Effects of Fermented Soybean Meal Supplementation on the Growth Performance and Cecal Microbiota Community of Broiler Chickens
Simple Summary
Abstract
1. Introduction
2. Materials and Methods
2.1. Ethics Statement
2.2. Preparation of FSBM
2.3. Animals, Management, and Experimental diets
2.4. Growth Performance and Sample Collection
2.5. DNA Extraction and 16S rDNA Polymerase Chain Reaction (PCR) Amplification
2.6. 16S rDNA Gen Sequencing and Bioinformatics Analysis
2.7. Statistical Analysis
3. Results
3.1. Effects of FSBM on Growth Performance in Broilers
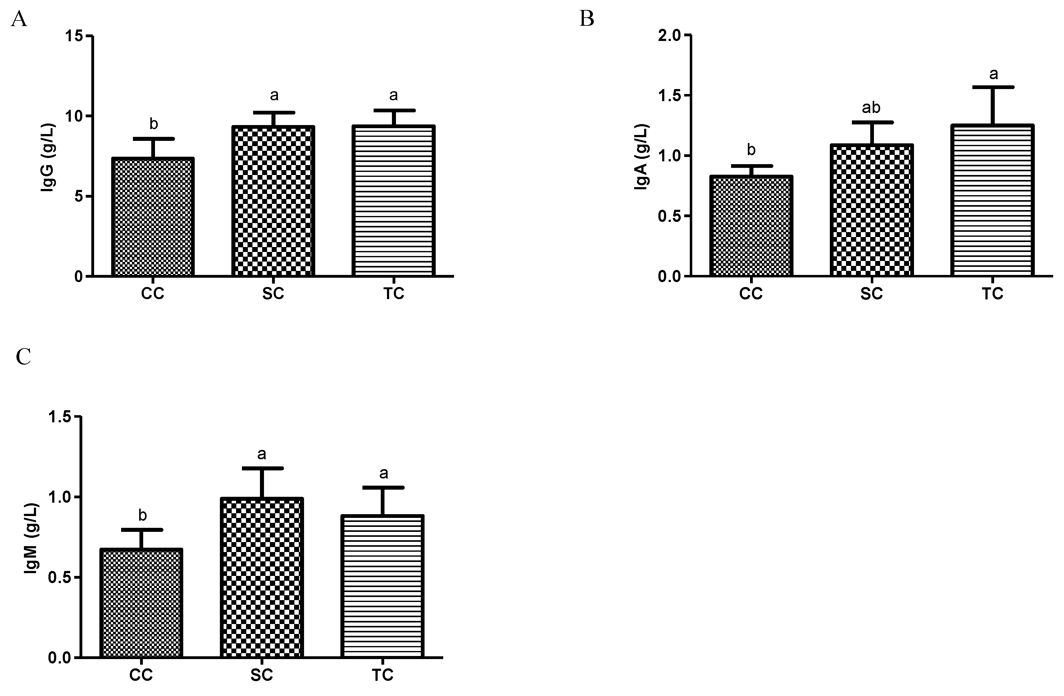
3.2. Effects of FSBM on the Serum Immunoglobulin of Broilers
3.3. Quality of Sequencing Data
3.4. Effects of FSBM on Cecal Microbial Diversity
3.5. Effects of FSBM on Cecal Microbial Composition
3.6. Correlation Analysis of Altered Cecal Bacteria with Growth Performance and Serum Immunoglobulin
4. Discussion
5. Conclusions
Supplementary Materials
Author Contributions
Funding
Conflicts of Interest
References
- Shi, C.; Zhang, Y.; Yin, Y.; Wang, C.; Lu, Z.; Wang, F.; Feng, J.; Wang, Y. Amino acid and phosphorus digestibility of fermented corn-soybean meal mixed feed with Bacillus subtilis and Enterococcus faecium fed to pigs1. J. Anim. Sci. 2017, 95, 3996–4004. [Google Scholar] [CrossRef] [PubMed]
- Medeiros, S.; Xie, J.; Dyce, P.-W.; Cai, H.-Y.; De Lange, K.; Zhang, H.; Li, J. Isolation of bacteria from fermented food and grass carp intestine and their efficiencies in improving nutrient value of soybean meal in solid state fermentation. J. Anim. Sci. Biotechnol. 2018, 9, 29. [Google Scholar] [CrossRef] [PubMed]
- Zhang, Y.; Chen, S.; Zong, X.; Wang, C.; Shi, C.; Wang, F.; Wang, Y.; Lu, Z. Peptides derived from fermented soybean meal suppresses intestinal inflammation and enhances epithelial barrier function in piglets. Food Agric. Immunol. 2020, 31, 120–135. [Google Scholar] [CrossRef]
- Cheng, Y.; Hsiao, F.-S.; Wen, C.; Wu, C.; Dybus, A.; Yu, Y.; Yu, Y. Mixed fermentation of soybean meal by protease and probiotics and its effects on the growth performance and immune response in broilers. J. Appl. Anim. Res. 2019, 47, 339–348. [Google Scholar] [CrossRef]
- Li, J.; Zhou, R.; Ren, Z.; Fan, Y.; Hu, S.; Zhuo, C.; Deng, Z. Improvement of protein quality and degradation of allergen in soybean meal fermented by Neurospora crassa. LWT 2019, 101, 220–228. [Google Scholar] [CrossRef]
- Zhang, Y.; Shi, C.; Wang, C.; Lu, Z.; Wang, F.; Feng, J.; Wang, Y. Effect of soybean meal fermented with Bacillus subtilis BS12 on growth performance and small intestinal immune status of piglets. Food Agric. Immunol. 2018, 29, 133–146. [Google Scholar] [CrossRef]
