Novel Encapsulated Calcium Butyrate Supplement Enhances On-Farm Dairy Calf Growth Performance and Body Conformation in a Pasture-Based Dairy Production System
Simple Summary
Abstract
1. Introduction
2. Materials and Methods
2.1. Experimental Site and Animal Ethics
2.2. Animals, Treatments, and Experimental Design
2.3. Feed Intake, Body Weight, and Body Conformation Measurements
2.4. Experimental Diet and Nutrient Analysis
2.5. Statistical Analysis
3. Results
3.1. Pre-Weaning Feed Intake
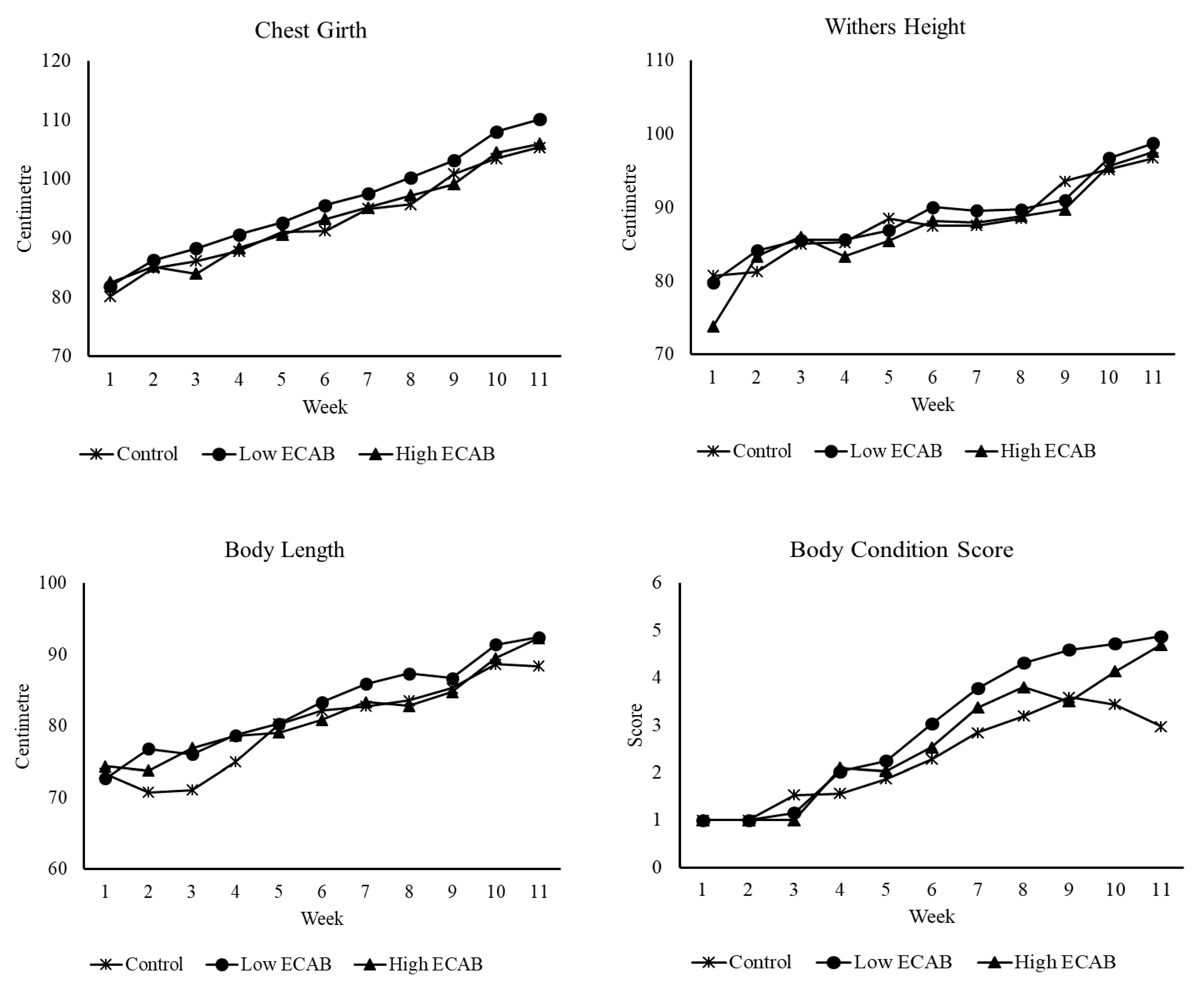
3.2. Pre-Weaning Growth and Body Conformation
3.3. Post-Weaning Growth
4. Discussion
5. Conclusions
Author Contributions
Funding
Acknowledgments
Conflicts of Interest
References
- Guggeri, D.; Meikle, A.M.; Carriquiry, M.F.; de Barbieri, I.; Viñoles, C. Effect of different management systems on growth, endocrine parameters and puberty in Hereford female calves grazing Campos grassland. Livest. Sci. 2014, 167, 455–462. [Google Scholar] [CrossRef]
- Reis, M.M.; Cooke, R.F.; Cappellozza, B.I.; Marques, R.S.; Guarnieri Filho, T.A.; Rodrigues, M.C.; Bradley, J.S.; Mueller, C.J.; Keisler, D.H.; Johnson, S.E.; et al. Creep-feeding to stimulate metabolic imprinting in nursing beef heifers: Impacts on heifer growth, reproductive and physiological variables. Animals 2015, 9, 1500–1508. [Google Scholar] [CrossRef] [PubMed]
- Pereira, G.R.; Barcellos, J.O.J.; Sessim, A.G.; Tarouco, J.U.; Feijó, F.D.; Neto, J.B.; Prates, Ê.R.; Canozzi, M.E.A. Relationship of post-weaning growth and age at puberty in crossbred beef heifers. Rev. Bras. Zootec. 2017, 46, 413–420. [Google Scholar] [CrossRef]
- Hoffman, P.C.; Funk, D.A. Applied dynamics of dairy replacement growth and management. J. Dairy Sci. 1992, 75, 2504. [Google Scholar] [CrossRef]
- Soberon, F.; Raffrenato, E.; Everett, R.W.; van Amburgh, M.E. Preweaning milk replacer intake and effects on long-term productivity of dairy calves. J. Dairy Sci. 2012, 95, 783–793. [Google Scholar] [CrossRef] [PubMed]
- Guilloteau, P.; Zabielski, R.; David, J.; Blum, J.; Morisset, J.; Biernat, M.; Woliński, J.; Laubitz, D.; Hamon, Y. Sodium-butyrate as a growth promoter in milk replacer formula for young calves. J. Dairy Sci. 2009, 92, 1038–1049. [Google Scholar] [CrossRef]
- Guilloteau, P.; Martin, L.; Eeckhaut, V.; Ducatelle, R.; Zabielski, R.; van Immerseel, F. From the gut to the peripheral tissues: The multiple effects of butyrate. Nutr. Res. Rev. 2010, 23, 1–20. [Google Scholar] [CrossRef]
- Shen, J.; Obin, M.S.; Zhao, L. The gut microbiota, obesity and insulin resistance. Mol. Asp. Med. 2013, 34, 39–58. [Google Scholar] [CrossRef]
