Impact of SNPs in ACACA, SCD1, and DGAT1 Genes on Fatty Acid Profile in Bovine Milk with Regard to Lactation Phases
Simple Summary
Abstract
1. Introduction
2. Materials and Methods
2.1. Animals and Management
2.2. Experimental Design
2.3. Statistical Analysis
3. Results
3.1. Polymorphism Effect on Fatty Acid Profile
3.1.1. ACACA Gene Effect
3.1.2. SCD1 Gene Effect
3.1.3. DGAT1 Gene Effect
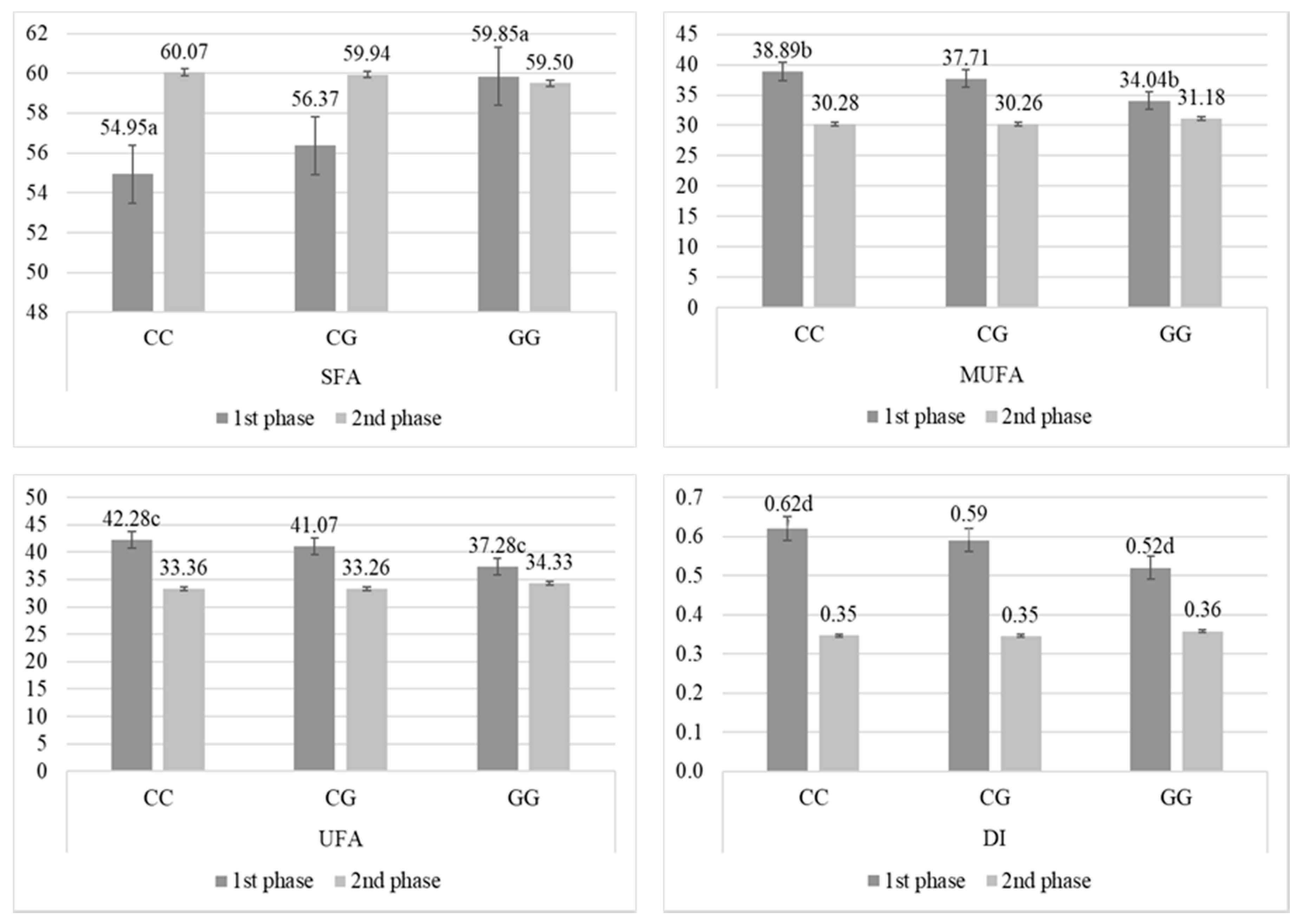
3.2. Changes of FA Percentage during Lactation Depending on Polymorphism
4. Discussion
4.1. Polymorphism Effect on Fatty Acid Profile
4.1.1. ACACA Gene Effect
4.1.2. SCD1 Gene Effect
4.1.3. DGAT1 Gene Effect
4.2. Changes of FA Content during Lactation Depending on Polymorphism
5. Conclusions
Supplementary Materials
Author Contributions
Funding
Conflicts of Interest
References
- World Health Organization/Food and Agriculture Organization. Diet, nutrition and the prevention of chronic diseases: Report of a joint WHO/FAO expert consultation. In WHO Technical Report Series; WHO: Geneva, Switzerland, 2002; p. 91. [Google Scholar]
- Gómez-Cortés, P.; Juárez, M.; de la Fuente, M.A. Milk fatty acids and potential health benefits: An updated vision. Trends Food Sci. Technol. 2018, 81, 1–9. [Google Scholar] [CrossRef]
- Kęsek, M.; Szulc, T.; Zielak-Steciwko, A.E. Genetic, physiological and nutritive factors affecting the fatty acid profile in cows’ milk—a review. Anim. Sci. Pap. Rep. 2014, 32, 95–105. [Google Scholar]
- Matsumoto, H.; Sasaki, K.; Bessho, T.; Kobayashi, E.; Abe, T.; Sasazaki, S.; Oyama, K.; Mannen, H. The SNPs in ACACA gene are effective on fatty acid composition in Holstein milk. Mol. Biol. Rep. 2012, 39, 8637–8644. [Google Scholar] [CrossRef] [PubMed]
- Laliotis, G.P.; Bizelis, I.; Rogdakis, E. Comparative approach of the de novo fatty acid synthesis (lipogenesis) between ruminant and non ruminant mammalian species: From biochemical level to the main regulatory lipogenic genes. Curr. Genomics 2010, 11, 168–183. [Google Scholar] [CrossRef]
- Schennink, A.; Heck, J.M.; Bovenhuis, H.; Visker, M.H.P.W.; Van Valenberg, H.J.F.; Van Arendonk, J.A.M. Milk fatty acid unsaturation: Genetic parameters and effects of Stearoyl-CoA Desaturase (SCD1) and Acyl-CoA: Diacylglicerol Acylotransferase (DGAT1). J. Dairy Sci. 2008, 91, 2135–2143. [Google Scholar] [CrossRef] [PubMed]
