Can We Observe Expected Behaviors at Large and Individual Scales for Feed Efficiency-Related Traits Predicted Partly from Milk Mid-Infrared Spectra?
Simple Summary
Abstract
1. Introduction
2. Materials and Methods
3. Results
3.1. Parity Effect
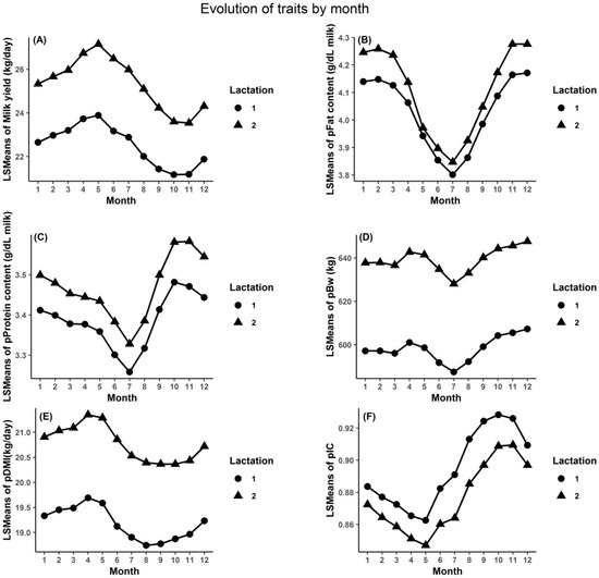
3.2. Effect of Lactation Stage
3.3. Correlations between Studied Traits
3.4. Test Month Influence
3.5. Heritability
4. Discussion
4.1. Parity Effect
4.2. Effect of Lactation Stage
4.3. Correlations between Studied Traits
4.4. Test Month Influence
4.5. Heritability
5. Conclusions
Author Contributions
Funding
Acknowledgments
Conflicts of Interest
Abbreviations
| %FAT | Fat contents |
| %PROT | Protein contents |
| BLUP | Best linear unbiased prediction |
| DIM | Days in milk |
| ECM | Energy corrected milk yield |
| FCM | 4%Fat corrected milk yield |
| FPCM | Fat and protein corrected milk yield |
| HTD | Herd test day model |
| LSMEANS | Least square means |
| MIR | Mid-infrared spectrum |
| NRC | National Research Council |
| pBW | Predicted body weight |
| pDMI | Predicted dry matter intake |
| pIC | Predicted consumption index |
| RMSEPv | Root mean square error of validation |
References
- Underwood, E.A. Lavoisier and the history of respiration. In Proceedings of the Royal Society of Medicine, London, UK, 3 November 1944; Longmans, Green and Co.: London, UK. [Google Scholar]
- Carpenter, K.J.; Harper, A.E.; Olson, R.E. Experiments That Changed Nutritional Thinking. J. Nutr. 1997, 127, 1017S–1053S. [Google Scholar] [CrossRef]
- Olesen, I.; Gjerde, B.; Groen, A.F. Methodology for deriving non-market trait values in animal breeding goals for sustainable production systems. Interbull Bull. 1999, 23, 13. [Google Scholar]
- Connor, E.E. Improving feed efficiency in dairy production: Challenges and possibilities. Animal 2015, 9, 395–408. [Google Scholar] [CrossRef] [PubMed]
- Yusuf, R.O.; Noor, Z.Z.; Abba, A.H.; Hassan, M.A.A.; Din, M.F.M. Methane emission by sectors: A comprehensive review of emission sources and mitigation methods. Renew. Sustain. Energy Rev. 2012, 16, 5059–5070. [Google Scholar] [CrossRef]
- Miglior, F.; Fleming, A.; Malchiodi, F.; Brito, L.F.; Martin, P.; Baes, C.F. A 100-Year Review: Identification and genetic selection of economically important traits in dairy cattle. J. Dairy Sci. 2017, 100, 10251–10271. [Google Scholar] [CrossRef] [PubMed]
- Phocas, F.; Agabriel, J.; Dupont-Nivet, M.; Geurden, J.; Médale, F.; Mignon-Grasteau, S.; Gilbert, H.; Dourmad, J.-Y. Le phénotypage de l’efficacité alimentaire et de ses composantes, une nécessité pour accroître l’efficience des productions animales. INRAE Prod. Anim. 2014, 27, 235–248. [Google Scholar] [CrossRef]
