www.epi.yale.edu (accessed on 17 September 2020).
- Bonny, B.P.; Prasad, R.M.; Paulose, S. Agro-ecosystem Performance Index (API)—A quantitative approach to evaluate the sustainability of rice production systems. J. Sustain. Agric. 2010, 34, 758–777. [Google Scholar] [CrossRef]
- Nordlund, K. Transition Cow IndexTM. In Proceedings of the 39th Annual Conference of American Association Bovine Practitioners, St. Paul, MN, USA, 20–24 September 2006; American Association of Bovine Practitioners: Ashland, OH, USA, 2006; pp. 139–143. [Google Scholar]
- Cohen, J. Statistical Power Analysis for the Behavioral Sciences, 2nd ed.; Lawrence Erlbaum Associates: New York, NY, USA, 1988; ISBN 0-8058-0283-5. [Google Scholar]
- Cohen, J. A power primer. Psychol. Bull. 1992, 112, 155–159. [Google Scholar] [CrossRef] [PubMed]
- OECD. Handbook on Constructing Composite Indicators. Methodology and User Guide; OECD Publications: Paris, France; Organisation for Economic Co-Operation and Development: Paris, France, 2008; ISBN 978-92-64-04345-9. [Google Scholar]
- Wooldridge, J.M. Introductory Econometrics: A Modern Approach, 5th ed.; Southwestern: Mason, OH, USA, 2013. [Google Scholar]
- Haskell, M.J.; Vasseur, E.; Mosconi, C.; Egger-Danner, C. A survey on the use of welfare indicators. In Proceedings of the 43rd ICAR Conference, Prague, Czech Republic, 17–21 June 2019; International Committee for Animal Recording: Rome, Italy, 2019. [Google Scholar]
- Sandøe, P.; Corr, S.A.; Lund, T.B.; Forkman, B. Aggregating animal welfare indicators: Can it be done in a transparent and ethically robust way? Anim. Welf. 2019, 28, 67–76. [Google Scholar] [CrossRef]
- Fraser, D.; Weary, D.M.; Pajor, E.A.; Milligan, B.N. A scientific conception of animal welfare that reflects ethical concerns. Anim. Welf. 1997, 6, 187–205. [Google Scholar]
- Guesgen, M.J.; Bench, C.J. What can kinematics tell us about the affective states of animals? Anim. Welf. 2017, 26, 383–397. [Google Scholar] [CrossRef]
- Eckelkamp, E.A.; Bewley, J.M. On-farm use of disease alerts generated by precision dairy technology. J. Dairy Sci. 2020, 103, 1566–1582. [Google Scholar] [CrossRef] [PubMed]
- Warner, D.; Vasseur, E.; Lefebvre, D.M.; Lacroix, R. A machine learning based decision aid for lameness in dairy herds using farm-based records. Comput. Electron. Agric. 2020, 169, 105193. [Google Scholar] [CrossRef]
- Brouwer, H.; Stegeman, J.A.; Straatsma, J.W.; Hooijer, G.A.; van Schaik, G. The validity of a monitoring system based on routinely collected dairy cattle health data relative to a standardized herd check. Prev. Vet. Med. 2015, 122, 76–82. [Google Scholar] [CrossRef] [PubMed]
- Leach, K.A.; Whay, H.R.; Maggs, C.M.; Barker, Z.E.; Paul, E.S.; Bell, A.K.; Main, D.C.J. Working towards a reduction in cattle lameness: 2. Understanding dairy farmers’ motivations. Res. Vet. Sci. 2010, 89, 318–323. [Google Scholar] [CrossRef] [PubMed]



| Category | Indicator |
|---|---|
| Identification and registration | Cohort (birth year) 1, birth date 1, herd size 1, region 1, type of housing 1, milking system 1, certified organic 1, breed 1 |
| Longevity | Number primiparous 1, number heifers 1, number lactating cows 1, persistency lactation 1, age at first calving, calf mortality 0–24 h, calf mortality >24 h 2, heifer mortality 2, heifers dead 2, cow mortality, cow longevity, turnover rate 1, voluntary turnover 1, involuntary replacement for cows, total involuntary replacement for heifers 2, number cows left 1, number cows left at 60 DIM 1, cows sold 1, cows dead 1, cows left for reproduction issues 2, cows left for mastitis 2, cows left for feet problems 2, cows left for unknown reasons1 |