- Conte, G.; Mele, M.; Chessa, S.; Castiglioni, B.; Serra, A.; Pagnacco, G.; Secchiari, P. Diacylglycerol acyltransferase 1, stearoyl-CoA desaturase 1, and sterol regulatory element binding protein 1 gene polymorphisms and milk fatty acid composition in Italian Brown cattle. J. Dairy Sci. 2010, 93, 753–763. [Google Scholar] [CrossRef] [PubMed]
- Krag, K.; Poulsen, N.A.; Larsen, M.K.; Larsen, L.B.; Janns, L.; Buitenhuis, B. Genetic parameters for milk fatty acids in Danish Holstein cattle based on SNP markers using a Bayesian approach. BMC Genet. 2013, 14, 79. [Google Scholar] [CrossRef]
- Cruz, V.A.R.; Oliveira, H.R.; Brito, L.F.; Fleming, A.; Larmer, S.; Miglior, F.; Schenkel, F.S. Genome-Wide Association study for milk fatty acids in Holstein cattle accounting for the DGAT1 gene effect. Animals 2019, 9, 997. [Google Scholar] [CrossRef]
- Duchemin, S.; Bovenhuis, H.; Stoop, W.M.; Bouwman, A.C.; van Arendonk, J.A.M.; Visker, M.H.P.W. Genetic correlation between composition of bovine milk fat in winter and summer, and DGAT1 and SCD1 by season interactions. J. Dairy Sci. 2013, 96, 592–604. [Google Scholar] [CrossRef]
- Bouwman, A.C.; Bovenhuis, H.; Visker, M.H.; van Arendonk, J.A. Genome-wide association of milk fatty acids in Dutch dairy cattle. BMC Genet. 2011, 12, 43. [Google Scholar] [CrossRef]
- Bovenhuis, H.; Visker, M.H.P.W.; Poulsen, N.A.; Sehested, J.; van Valenberg, H.J.F.; van Arendonk, J.A.M.; Larsen, L.B.; Buitenhuis, A.J. Effects of the diacylglycerol o-acyltransferase 1 (DGAT1) K232A polymorphism on fatty acid, protein, and mineral composition of dairy cattle milk. J. Dairy Sci. 2016, 99, 3113–3123. [Google Scholar] [CrossRef] [PubMed]
- Li, C.; Sun, D.; Zhang, S.; Wang, S.; Wu, X.; Zhang, Q.; Liu, L.; Li, Y.; Qiao, L. Genome wide association study identifies 20 novel promising genes associated with milk fatty acid traits in Chinese Holstein. PLoS ONE 2014, 9, e96186. [Google Scholar] [CrossRef] [PubMed]