- Wang, L.; Zhou, H.; He, R.; Xu, W.; Mai, K.; He, G. Effects of soybean meal fermentation by Lactobacillus plantarum P8 on growth, immune responses, and intestinal morphology in juvenile turbot (Scophthalmus maximus L.). Aquaculture 2016, 464, 87–94. [Google Scholar] [CrossRef]
- Feng, J.; Liu, X.; Xu, Z.-R.; Liu, Y.-Y.; Lu, Y.-P. Effects of Aspergillus oryzae 3.042 fermented soybean meal on growth performance and plasma biochemical parameters in broilers. Anim. Feed Sci. Technol. 2007, 134, 235–242. [Google Scholar] [CrossRef]
- Soumeh, E.-A.; Mohebodini, H.; Toghyani, M.; Shabani, A.; Ashayerizadeh, A.; Jazi, V. Synergistic effects of fermented soybean meal and mannan-oligosaccharide on growth performance, digestive functions, and hepatic gene expression in broiler chickens. Poult. Sci. 2019, 98, 6797–6807. [Google Scholar] [CrossRef]
- Jazi, V.; Mohebodini, H.; Ashayerizadeh, A.; Shabani, A.; Barekatain, R. Fermented soybean meal ameliorates Salmonella Typhimurium infection in young broiler chickens. Poult. Sci. 2019, 98, 5648–5660. [Google Scholar] [CrossRef]
- Kim, S.-K.; Kim, T.-H.; Lee, S.-K.; Chang, K.-H.; Cho, S.-J.; Lee, K.-W.; An, B.-K. The use of fermented soybean meals during early phase affects subsequent growth and physiological response in broiler chicks. Asian-Australas. J. Anim. Sci. 2016, 29, 1287–1293. [Google Scholar] [CrossRef] [PubMed]
- Diaz Carrasco, J.-M.; Casanova, N.-A.; Fernández Miyakawa, M.-E. Microbiota, gut health and chicken productivity: What is the connection? Microorganisms 2019, 7, 374. [Google Scholar] [CrossRef] [PubMed]
- Singh, K.-M.; Shah, T.; Deshpande, S.; Jakhesara, S.-J.; Koringa, P.-G.; Rank, D.-N.; Joshi, C.-G. High through put 16S rRNA gene-based pyrosequencing analysis of the fecal microbiota of high FCR and low FCR broiler growers. Mol. Biol. Rep. 2012, 39, 10595–10602. [Google Scholar] [CrossRef] [PubMed]
- Wang, C.; Shi, C.; Zhang, Y.; Song, D.; Lu, Z.; Wang, Y. Microbiota in fermented feed and swine gut. Appl. Microbiol. Biot. 2018, 102, 2941–2948. [Google Scholar] [CrossRef]
- Zhu, J.; Gao, M.; Song, X.; Zhao, L.; Li, Y.; Hao, Z. Changes in bacterial diversity and composition in the faeces and colon of weaned piglets after feeding fermented soybean meal. J. Med. Microbiol. 2018, 67, 1181–1190. [Google Scholar] [CrossRef]
- Xie, Z.; Hu, L.; Li, Y.; Geng, S.; Cheng, S.; Fu, X.; Zhao, S.; Han, X. Changes of gut microbiota structure and morphology in weaned piglets treated with fresh fermented soybean meal. World J. Microbiol. Biotechnol. 2017, 33, 213. [Google Scholar] [CrossRef]
- Li, C.; Wang, J.; Zhang, H.; Wu, S.; Hui, Q.; Yang, C.; Fang, R.; Qi, G. Intestinal morphologic and microbiota responses to dietary Bacillus spp. in a broiler chicken model. Front. Physiol. 2019, 9, 1968. [Google Scholar] [CrossRef]