- Lesmeister, K.E.; Heinrichs, A.J. Effects of adding extra molasses to a texturized calf starter on rumen development, growth characteristics, and blood parameters in neonatal dairy calves. J. Dairy Sci. 2016, 88, 411–418. [Google Scholar] [CrossRef]
- Górka, P.; Kowalski, Z.M.; Zabielski, R.; Guilloteau, P. Invited review: Use of butyrate to promote gastrointestinal tract development in calves. J. Dairy Sci. 2017, 101, 4785–4800. [Google Scholar] [CrossRef]
- Mentschel, J.; Leiser, R.; Mülling, C.; Pfarrer, C.; Claus, R. Butyric acid stimulates rumen mucosa development in the calf mainly by a reduction of apoptosis. Arch. Anim. Nutr. 2001, 55, 85–102. [Google Scholar] [CrossRef] [PubMed]
- Górka, P.; Kowalski, Z.; Pietrzak, P.; Kotunia, A.; Jagusiak, W.; Zabielski, R. Is rumen development in newborn calves affected by different liquid feeds and small intestine development? J. Dairy Sci. 2011, 94, 3002–3013. [Google Scholar] [CrossRef] [PubMed]
- Nazari, M.; Karkoodi, K.; Alizadeh, A. Performance and physiological responses of milk-fed calves to coated calcium butyrate supplementation. S. Afr. J. Anim. Sci. 2012, 42, 296–303. [Google Scholar] [CrossRef]
- Górka, P.; Pietrzak, P.; Kotunia, A.; Zabielski, R.; Kowalski, Z. Effect of method of delivery of sodium butyrate on maturation of the small intestine in newborn calves. J. Dairy Sci. 2014, 94, 1026–1035. [Google Scholar] [CrossRef]
- Sakata, T.; Tamate, H. Rumen epithelial cell proliferation accelerated by rapid increase in intraruminal butyrate. J. Dairy Sci. 1978, 61, 1109–1113. [Google Scholar] [CrossRef]
- Marquez, J.C. Calf intestinal health: Assessment and dietary intervention for its improvement. Ph.D. Thesis, University of Illinois at Urbana Champaign, Champaign, IL, USA, 2014. [Google Scholar]
- Wildman, E.E.; Jones, G.M.; Wagner, P.E.; Boman, R.L.; Troutt, H.F.; Lesch, T.N. A dairy cow body condition scoring system and its relationship to selected production characteristics. J. Dairy Sci. 1982, 65, 495–501. [Google Scholar] [CrossRef]
- Wolfinger, R.D. Covariance structure selection in general mixed models. Commun. Stat. Simul. Comput. 1993, 22, 1079–1106. [Google Scholar] [CrossRef]
- Keselman, H.J.; Algina, J.; Kowalchuk, R.K.; Wolfinger, R.D. A comparison of two approaches for selecting covariance structures in the analysis of repeated measurements. Commun. Stat. Simul. Comput. 1998, 27, 591–604. [Google Scholar] [CrossRef]
- Schad, D.J.; Vasishth, S.; Hohenstein, S.; Kliegl, R. How to capitalize on a priori contrasts in linear (mixed) models: A tutorial. J. Memory Language 2020, 110, 104038. [Google Scholar] [CrossRef]