- National Research Council. Nutrient Requirements of Dairy Cattle; Seventh Revised Addition; The National Academies Press: Washington, DC, USA, 2001; p. 4. [Google Scholar]
- Song, X.; Bokkers, E.A.M.; van der Tol, P.P.J.; Koerkamp, P.W.G.G.; van Mourik, S. Automated body weight prediction of dairy cows using 3-dimensional vision. J. Dairy Sci. 2018, 101, 4448–4459. [Google Scholar] [CrossRef]
- Enevoldsen, C.; Kristensen, T. Estimation of body weight from body size measurements and body condition scores in dairy cows. J. Dairy Sci. 1997, 80, 1988–1995. [Google Scholar] [CrossRef]
- Heinrichs, A.J.; Rogers, G.W.; Cooper, J.B. Predicting body weight and wither height in Holstein heifers using body measurements. J. Dairy Sci. 1992, 75, 3576–3581. [Google Scholar] [CrossRef]
- Tasdemir, S.; Urkmez, A.; Inal, S. Determination of body measurements on the Holstein cows using digital image analysis and estimation of live weight with regression analysis. Comput. Electron. Agric. 2011, 76, 189–197. [Google Scholar] [CrossRef]
- Vanrobays, M.L.; Vandenplas, J.; Hammami, H.; Froidmont, E.; Gengler, N. Short communication: Novel method to predict body weight of primiparous dairy cows throughout the lactation. J. Dairy Sci. 2015, 98, 692–697. [Google Scholar] [CrossRef] [PubMed]
- Soyeurt, H.; Froidmont, E.; Dufrasne, I.; Hailemariam, D.; Wang, Z.; Bertozzi, C.; Colinet, F.G.; Dehareng, F.; Gengler, N. Contribution of milk mid-infrared spectrum to improve the accuracy of test-day body weight predicted from stage, lactation number, month of test and milk yield. Livest. Sci. 2019, 227, 82–89. [Google Scholar] [CrossRef]
- Food and Agriculture Organization of the United Nations (FAO). Greenhouse Gas Emissions from the Dairy Sector—A Life Cycle Assessment. FAO, Animal Production and Health Division. Available online: http://www.fao.org/3/k7930e/k7930e00.pdf (accessed on 13 January 2019).
- Gaines, W.L.; Davidson, F.A. Relation between Percentage Fat Content and Yield of Milk; University of Illinois Agricultural Experiment Station: Urbana, IL, USA, 1923; pp. 577–621. [Google Scholar]
- International Organization for Standardization. ICAR Guidelines, Section 2—Guidelines for Dairy Cattle Milk Recording; International Organization for Standardization: Geneva, Switzerland, 2017; Available online: https://www.icar.org/Guidelines/02-Overview-Cattle-Milk-Recording.pdf (accessed on 6 June 2019).
- Misztal, I. MTCAFS (MTC)—Multitrait REML Estimation of Variance Components Program by Canonical Transformation, with Support for Multiple Random Effects. 1994. Available online: http://nce.ads.uga.edu/wiki/doku.php?id=application_programs (accessed on 15 May 2020).
- Misztal, I. BLUPF90 Family of Programs. 2011. Available online: http://nce.ads.uga.edu/~ignacy/numpub/blupf90/ (accessed on 15 May 2020).