- Chen, Y.; Yu, Y. Bacillus licheniformis-fermented products improve growth performance and the fecal microbiota community in broilers. Poult. Sci. 2020, 99, 1432–1443. [Google Scholar] [CrossRef]
- Lu, J.; Zhang, X.; Liu, Y.; Cao, H.; Han, Q.; Xie, B.; Fan, L.; Li, X.; Hu, J.; Yang, G.; et al. Effect of fermented corn-soybean meal on serum immunity, the expression of genes related to gut immunity, gut microbiota, and bacterial metabolites in Grower-Finisher pigs. Front. Microbiol. 2019, 10, 2620. [Google Scholar] [CrossRef]
- Wang, T.; Teng, K.; Liu, Y.; Shi, W.; Zhang, J.; Dong, E.; Zhang, X.; Tao, Y.; Zhong, J. Lactobacillus plantarum PFM 105 Promotes Intestinal Development through Modulation of Gut Microbiota in Weaning Piglets. Front. Microbiol. 2019, 10, 90. [Google Scholar] [CrossRef]
- Yang, A.; Zuo, L.; Cheng, Y.; Wu, Z.; Li, X.; Tong, P.; Chen, H. Degradation of major allergens and allergenicity reduction of soybean meal through solid-state fermentation with microorganisms. Food Funct. 2018, 9, 1899–1909. [Google Scholar] [CrossRef] [PubMed]
- Yang, J.; Duan, Y.; Zhang, R.; Liu, C.; Wang, Y.; Li, M.; Ding, Y.; Awasthi, M.-K.; Li, H. Connecting soil dissolved organic matter to soil bacterial community structure in a long-term grass-mulching apple orchard. Ind. Crop. Prod. 2020, 149, 112344. [Google Scholar] [CrossRef]
- Magoc, T.; Salzberg, S.-L. FLASH: Fast length adjustment of short reads to improve genome assemblies. Bioinformatics 2011, 27, 2957–2963. [Google Scholar] [CrossRef] [PubMed]
- Lozupone, C.-A.; Hamady, M.; Kelley, S.-T.; Knight, R. Quantitative and Qualitative β Diversity Measures Lead to Different Insights into Factors that Structure Microbial Communities. Appl. Environ. Microb. 2007, 73, 1576–1585. [Google Scholar] [CrossRef] [PubMed]
- Lozupone, C.-A.; Knight, R. UniFrac: A new phylogenetic method for comparing microbial communities. Appl. Environ. Microbiol. 2006, 71, 8228–8235. [Google Scholar] [CrossRef]
- Zhang, Y.-T.; Lu, D.-D.; Chen, J.-Y.; Yu, B.; Liang, J.-B.; Mi, J.-D.; Candyrine, S.-C.-L.; Liao, X.-D. Effects of fermented soybean meal on carbon and nitrogen metabolisms in large intestine of piglets. Animal 2018, 12, 2056–2064. [Google Scholar] [CrossRef]
- Hamidoghli, A.; Won, S.; Farris, N.-W.; Bae, J.; Choi, W.; Yun, H.; Bai, S.-C. Solid state fermented plant protein sources as fish meal replacers in whiteleg shrimp Litopaeneus vannamei. Anim. Feed Sci. Technol. 2020, 264, 114474. [Google Scholar] [CrossRef]
- Zhu, J.; Gao, M.; Zhang, R.; Sun, Z.; Wang, C.; Yang, F.; Huang, T.; Qu, S.; Zhao, L.; Li, Y.; et al. Effects of soybean meal fermented by L. plantarum, B. subtilis and S. cerevisieae on growth, immune function and intestinal morphology in weaned piglets. Microb. Cell Factories 2017, 16, 1–10. [Google Scholar] [CrossRef]