- Le, H.V.; Nguyen, Q.V.; Nguyen, D.V.; Otto, J.R.; Malau-Aduli, B.S.; Nichols, P.D.; Malau-Aduli, A.E.O. Enhanced omega-3 polyunsaturated fatty acid contents in muscle and edible organs of Australian prime lambs grazing lucerne and cocksfoot pastures. Nutrients 2018, 10, 1985. [Google Scholar] [CrossRef]
- Ślusarczyk, K.; Strzetelski, J.A.; Furgał-Dierżuk, I. The effect of sodium butyrate on calf growth and serum level of β-hydroxybutyric acid. J. Anim. Feed Sci. 2010, 19, 348–357. [Google Scholar] [CrossRef]
- Davarmanesh, A.R.; Fathi Nasri, M.H.; Kalantari Firouzabad, A.R.; Montazer-Torbati, M.B. Effect of Ca-butyrate and Oleobiotec (a flavouring agent) supplemented starter on the performance of Holstein dairy calves. J. Agric. Sci. 2015, 153, 1506–1513. [Google Scholar] [CrossRef]
- Gorka, P.; Kowalski, Z.; Pietrzak, P.; Kotunia, A.; Kiljanczyk, R.; Flaga, J.; Holst, J.; Guilloteau, P.; Zabielski, R. Effect of sodium butyrate supplementation in milk replacer and starter diet on rumen development in calves. Development 2009, 4, 10–11. [Google Scholar]
- Kato, S.I.; Sato, K.; Chida, H.; Roh, S.G.; Ohwada, S.; Sato, S.; Guilloteau, P.; Katoh, K. Effects of Na-butyrate supplementation in milk formula on plasma concentrations of GH and insulin, and on rumen papilla development in calves. J. Endocrin. 2011, 211, 241–248. [Google Scholar] [CrossRef]
- Serbester, U.; Çakmakçi, C.; Göncü, S.; Görgülü, M. Effect of feeding starter containing butyrate salt on pre- and post-weaning performance of early or normally weaned calves. Rev. Méd. Vét. 2014, 165, 44–48. [Google Scholar]
- Kristensen, N.B.; Sehested, J.; Jensen, S.K.; Vestergaard, M. Effect of milk allowance on concentrate intake, ruminal environment, and ruminal development in milk-fed Holstein calves. J. Dairy Sci. 2007, 90, 4346–4355. [Google Scholar] [CrossRef]
- Reinhardt, V.; Reinhardt, A. Natural sucking performance and age of weaning in zebu cattle (Bos indicus). J. Agric. Sci. 1981, 96, 309–312. [Google Scholar] [CrossRef]
- Eckert, E.; Brown, H.; Leslie, K.; De Vries, T.; Steele, M. Weaning age affects growth, feed intake, gastrointestinal development, and behaviour in Holstein calves fed an elevated plane of nutrition during the preweaning stage. J. Dairy Sci. 2015, 98, 6315–6326. [Google Scholar] [CrossRef]
- Ferreira, L.; Bittar, C. Performance and plasma metabolites of dairy calves fed starter containing sodium butyrate, calcium propionate or sodium monensin. Animals 2011, 5, 239–245. [Google Scholar] [CrossRef]
- Araujo, G.; Terré, M.; Mereu, A.; Ipharraguerre, I.; Bach, A. Effects of supplementing a milk replacer with sodium butyrate or tributyrin on performance and metabolism of Holstein calves. Anim. Prod. Sci. 2015, 56, 834–1841. [Google Scholar] [CrossRef]