- Pegolo, S.; Cecchinato, A.; Mele, M.; Conte, G.; Schiavon, S.; Bittante, G. Effects of candidate gene polymorphisms on the detailed fatty acids profile determined by gas chromatography in bovine milk. J. Dairy Sci. 2016, 99, 4558–4573. [Google Scholar] [CrossRef] [PubMed]
- Folch, J.; Lees, M.; Sloane, S.G.H. A simple method for the isolation and purification of total lipides from animal tissues. J. Biol. Chem. 1957, 226, 497–509. [Google Scholar]
- Kęsek, M.M.; Smołucha, G.; Zielak-Steciwko, A.E. Acetyl-CoA Carboxylase α and Stearoyl-CoA Desaturase genes polymorphism and their influence on fatty acid profile in milk of Polish Holstein-Friesian cows. Ann. Anim. Sci. 2017, 17, 993–1006. [Google Scholar] [CrossRef]
- Steinberg, R.S.; Pereira, L.; Lacorte, G.A.; Peixoto, M.G.C.D.; Verneque, R.S.; Teodoro, R.L.; Machado, M.A.; Fonseca, C.G.; Carvalho, M.R.S. Technical note: A new and cost-effective method for detection of the bovine acyl-CoA: Diacylglycerol acyltransferase 1 K232A polymorphism in cattle. J. Dairy Sci. 2009, 92, 773–776. [Google Scholar] [CrossRef]
- Houaga, I.; Muigai, A.W.T.; Ng’ang’a, F.M.; Ibeagha-Awemu, E.M.; Kyallo, M.; Youssao, I.A.K.; Stomeo, F. Milk fatty acid variability and association with polymorphisms in SCD1 and DGAT1 genes in White Fulani and Borgou cattle breeds. Mol. Biol. Rep. 2018, 45, 1849–1862. [Google Scholar] [CrossRef]
- Shanklin, J.; Whittle, E.; Fox, B.G. Eight histidine residues are catalytically essential in a membrane-associated iron enzyme, stearoyl-CoA desaturase, and are conserved in alkane hydroxylase and xylene monooxygenase. Biochemistry 1994, 33, 12787–12794. [Google Scholar] [CrossRef] [PubMed]
- Cardoso, S.R.; Queiroz, L.B.; Goulart, V.A.; Mourão, G.B.; Benedetti, E.; Goulart, L.R. Productive performance of the dairy cattle Girolando breed mediated by the fat-related genes DGAT1 and LEP and their polymorphisms. Res. Vet. Sci. 2011, 91, 107–112. [Google Scholar] [CrossRef]
- Brainbridge, M.; Cersosimo, L.M.; Wright, A.D.G.; Kraft, J. Content and composition of branched-chain fatty acids in bovine milk are affected by lactation stage and breed of dairy cow. PLoS ONE 2016, 11, e0150386. [Google Scholar] [CrossRef]