- Chachaj, R.; Sembratowicz, I.; Krauze, M.; Ognik, K. The effect of partial replacement of soybean meal with fermented soybean meal on chicken performance and immune status. J. Anim. Feed Sci. 2019, 28, 263–271. [Google Scholar] [CrossRef]
- Li, C.; Lu, J.; Wu, C.; Lien, T. Effects of probiotics and bremelain fermented soybean meal replacing fish meal on growth performance, nutrient retention and carcass traits of broilers. Livest. Sci. 2014, 163, 94–101. [Google Scholar] [CrossRef]
- Guo, S.; Zhang, Y.; Cheng, Q.; Xv, J.; Hou, Y.; Wu, X.; Du, E.; Ding, B. Partial substitution of fermented soybean meal for soybean meal influences the carcass traits and meat quality of broiler chickens. Animals 2020, 10, 225. [Google Scholar] [CrossRef] [PubMed]
- Silk, D.-B.-A.; Grimble, G.-K.; Rees, R.-G. Protein digestion and amino acid and peptide absorption. Proc. Nutr. Soc. 1985, 44, 63–72. [Google Scholar] [CrossRef] [PubMed]
- Tauqir, N.-A. Absorption and transportation of amino acids in animals: A review. J. Environ. Agric. Sci. 2016, 9, 96–109. [Google Scholar]
- Kong, X.-F.; Wu, G.-Y.; Liao, Y.-P.; Hou, Z.-P.; Liu, H.-J.; Yin, F.-G.; Li, T.-J.; Huang, R.-L.; Zhang, Y.-M.; Deng, D.; et al. Dietary supplementation with Chinese herbal ultra-fine powder enhances cellular and humoral immunity in early-weaned piglets. Livest. Sci. 2007, 108, 94–98. [Google Scholar] [CrossRef]
- Wang, X.; Geng, F.; Wu, J.; Kou, Y.; Xu, S.; Sun, Z.; Feng, S.; Ma, L.; Luo, Y. Effects of beta-conglycinin on growth performance, immunoglobulins and intestinal mucosal morphology in piglets. Arch. Anim. Nutr. 2014, 68, 186–195. [Google Scholar] [CrossRef]
- Gizzarelli, F.; Corinti, S.; Barletta, B.; Iacovacci, P.; Brunetto, B.; Butteroni, C.; Afferni, C.; Onori, R.; Miraglia, M.; Panzini, G.; et al. Evaluation of allergenicity of genetically modified soybean protein extract in a murine model of oral allergen-specific sensitization. Clin. Exp. Allergy 2006, 36, 238–248. [Google Scholar] [CrossRef]
- Xu, F.-Z.; Zeng, X.-G.; Ding, X. Effects of replacing soybean meal with fermented rapeseed meal on performance, serum biochemical variables and intestinal morphology of broilers. Asian-Australas. J. Anim. Sci. 2012, 25, 1734–1741. [Google Scholar] [CrossRef]
- Tang, J.-W.; Sun, H.; Yao, X.-H.; Wu, Y.-F.; Wang, X.; Feng, J. Effects of replacement of soybean meal by fermented cottonseed meal on growth performance, serum biochemical parameters and immune function of yellow-feathered broilers. Asian-Australas. J. Anim. Sci. 2012, 25, 393–400. [Google Scholar] [CrossRef]
- Konstantinov, S.-R.; Favier, C.-F.; Zhu, W.-Y.; Williams, B.-A.; Klüß, J.; Souffrant, W.; de Vos, W.-M.; Akkermans, A.-D.-L.; Smidt, H. Microbial diversity studies of the porcine gastrointestinal ecosystem during weaning transition. Anim. Res. 2004, 53, 317–324. [Google Scholar] [CrossRef]