- Wanat, P.; Górka, P.; Kowalski, Z. Short communication: Effect of inclusion rate of microencapsulated sodium butyrate in starter mixture for dairy calves. J. Dairy Sci. 2015, 98, 2682–2686. [Google Scholar] [CrossRef] [PubMed]
- McGavin, M.D.; Morrill, J.L. Scanning electron microscopy of ruminal papillae in calves fed various amounts and forms of roughage. Am. J. Vet. Res. 1976, 37, 497–508. [Google Scholar] [PubMed]
- Bull, L.S.; Bush, L.J.; Friend, J.D.; Harris, B., Jr.; Jones, E.W. Incidence of ruminal parakeratosis in calves fed different rations and its relation to volatile fatty acid absorption. J. Dairy Sci. 1965, 48, 1459–1466. [Google Scholar] [CrossRef]
- Krpálková, L.; Cabrera, V.E.; Vacek, M.; Štípková, M.; Stádník, L.; Crump, P. Effect of prepubertal and postpubertal growth and age at first calving on production and reproduction traits during the first 3 lactations in Holstein dairy cattle. J. Dairy Sci. 2014, 97, 3017–3027. [Google Scholar] [CrossRef] [PubMed]
- Perry, G.A. Factors affecting puberty in replacement beef heifers. Theriogenology 2016, 86, 373–378. [Google Scholar] [CrossRef] [PubMed]



| Item | Treatment 1 | ||
|---|---|---|---|
| Control | Low ECAB | High ECAB | |
| Ingredient (%) | |||
| Wheat | 39.9 | 39.9 | 39.9 |
| Barley | 26.0 | 26.0 | 26.0 |
| Canola meal | 25.0 | 25.0 | 25.0 |
| Lupin | 5.0 | 5.0 | 5.0 |
| Molafos | 1.0 | 1.0 | 1.0 |
| Vegetable oil | 0.5 | 0.5 | 0.5 |
| Acid buf | 0.5 | 0.5 | 0.5 |
| Magnesium phosphate | 0.3 | 0.3 | 0.3 |
| Salt | 0.5 | 0.5 | 0.5 |
| Limestone | 1.0 | 1.0 | 1.0 |
| Mineral premix | 0.3 | 0.3 | 0.3 |
| High Five | 0.1 | 0.1 | 0.1 |
| Nutrient analysis (% DM basis) | |||
| Dry matter | 90.0 | 89.9 | 89.8 |
| CP | 22.7 | 23.1 | 20.8 |
| ME, MJ/kg | 12.9 | 12.8 | 13.1 |
| NDF | 15.3 | 16.3 | 14.0 |
| Ether extract | 3.7 | 3.9 | 3.3 |
| Nutrient | Composition (% DM) |
|---|---|
| DM | 20.5 |
| CP | 13.3 |
| ADF | 26.7 |
| NDF | 43.8 |
| EE | 3.0 |
| ASH | 6.4 |
| %TDN | 62.3 |
| DE (Mcal/kg) | 2.7 |
| ME (MJ/kg) | 9.4 |
| Item | Treatment 1 | |||
|---|---|---|---|---|
| Control | Low ECAB | High ECAB | p-Value | |
| Total feed intake/group, kg | 47 1± 8.2 | 800 ± 8.7 | 844 ± 8.7 | 0.0445 |
| Average daily feed intake/group, kg | 6.1 ± 0.1 | 10.4 ± 0.3 | 11.0 ± 0.3 | 0.0315 |
| Average daily feed intake/calf, g | 382 ± 5.2 | 649 ± 6.4 | 688 ± 6.5 | 0.0475 |
| Feed conversion efficiency | 0.19 ± 0.01 | 0.37 ± 0.09 | 0.29 ± 0.06 | 0.0271 |
| Item | Treatment 2 | p-Value | ||
|---|---|---|---|---|
| Control | Low ECAB | High ECAB | ||
| BWT, kg | 65.4 ± 1.4 b | 72.1 ± 1.6 a | 65.7 ± 1.5 b | 0.0001 |
| ADG, kg | 0.71 ± 0.03 b | 0.83 ± 0.03 a | 0.74 ± 0.03 b | 0.0001 |