- Bastin, C.; Gengler, N.; Soyeurt, H. Phenotypic and genetic variability of production traits and milk fatty acid contents across days in milk for Walloon Holstein first-parity cows. J. Dairy Sci. 2011, 94, 4152–4163. [Google Scholar] [CrossRef] [PubMed]
- Bovenhuis, H.; Visker, M.H.P.W.; van Valenberg, H.J.F.; Buitenhuis, A.J.; van Arendonk, J.A.M. Effects of the DGAT1 polymorphism on test-day milk production traits throughout lactation. J. Dairy Sci. 2015, 98, 6572–6582. [Google Scholar] [CrossRef] [PubMed]






| Parameter | ACACA g.1488C > G | SCD1 A293V | DGAT1 K232A | |||||||||
|---|---|---|---|---|---|---|---|---|---|---|---|---|
| Alleles | C | 0.78 | A | 0.77 | A | 0.72 | ||||||
| Frequencies | G | 0.22 | V | 0.23 | K | 0.28 | ||||||
| Expected Hardy-Weinberg Frequencies | n = 88 | CC | 0.89 | n = 82 | AA | 0.85 | n = 73 | AA | 0.74 | |||
| n = 50 | CG | 0.49 | n = 57 | VA | 0.51 | n = 61 | KA | 0.58 | ||||
| n = 6 | GG | 0.06 | n = 5 | VV | 0.08 | n = 10 | KK | 0.11 | ||||
| χ2 test | 0.11 | 1.70 | 0.33 | |||||||||
| p-value | 0.74 | 0.19 | 0.57 | |||||||||
© 2020 by the authors. Licensee MDPI, Basel, Switzerland. This article is an open access article distributed under the terms and conditions of the Creative Commons Attribution (CC BY) license (http://creativecommons.org/licenses/by/4.0/).
Share and Cite
Kęsek-Woźniak, M.M.; Wojtas, E.; Zielak-Steciwko, A.E. Impact of SNPs in ACACA, SCD1, and DGAT1 Genes on Fatty Acid Profile in Bovine Milk with Regard to Lactation Phases. Animals 2020, 10, 997. https://doi.org/10.3390/ani10060997
Kęsek-Woźniak MM, Wojtas E, Zielak-Steciwko AE. Impact of SNPs in ACACA, SCD1, and DGAT1 Genes on Fatty Acid Profile in Bovine Milk with Regard to Lactation Phases. Animals. 2020; 10(6):997. https://doi.org/10.3390/ani10060997
Chicago/Turabian StyleKęsek-Woźniak, Marzena M., Edyta Wojtas, and Anna E. Zielak-Steciwko. 2020. "Impact of SNPs in ACACA, SCD1, and DGAT1 Genes on Fatty Acid Profile in Bovine Milk with Regard to Lactation Phases" Animals 10, no. 6: 997. https://doi.org/10.3390/ani10060997
APA StyleKęsek-Woźniak, M. M., Wojtas, E., & Zielak-Steciwko, A. E. (2020). Impact of SNPs in ACACA, SCD1, and DGAT1 Genes on Fatty Acid Profile in Bovine Milk with Regard to Lactation Phases. Animals, 10(6), 997. https://doi.org/10.3390/ani10060997