- David, L.-A.; Maurice, C.-F.; Carmody, R.-N.; Gootenberg, D.-B.; Button, J.-E.; Wolfe, B.-E.; Ling, A.; Devlin, A.-S.; Varma, Y.; Fischbach, M.-A.; et al. Diet rapidly and reproducibly alters the human gut microbiome. Nature 2014, 505, 559–563. [Google Scholar] [CrossRef]
- Guo, J.-R.; Dong, X.-F.; Liu, S.; Tong, J.-M. High-throughput sequencing reveals the effect of Bacillus subtilis CGMCC 1.921 on the cecal microbiota and gene expression in ileum mucosa of laying hens. Poult. Sci. 2018, 97, 2543–2556. [Google Scholar] [CrossRef] [PubMed]
- Ma, Y.; Wang, W.; Zhang, H.; Wang, J.; Zhang, W.; Gao, J.; Wu, S.; Qi, G. Supplemental Bacillus subtilis DSM 32315 manipulates intestinal structure and microbial composition in broiler chickens. Sci. Rep. 2018, 8, 1–13. [Google Scholar] [CrossRef] [PubMed]
- Crisol-Martínez, E.; Stanley, D.; Geier, M.-S.; Hughes, R.-J.; Moore, R.-J. Understanding the mechanisms of zinc bacitracin and avilamycin on animal production: Linking gut microbiota and growth performance in chickens. Appl. Microbiol. Biot. 2017, 101, 4547–4559. [Google Scholar] [CrossRef]
- Shin, N.; Whon, T.-W.; Bae, J. Proteobacteria: Microbial signature of dysbiosis in gut microbiota. Trends Biotechnol. 2015, 33, 496–503. [Google Scholar] [CrossRef]
- Litvak, Y.; Byndloss, M.X.; Tsolis, R.-M.; Bäumler, A. Dysbiotic Proteobacteria expansion: A microbial signature of epithelial dysfunction. Curr. Opin. Microbiol. 2017, 39, 1–6. [Google Scholar] [CrossRef] [PubMed]
- Wu, W.; Zhang, L.; Xia, B.; Tang, S.; Xie, J.; Zhang, H. Modulation of pectin on mucosal innate immune function in pigs mediated by gut microbiota. Microorganisms 2020, 8, 535. [Google Scholar] [CrossRef]
- Pieper, R.; Villodre Tudela, C.; Taciak, M.; Bindelle, J.; Pérez, J.-F.; Zentek, J. Health relevance of intestinal protein fermentation in young pigs. Anim. Health Res. Rev. 2016, 17, 137–147. [Google Scholar] [CrossRef]
- Sugiharto, S.; Ranjitkar, S. Recent advances in fermented feeds towards improved broiler chicken performance, gastrointestinal tract microecology and immune responses: A review. Anim. Nutr. 2019, 5, 1–10. [Google Scholar] [CrossRef]
- Florin, T.-H.-J. Mucolytic bacteria with increased prevalence in IBD mucosa augment in vitro utilization of mucin by other bacteria. Am. J. Gastroenterol. 2010, 105, 2420–2428. [Google Scholar]
- Eren, A.-M.; Sogin, M.-L.; Morrison, H.-G.; Vineis, J.-H.; Fisher, J.-C.; Newton, R.-J.; McLellan, S.-L. A single genus in the gut microbiome reflects host preference and specificity. ISME J. 2015, 9, 90–100. [Google Scholar] [CrossRef]
- Vacca, M.; Celano, G.; Calabrese, F.-M.; Portincasa, P.; Gobbetti, M.; De Angelis, M. The controversial role of human gut lachnospiraceae. Microorganisms 2020, 8, 573. [Google Scholar] [CrossRef]