| CG, cm | 92.9 ± 0.7 b | 95.9 ± 0.7 a | 93.4 ± 0.7 b | 0.0001 |
| WH, cm | 88.2 ± 0.5 ab | 88.9 ± 0.5 a | 87.4 ± 0.7 b | 0.0001 |
| BL, cm | 80.1 ± 0.6 c | 82.9 ± 0.6 a | 81.5 ± 0.6 b | 0.0001 |
| BCS | 1.30 ± 0.08 c | 1.99 ± 0.12 a | 1.67 ± 0.10 b | 0.0001 |
| Parameter | Breed | |||
|---|---|---|---|---|
| Friesian | Friesian × Jersey | Friesian × Swedish Red | p-Values | |
| BWT, kg | 65.9 ± 0.9 a | 58.8 ± 1.7 b | 67.9 ± 2.1 a | 0.0002 |
| ADG, kg | 0.70 ± 0.02 | 0.67 ± 0.04 | 0.79 ± 0.04 | 0.1410 |
| CG, cm | 93.4 ± 0.4 a | 90.1 ± 0.9 b | 93.5 ± 0.9 a | 0.0004 |
| WH, cm | 88.2 ± 0.3 a | 84.6 ± 0.5 b | 87.8 ± 0.7 a | 0.0001 |
| BL, cm | 80.7 ± 0.3 a | 78.9 ± 0.8 b | 82.1 ± 0.8 a | 0.0069 |
| BCS | 1.41 ± 0.1 | 1.46 ± 0.1 | 1.74 ± 0.2 | 0.3905 |
| Parameter | Encapsulated Calcium Butyrate Inclusion, kg/ton | p-Value | |||
|---|---|---|---|---|---|
| 0 | 4 | 6 | Treatment | Treatment × Breed | |
| BWT, kg | 199.9 ± 6.27 a | 227.9 ± 5.27 b | 227.2 ± 6.22 b | 0.0035 | 0.3872 |
| TWG, kg | 106 ± 4.64 a | 122.3 ± 3.9 b | 128.6 ± 4.61 b | 0.0047 | 0.7042 |
| ADG, kg | 0.697 ± 0.03 a | 0.805 ± 0.03 b | 0.846 ± 0.03 b | 0.0047 | 0.7042 |
© 2020 by the authors. Licensee MDPI, Basel, Switzerland. This article is an open access article distributed under the terms and conditions of the Creative Commons Attribution (CC BY) license (http://creativecommons.org/licenses/by/4.0/).
Share and Cite
Malau-Aduli, A.E.O.; Balogun, R.O.; Otto, J.R.; Verma, S.; Wehella, M.; Jones, D. Novel Encapsulated Calcium Butyrate Supplement Enhances On-Farm Dairy Calf Growth Performance and Body Conformation in a Pasture-Based Dairy Production System. Animals 2020, 10, 1380. https://doi.org/10.3390/ani10081380
Malau-Aduli AEO, Balogun RO, Otto JR, Verma S, Wehella M, Jones D. Novel Encapsulated Calcium Butyrate Supplement Enhances On-Farm Dairy Calf Growth Performance and Body Conformation in a Pasture-Based Dairy Production System. Animals. 2020; 10(8):1380. https://doi.org/10.3390/ani10081380
Chicago/Turabian StyleMalau-Aduli, Aduli Enoch Othniel, Razaq Oladimeji Balogun, John Roger Otto, Sumita Verma, Maduka Wehella, and David Jones. 2020. "Novel Encapsulated Calcium Butyrate Supplement Enhances On-Farm Dairy Calf Growth Performance and Body Conformation in a Pasture-Based Dairy Production System" Animals 10, no. 8: 1380. https://doi.org/10.3390/ani10081380
APA StyleMalau-Aduli, A. E. O., Balogun, R. O., Otto, J. R., Verma, S., Wehella, M., & Jones, D. (2020). Novel Encapsulated Calcium Butyrate Supplement Enhances On-Farm Dairy Calf Growth Performance and Body Conformation in a Pasture-Based Dairy Production System. Animals, 10(8), 1380. https://doi.org/10.3390/ani10081380