- Ferris, C.P.; Jiao, H.; Murray, S.; Gordon, A.W.; Carson, A.F. Methane emissions from non-lactating pregnant dairy cows while grazing. Livest. Sci. 2017, 206, 121–124. [Google Scholar] [CrossRef]
- De Boever, J.L.; Goossens, K.; Peiren, N.; Swanckaert, J.; Ampe, B.; Reheul, D.; De Brabander, D.L.; De Campeneere, S.; Vandaele, L. The effect of maize silage type on the performances and methane emission of dairy cattle. J. Anim. Physiol. Anim. Nutr. 2017, 101, e246–e256. [Google Scholar] [CrossRef] [PubMed]
- Dado, R.G.; Allen, M.S. Variation in and relationships among feeding, chewing, and drinking variables for lactating dairy cows. J. Dairy Sci. 1994, 77, 132–144. [Google Scholar] [CrossRef]
- Wathes, D.C.; Cheng, Z.; Bourne, N.; Taylor, V.J.; Coffey, M.P.; Brotherstone, S. Differences between primiparous and multiparous dairy cows in the inter-relationships between metabolic traits, milk yield and body condition score in the periparturient period. Domest. Anim. Endocrinol. 2007, 33, 203–225. [Google Scholar] [CrossRef]
- Artegoitia, V.; Meikle, A.; Olazabal, L.; Damián, J.P.; Adrien, M.L.; Mattiauda, D.A.; Bermudez, J.; Torre, A.; Carriquiry, M. Milk casein and fatty acid fractions in early lactation are affected by nutritional regulation of body condition score at the beginning of the transition period in primiparous and multiparous cows under grazing conditions. J. Anim. Physiol. Anim. Nutr. 2013, 97, 919–932. [Google Scholar] [CrossRef]
- Mellado, M.; Antonio-Chirino, E.; Meza-Herrera, C.; Veliz, F.G.; Arevalo, J.R.; Mellado, J.; De Santiago, A. Effect of lactation number, year, and season of initiation of lactation on milk yield of cows hormonally induced into lactation and treated with recombinant bovine somatotropin. J. Dairy Sci. 2011, 94, 4524–4530. [Google Scholar] [CrossRef]
- Ray, D.E.; Halbach, T.J.; Armstrong, D.V. Season and lactation number effects on milk production and reproduction of dairy cattle in Arizona1. J. Dairy Sci. 1992, 75, 2976–2983. [Google Scholar] [CrossRef]
- Davis, S.R.; Hughson, G.A. Measurement of functional udder capacity in lactating Jersey cows. Aust. J. Agric. Res. 1988, 39, 1163–1168. [Google Scholar] [CrossRef]
- Oltner, R.; Emanuelson, M.; Wiktorsson, H. Urea concentrations in milk in relation to milk yield, live weight, lactation number and amount and composition of feed given to dairy cows. Livest. Prod. Sci. 1985, 12, 47–57. [Google Scholar] [CrossRef]
- Craninx, M.; Steen, A.; Van Laar, H.; Van Nespen, T.; Martin-Tereso, J.; De Baets, B.; Fievez, V. Effect of lactation stage on the odd-and branched-chain milk fatty acids of dairy cattle under grazing and indoor conditions. J. Dairy Sci. 2008, 91, 2662–2677. [Google Scholar] [CrossRef] [PubMed]
- Morales-Almaráz, E.; de la Roza-Delgado, B.; Soldado, A.; Martínez-Fernández, A.; González, A.; Domínguez-Vara, I.A.; Vicente, F. Parity and grazing-time effects on milk fatty acid profile in dairy cows. Anim. Prod. Sci. 2018, 58, 1233–1238. [Google Scholar] [CrossRef]
- Oldenbroek, J.K. Parity effects on feed intake and feed efficiency in four dairy breeds fed ad libitum two different diets. Livest. Prod. Sci. 1989, 21, 115–129. [Google Scholar] [CrossRef]