- Fukuda, S.; Toh, H.; Hase, K.; Oshima, K.; Nakanishi, Y.; Yoshimura, K.; Tobe, T.; Clarke, J.-M.; Topping, D.-L.; Suzuki, T.; et al. Bifidobacteria can protect from enteropathogenic infection through production of acetate. Nature 2011, 469, 543–547. [Google Scholar] [CrossRef]
- Stanley, D.; Hughes, R.-J.; Geier, M.-S.; Moore, R.-J. Bacteria within the gastrointestinal tract microbiota correlated with improved growth and feed conversion: Challenges presented for the identification of performance enhancing probiotic bacteria. Front. Microbiol. 2016, 7, 00187. [Google Scholar] [CrossRef] [PubMed]
- Wang, W.; Jia, H.; Zhang, H.; Wang, J.; Lv, H.; Wu, S.; Qi, G. Supplemental plant extracts from Flos lonicerae in combination with Baikal skullcap attenuate intestinal disruption and modulate gut microbiota in laying hens challenged by Salmonella pullorum. Front. Microbiol. 2019, 10, 1681. [Google Scholar] [CrossRef] [PubMed]
- Yan, W.; Sun, C.; Yuan, J.; Yang, N. Gut metagenomic analysis reveals prominent roles of Lactobacillus and cecal microbiota in chicken feed efficiency. Sci. Rep. 2017, 7, 45308. [Google Scholar] [CrossRef] [PubMed]
- Ma, T.; Wu, W.; Tu, Y.; Zhang, N.; Diao, Q. Resveratrol affectsin vitro rumen fermentation, methane production and prokaryotic community composition in a time- and diet-specific manner. Microb. Biotechnol. 2020, 13, 1118–1131. [Google Scholar] [CrossRef]
- Borsanelli, A.-C.; Lappin, D.-F.; Viora, L.; Bennett, D.; Dutra, I.-S.; Brandt, B.-W.; Riggio, M.-P. Microbiomes associated with bovine periodontitis and oral health. Vet. Microbiol. 2018, 218, 1–6. [Google Scholar] [CrossRef]
- Fujio-Vejar, S.; Vasquez, Y.; Morales, P.; Magne, F.; Vera-Wolf, P.; Ugalde, J.-A.; Navarrete, P.; Gotteland, M. The gut microbiota of healthy chilean subjects reveals a high abundance of the phylum verrucomicrobia. Front. Microbiol. 2017, 8, 1221. [Google Scholar] [CrossRef]
- Manasa, J.-S.; Talukdar, R.; Subramanyam, C.; Vuyyuru, H.; Sasikala, M.; Reddy, D.-N. Role of the normal gut microbiota. World J. Gastroenterol. 2015, 21, 8787–8803. [Google Scholar]
- Sousa, M.-A.; Mendes, E.-N.; Apolonio, A.-C.; Farias, L.-M.; Magalhaes, P.-P. Bacteriocin production by Shigella sonnei isolated from faeces of children with acute diarrhoea. Apmis 2010, 118, 125–135. [Google Scholar] [CrossRef]
- Gong, Y.; Yang, H.; Wang, X.; Xia, W.; Lv, W.; Xiao, Y.; Zou, X. Early intervention with cecal fermentation broth regulates the colonization and development of gut microbiota in broiler chickens. Front. Microbiol. 2019, 10, 1422. [Google Scholar] [CrossRef] [PubMed]