| Nutrition, production and profitability | Days in milk 1, milk yield 1, milk fat yield 1, milk protein yield 1, milk lactose yield 1, body weight for lactating cows 3, fat 1, protein1, lactose1, milk urea nitrogen (MUN) 1, somatic cell count (SCC) 1, somatic cell score1, beta-hydroxybutyrate (BHB) 1, freezing point 1, cows with low MUN (<5), cows with high MUN (>18) 1, cows with high milk protein-to-fat ratio (<1.1),genetic potential 1, genetic index for milk 1, genetic index for milk fat 1, genetic index for milk protein 1, herd management index 4, herd management index for milk 1, herd management index for milk fat 1, herd management index for milk protein 1, transition cow index 5, cow lifetime profit rank 6 |
| Young stock, reproduction | Calving date 1, daily gain 0–15 months 3, daily gain 15–24 months 3, body condition score (BCS) 3, cows with low and high BCS 3, age at first calving, average calving interval 1, pregnancy rate 1, days dry 1, days to breeding 1, number of breeding service per cow 1, cows with high BHB (>0.2), cows with high SCC (>400,000), abortion rate |
| Indicators | Herd Prevalence | ||||
|---|---|---|---|---|---|
| Mean | p1 | Median | p99 | N | |
| Longevity | |||||
| Cow longevity, 1 % | 41.4 | 19.2 | 41.4 | 63.9 | 4317 |
| Involuntary replacement rate, 2 % | 28.4 | 8.2 | 27.7 | 56.8 | 4315 |
| Cow mortality, % | 4.4 | 0.0 | 3.4 | 18.8 | 4317 |
| Nutrition, production and profitability | |||||
| Cows with low MUN, 3 % | 3.6 | 0.0 | 1.6 | 27.7 | 3227 |
| Cows with high milk P:F 4 % | 3.6 | 0.0 | 2.6 | 17.0 | 4294 |
| Herd management index 5 | −362 | −3597 | −321 | 2459 | 4207 |
| Transition cow index 6 | 225 | −838 | 239 | 1191 | 4318 |
| Cow lifetime profit rank 7 | 50.4 | 2.0 | 50.5 | 99.0 | 4210 |
| Young stock and reproduction | |||||
| Calf mortality, 8 % | 8.1 | 0.0 | 7.4 | 27.4 | 4320 |
| Age at first calving, months | 26.2 | 22.9 | 25.5 | 34.9 | 4321 |
| Abortion rate, % | 0.8 | 0.0 | 0.0 | 5.9 | 4321 |
| Cows with high BHB, 9 % | 2.1 | 0.0 | 1.6 | 9.5 | 4294 |
| Cows with high SCC, 10 % | 12.6 | 2.9 | 12.0 | 27.7 | 4295 |
© 2020 by the authors. Licensee MDPI, Basel, Switzerland. This article is an open access article distributed under the terms and conditions of the Creative Commons Attribution (CC BY) license (http://creativecommons.org/licenses/by/4.0/).
Share and Cite
Warner, D.; Vasseur, E.; Villettaz Robichaud, M.; Adam, S.; Pellerin, D.; Lefebvre, D.M.; Lacroix, R. Development of a Benchmarking Tool for Dairy Herd Management Using Routinely Collected Herd Records. Animals 2020, 10, 1689. https://doi.org/10.3390/ani10091689
Warner D, Vasseur E, Villettaz Robichaud M, Adam S, Pellerin D, Lefebvre DM, Lacroix R. Development of a Benchmarking Tool for Dairy Herd Management Using Routinely Collected Herd Records. Animals. 2020; 10(9):1689. https://doi.org/10.3390/ani10091689
Chicago/Turabian StyleWarner, Daniel, Elsa Vasseur, Marianne Villettaz Robichaud, Steve Adam, Doris Pellerin, Daniel M. Lefebvre, and René Lacroix. 2020. "Development of a Benchmarking Tool for Dairy Herd Management Using Routinely Collected Herd Records" Animals 10, no. 9: 1689. https://doi.org/10.3390/ani10091689
APA StyleWarner, D., Vasseur, E., Villettaz Robichaud, M., Adam, S., Pellerin, D., Lefebvre, D. M., & Lacroix, R. (2020). Development of a Benchmarking Tool for Dairy Herd Management Using Routinely Collected Herd Records. Animals, 10(9), 1689. https://doi.org/10.3390/ani10091689