- Van Knegsel, A.T.M.; Van den Brand, H.; Graat, E.A.M.; Dijkstra, J.; Jorritsma, R.; Decuypere, E.; Tamminga, S.; Kemp, B. Dietary energy source in dairy cows in early lactation: Metabolites and metabolic hormones. J. Dairy Sci. 2007, 90, 1477–1485. [Google Scholar] [CrossRef]
- Van Knegsel, A.T.M.; Van den Brand, H.; Dijkstra, J.; Van Straalen, W.M.; Heetkamp, M.J.W.; Tamminga, S.; Kemp, B. Dietary energy source in dairy cows in early lactation: Energy partitioning and milk composition. J. Dairy Sci. 2007, 90, 1467–1476. [Google Scholar] [CrossRef]
- Berry, D.P.; Coffey, M.P.; Pryce, J.E.; De Haas, Y.; Løvendahl, P.; Krattenmacher, N.; Crowley, J.J.; Wang, Z.; Spurlock, D.; Weigel, K. International genetic evaluations for feed intake in dairy cattle through the collation of data from multiple sources. J. Dairy Sci. 2014, 97, 3894–3905. [Google Scholar] [CrossRef]
- Coppock, C.E.; Noller, C.H.; Wolfe, S.A.; Callahan, C.J.; Baker, J.S. Effect of forage-concentrate ratio in complete feeds fed ad libitum on feed intake prepartum and the occurrence of abomasal displacement in dairy cows. J. Dairy Sci. 1972, 55, 783–789. [Google Scholar] [CrossRef]
- Ntallaris, T.; Humblot, P.; Båge, R.; Sjunnesson, Y.; Dupont, J.; Berglund, B. Effect of energy balance profiles on metabolic and reproductive response in Holstein and Swedish Red cows. Theriogenology 2017, 90, 276–283. [Google Scholar] [CrossRef]
- Braund, D.G.; Steele, R.L. Performance of Cows Individually Fed Total Mixed Rations Ad Libitum; Trial CF2—269; Cooperative Research Farms: Charlottesville, NY, USA, 1972. [Google Scholar]
- Hristov, A.N.; Price, W.J.; Shafii, B. A meta-analysis on the relationship between intake of nutrients and body weight with milk volume and milk protein yield in dairy cows. J. Dairy Sci. 2005, 88, 2860–2869. [Google Scholar] [CrossRef]
- Pech, C.I.V.M.; Veerkamp, R.F.; Calus, M.P.L.; Zom, R.; Van Knegsel, A.; Pryce, J.E.; De Haas, Y. Genetic parameters across lactation for feed intake, fat-and protein-corrected milk, and liveweight in first-parity Holstein cattle. J. Dairy Sci. 2014, 97, 5851–5862. [Google Scholar] [CrossRef] [PubMed]
- Ben Meir, Y.A.; Nikbachat, M.; Fortnik, Y.; Jacoby, S.; Levit, H.; Adin, G.; Zinder, M.C.; Shabtay, A.; Gershon, E.; Zachut, M. Eating behavior, milk production, rumination, and digestibility characteristics of high-and low-efficiency lactating cows fed a low-roughage diet. J. Dairy Sci. 2018, 101, 10973–10984. [Google Scholar] [CrossRef] [PubMed]
- Garnsworthy, P.C.; Craigon, J.; Hernandez-Medrano, J.H.; Saunders, N. Variation among individual dairy cows in methane measurements made on farm during milking. J. Dairy Sci. 2012, 95, 3181–3189. [Google Scholar] [CrossRef] [PubMed]
- Badinga, L.; Collier, R.J.; Wilcox, C.J.; Thatcher, W.W. Interrelationships of milk yield, body weight, and reproductive performance. J. Dairy Sci. 1985, 68, 1828–1831. [Google Scholar] [CrossRef]
- Asher, A.; Shabtay, A.; Haim, A.; Aharoni, Y.; Miron, J.; Adin, G.; Tamir, A.; Arieli, A.; Halachmi, I.; Moallem, U. Time required to determine performance variables and production efficiency of lactating dairy cows. J. Dairy Sci. 2014, 97, 4340–4353. [Google Scholar] [CrossRef] [PubMed]
- Korver, S. Genetic aspects of feed intake and feed efficiency in dairy cattle: A review. Livest. Prod. Sci. 1988, 20, 1–13. [Google Scholar] [CrossRef]