- He, B.; Hoang, T.-K.; Tian, X.; Taylor, C.-M.; Blanchard, E.; Luo, M.; Bhattacharjee, M.-B.; Freeborn, J.; Park, S.; Couturier, J.; et al. Lactobacillus reuteri reduces the severity of experimental autoimmune encephalomyelitis in mice by modulating gut microbiota. Front. Immunol. 2019, 10, 385. [Google Scholar] [CrossRef] [PubMed]
- Du, R.; Jiao, S.; Dai, Y.; An, J.; Lv, J.; Yan, X.; Wang, J.; Han, B. Probiotic Bacillus amyloliquefaciens C-1 improves growth performance, stimulates GH/IGF-1, and regulates the gut microbiota of growth-retarded beef calves. Front. Microbiol. 2018, 9, 2006. [Google Scholar] [CrossRef] [PubMed]






| Items | SBM | FSBM |
|---|---|---|
| Dry matter, % | 89.87 | 90.18 |
| Crude protein, % | 46.64 | 53.74 |
| TCA-SP, % | 2.14 | 23.14 |
| Glycinin, mg/g | 168.35 | 15.94 |
| β-Conglycinin, mg/g | 129.56 | 20.48 |
| Methione, % | 0.47 | 0.55 |
| Lysine, % | 3.06 | 3.12 |
| Items | Starter Phase (d 1–21) | Growth Phase(d 22–36) | ||||
|---|---|---|---|---|---|---|
| CC | SC | TC | CC | SC | TC | |
| Ingredient | ||||||
| Corn | 57.1 | 58.02 | 59.38 | 59.58 | 60.65 | 61.65 |
| Soybean meal | 32.64 | 24.48 | 16.32 | 27.91 | 20.42 | 13.44 |
| Fermented soybean meal | 0 | 8.18 | 15.44 | 0 | 7.00 | 13.48 |
| Corn gluten meal | 3.00 | 1.92 | 1.6 | 3.72 | 3.14 | 2.64 |
| soybean oil | 3.00 | 3.14 | 3.00 | 4.20 | 4.20 | 4.20 |
| Dicalcium phosphate | 1.88 | 1.88 | 1.88 | 1.86 | 1.86 | 1.86 |
| DL-methionine | 0.22 | 0.22 | 0.22 | 0.20 | 0.20 | 0.20 |
| L-Lysine | 0.13 | 0.13 | 0.13 | 0.10 | 0.10 | 0.10 |
| Limestone | 1.15 | 1.15 | 1.15 | 1.15 | 1.15 | 1.15 |
| Salt | 0.28 | 0.28 | 0.28 | 0.28 | 0.28 | 0.28 |
| 50% Choline chloride | 0.10 | 0.10 | 0.10 | 0.10 | 0.10 | 0.10 |
| Premix 1 | 0.50 | 0.50 | 0.50 | 0.50 | 0.50 | 0.50 |
| TiO2 | 0 | 0 | 0 | 0.40 | 0.40 | 0.40 |
| Total | 100 | 100 | 100 | 100 | 100 | 100 |
| Calculated nutrient level | ||||||
| AME (MJ/kg) | 12.55 | 12.55 | 12.55 | 12.97 | 12.97 | 12.97 |
| Crude protein, % | 21.50 | 21.50 | 21.50 | 20.00 | 20.00 | 20.00 |
| calcium, % | 1.00 | 1.00 | 1.00 | 0.90 | 0.90 | 0.90 |
| Available phosphorus, % | 0.45 | 0.45 | 0.45 | 0.40 | 0.40 | 0.40 |
| Lysine, % | 1.15 | 1.15 | 1.15 | 1.00 | 1.00 | 1.00 |
| Methionine, % | 0.50 | 0.50 | 0.50 | 0.40 | 0.40 | 0.40 |
| Methionine + Cystine, % | 0.91 | 0.91 | 0.91 | 0.76 | 0.76 | 0.76 |
| Items | CC | SC | TC | SEM | p-Value |
|---|---|---|---|---|---|
| ADG (g/d/bird) | |||||
| 1–21 d | 45.73 | 46.79 | 45.85 | 0.47 | 0.64 |
| 22–36 d | 101.41 b | 109.21 a | 102.22 b | 1.28 | 0.01 |
| 1–36 d | 59.67 b | 63.73 a | 60.10 b | 0.63 | <0.01 |
| ADFI (g/d/bird) | |||||
| 1–21d | 58.60 | 61.27 | 59.35 | 0.75 | 0.35 |
| 22–36 d | 160.35 | 166.36 | 163.98 | 1.47 | 0.26 |
| 1–36 d | 100.67 | 100.46 | 101.78 | 0.91 | 0.21 |
| FCR | |||||
| 1–21 d | 1.29 | 1.31 | 1.30 | 0.01 | 0.18 |
| 22–36 d | 1.59 b | 1.66 a | 1.65 a | 0.14 | 0.08 |