- Hooven, N.W., Jr.; Miller, R.H.; Plowman, R.D. Genetic and environmental relationships among efficiency, yield, consumption and weight of Holstein cows. J. Dairy Sci. 1968, 51, 1409–1419. [Google Scholar] [CrossRef]
- Yerex, R.P.; Young, C.W.; Donker, J.D.; Marx, G.D. Effects of selection for body size on feed efficiency and size of Holsteins. J. Dairy Sci. 1988, 71, 1355–1360. [Google Scholar] [CrossRef]
- Vallimont, J.E.; Dechow, C.D.; Daubert, J.M.; Dekleva, M.W.; Blum, J.W.; Barlieb, C.M.; Liu, W.; Varga, G.A.; Heinrichs, A.J.; Baumrucker, C.R. Heritability of gross feed efficiency and associations with yield, intake, residual intake, body weight, and body condition score in 11 commercial Pennsylvania tie stalls. J. Dairy Sci. 2011, 94, 2108–2113. [Google Scholar] [CrossRef]
- Bittante, G.; Cipolat-Gotet, C.; Malchiodi, F.; Sturaro, E.; Tagliapietra, F.; Schiavon, S.; Cecchinato, A. Effect of dairy farming system, herd, season, parity, and days in milk on modeling of the coagulation, curd firming, and syneresis of bovine milk. J. Dairy Sci. 2015, 98, 2759–2774. [Google Scholar] [CrossRef]
- Schöbitz, J.; Ruiz-Albarrán, M.; Balocchi, O.A.; Wittwer, F.; Noro, M.; Pulido, R.G. Effect of increasing pasture allowance and concentrate supplementation on animal performance and microbial protein synthesis in dairy cows. Arch. Med. Vet. 2013, 45, 247–258. [Google Scholar]
- Britt, J.S.; Thomas, R.C.; Speer, N.C.; Hall, M.B. Efficiency of converting nutrient dry matter to milk in Holstein herds. J. Dairy Sci. 2003, 86, 3796–3801. [Google Scholar] [CrossRef]
- Bargo, F.; Muller, L.D.; Kolver, E.S.; Delahoy, J.E. Invited review: Production and digestion of supplemented dairy cows on pasture. J. Dairy Sci. 2003, 86, 1–42. [Google Scholar] [CrossRef]
- Murphy, M.; Åkerlind, M.; Holtenius, K. Rumen fermentation in lactating cows selected for milk fat content fed two forage to concentrate ratios with hay or silage. J. Dairy Sci. 2000, 83, 756–764. [Google Scholar] [CrossRef]
- Sutton, J.D.; Hart, I.C.; Brosters, W.H.; Elliott, R.J.; Schuller, E.L. Feeding frequency for lactating cows: Effects on rumen fermentation and blood metabolites and hormones. Br. J. Nutr. 1986, 56, 181–192. [Google Scholar] [CrossRef]
- Woodford, S.T.; Murphy, M.R. Effect of forage physical form on chewing activity, dry matter intake, and rumen function of dairy cows in early lactation. J. Dairy Sci. 1988, 71, 674–686. [Google Scholar] [CrossRef]
- Linn, J.G. Factors affecting the composition of milk from dairy cows. In Designing Foods: Animal Product Options in the Marketplace; National Academies Press: Washington, DC, USA, 1988; pp. 224–241. [Google Scholar]
- Ominski, K.H.; Kennedy, A.D.; Wittenberg, K.M.; Nia, S.A.M. Physiological and production responses to feeding schedule in lactating dairy cows exposed to short-term, moderate heat stress. J. Dairy Sci. 2002, 85, 730–737. [Google Scholar] [CrossRef]
- Rees, H.V. Heat Stress in Dairy Cattle: Physiological Responses and Variations in Milk Composition and Equilibrium. Master’s Thesis, University of Tasmania, Hobart, Australia, 1964. [Google Scholar]
- Hardie, L.C.; VandeHaar, M.J.; Tempelman, R.J.; Weigel, K.A.; Armentano, L.E.; Wiggans, G.R.; Veerkamp, R.F.; de Haas, Y.; Coffey, M.P.; Connor, E.E.; et al. The genetic and biological basis of feed efficiency in mid-lactation Holstein dairy cows. J. Dairy Sci. 2017, 100, 9061–9075. [Google Scholar] [CrossRef]
- Clark, R.D.; Touchberry, R.W. Effect of body weight and age at calving on milk production in Holstein cattle. J. Dairy Sci. 1962, 45, 1500–1510. [Google Scholar] [CrossRef]
- Song, J. Estimation of heritability of feed intake in Canadian Holsteins. Master’s Thesis, McGill University, Montreal, QC, Canada, 2010. [Google Scholar]


| Traits | Mean ± SD 1 | Minimum | Maximum | |
|---|---|---|---|---|
| Lactation 1 | Lactation 2 | |||
| Milk yield (g/day) | 23.54 ± 6.00 B | 26.63 ± 8.19 A | 3.10 | 70.60 |
| Fat content (g/dL of milk) | 3.98 ± 0.69 B | 4.07 ± 0.73 A | 1.50 | 9.00 |
| Protein content (g/dL of milk) | 3.38 ± 0.36 B | 3.46 ± 0.39 A | 1.19 | 7.00 |
| Predicted body weight (kg) | 597 ± 35 B | 639 ± 31 A | 421 | 820 |
| Predicted dry matter intake (kg/day) | 19.45 ± 2.71 B | 21.16± 2.92 A | 7.50 | 39.21 |
| Predicted consumption index | 0.87 ± 0.18 A | 0.84 ± 0.22 B | 0.33 | 4.98 |
| Trait * | Milk | %FAT | %PROT | pBW | pDMI | pIC |
|---|---|---|---|---|---|---|
| Milk yield (kg/day) | −0.37 | −0.50 | 0.08 | 0.64 | −0.80 | |
| Fat content (g/dL of milk; %FAT) | −0.35 | 0.54 | 0.13 | −0.06 | 0.11 | |
| Protein content (g/dL of milk; %PROT) | −0.35 | 0.49 | 0.51 | −0.12 | 0.37 | |
| Predicted body weight (kg; pBW) | 0.09 | 0.16 | 0.61 | 0.47 | 0.08 | |
| Predicted dry matter intake (kg/day; pDMI) | 0.59 | 0.01 | 0.15 | 0.62 | −0.38 | |
| Predicted consumption index (pIC) | −0.77 | 0.08 | 0.31 | 0.16 | −0.17 |
| Traits | Heritability | |
|---|---|---|
| Lactation 1 | Lactation 2 | |
| Milk yield | 0.20 | 0.16 |
| %FAT | 0.37 | 0.41 |
| %PROT | 0.41 | 0.40 |
| pBW | 0.18 | 0.17 |
| pDMI | 0.14 | 0.11 |
| pIC | 0.14 | 0.09 |
© 2020 by the authors. Licensee MDPI, Basel, Switzerland. This article is an open access article distributed under the terms and conditions of the Creative Commons Attribution (CC BY) license (http://creativecommons.org/licenses/by/4.0/).
Share and Cite
Zhang, L.; Gengler, N.; Dehareng, F.; Colinet, F.; Froidmont, E.; Soyeurt, H. Can We Observe Expected Behaviors at Large and Individual Scales for Feed Efficiency-Related Traits Predicted Partly from Milk Mid-Infrared Spectra? Animals 2020, 10, 873. https://doi.org/10.3390/ani10050873
Zhang L, Gengler N, Dehareng F, Colinet F, Froidmont E, Soyeurt H. Can We Observe Expected Behaviors at Large and Individual Scales for Feed Efficiency-Related Traits Predicted Partly from Milk Mid-Infrared Spectra? Animals. 2020; 10(5):873. https://doi.org/10.3390/ani10050873
Chicago/Turabian StyleZhang, Lei, Nicolas Gengler, Frédéric Dehareng, Frédéric Colinet, Eric Froidmont, and Hélène Soyeurt. 2020. "Can We Observe Expected Behaviors at Large and Individual Scales for Feed Efficiency-Related Traits Predicted Partly from Milk Mid-Infrared Spectra?" Animals 10, no. 5: 873. https://doi.org/10.3390/ani10050873
APA StyleZhang, L., Gengler, N., Dehareng, F., Colinet, F., Froidmont, E., & Soyeurt, H. (2020). Can We Observe Expected Behaviors at Large and Individual Scales for Feed Efficiency-Related Traits Predicted Partly from Milk Mid-Infrared Spectra? Animals, 10(5), 873. https://doi.org/10.3390/ani10050873