| 1–36 d | 1.48 b | 1.52 a | 1.51 a | 0.01 | 0.02 |
| Items | CC | SC | TC | SEM | p-Value |
|---|---|---|---|---|---|
| Chao1 | 462.50 b | 551.81 a | 518.45 ab | 16.01 | 0.05 |
| OS | 458.67 b | 540.67 a | 507.33 ab | 14.12 | 0.04 |
| Shannon | 6.87 | 7.12 | 7.18 | 0.07 | 0.16 |
| Simpson | 0.97 | 0.98 | 0.98 | <0.01 | 0.67 |
| Coverage | 100 | 100 | 100 | - | - |
| Item | Relative Abundance, % | ||||
|---|---|---|---|---|---|
| CC | SC | TC | SEM | p-Value | |
| Firmicutes | 86.44 b | 90.39 a | 92.71 a | 1.06 | 0.04 |
| Proteobacteria | 8.31 a | 3.31 b | 2.15 b | 0.09 | 0.01 |
| Bacteroidetes | 4.51 | 4.62 | 4.39 | 0.41 | 0.98 |
| Tenericutes | 0.41 | 0.41 | 0.33 | 0.07 | 0.88 |
| Actinobacteria | 0.20 | 0.29 | 0.21 | 0.04 | 0.64 |
| Verrucomicrobia | ND 1 | 0.51 | 0.10 | 0.14 | ND |
| Item | Relative Abundance, % | ||||
|---|---|---|---|---|---|
| SC | CC | TC | SEM | p-Value | |
| Lachnospiraceae | 5.52 b | 7.58 a | 6.22 ab | 0.36 | 0.04 |
| Ruminococcus_torques_group | 4.95 b | 6.88 a | 2.11 c | 0.69 | <0.01 |
| Clostridiales | 2.74 a | 1.8 b | 1.46 b | 0.26 | 0.02 |
| Escherichia-Shigella | 6.86 a | 2.99 b | 1.82 b | 0.85 | 0.03 |
| Lactobacillus | 0.89 c | 2.09 a | 1.35 b | 0.20 | 0.04 |
| Gastranaerophilales | 0.10 b | 0.42 a | 0.20 b | 0.05 | 0.01 |
| Akkermansia | ND 1 | 0.51 a | 0.06 b | 0.15 | 0.36 |
| Lachnoclostridium | 0.20 c | 0.46 a | 0.37 b | 0.04 | 0.02 |
| Anaeroplasma | 0.23 a | 0.01 b | 0.06 b | 0.03 | <0.01 |
© 2020 by the authors. Licensee MDPI, Basel, Switzerland. This article is an open access article distributed under the terms and conditions of the Creative Commons Attribution (CC BY) license (http://creativecommons.org/licenses/by/4.0/).
Share and Cite
Li, Y.; Guo, B.; Wu, Z.; Wang, W.; Li, C.; Liu, G.; Cai, H. Effects of Fermented Soybean Meal Supplementation on the Growth Performance and Cecal Microbiota Community of Broiler Chickens. Animals 2020, 10, 1098. https://doi.org/10.3390/ani10061098
Li Y, Guo B, Wu Z, Wang W, Li C, Liu G, Cai H. Effects of Fermented Soybean Meal Supplementation on the Growth Performance and Cecal Microbiota Community of Broiler Chickens. Animals. 2020; 10(6):1098. https://doi.org/10.3390/ani10061098
Chicago/Turabian StyleLi, Yang, Baozhu Guo, Zhengke Wu, Weiwei Wang, Chong Li, Guohua Liu, and Huiyi Cai. 2020. "Effects of Fermented Soybean Meal Supplementation on the Growth Performance and Cecal Microbiota Community of Broiler Chickens" Animals 10, no. 6: 1098. https://doi.org/10.3390/ani10061098
APA StyleLi, Y., Guo, B., Wu, Z., Wang, W., Li, C., Liu, G., & Cai, H. (2020). Effects of Fermented Soybean Meal Supplementation on the Growth Performance and Cecal Microbiota Community of Broiler Chickens. Animals, 10(6), 1098. https://doi.org/10.3390/ani10061098
