Dogs and Cats: Reservoirs for Highly Diverse Campylobacter jejuni and a Potential Source of Human Exposure
Simple Summary
Abstract
1. Introduction
2. Materials and Methods
2.1. Collection of Feces Samples from Pets and Bacterial Analyses
2.2. CGF40 Typing
2.3. Data Analysis
3. Results
3.1. Campylobacter Isolation from Pet Feces and Species Identification
3.2. Genotyping of C. jejuni Isolates Using Comparative Genomic Fingerprinting, Using 40 Assay Genes (CGF40)
4. Discussion
5. Conclusions
Supplementary Materials
Author Contributions
Funding
Acknowledgments
Conflicts of Interest
References
- EFSA. Scientific report on the European Union One Health 2018 Zoonoses Report. EFSA J. 2019, 17, 17. [Google Scholar] [CrossRef]
- Bessède, E.; Lehours, P.; Labadi, L.; Bakiri, S.; Mégraud, F. Comparison of Characteristics of Patients Infected by Campylobacter jejuni, Campylobacter coli, and Campylobacter fetus. J. Clin. Microbiol. 2013, 52, 328–330. [Google Scholar] [CrossRef] [PubMed]
- Domingues, A.R.; Pires, S.M.; Halasa, T.; Hald, T. Source attribution of human campylobacteriosis using a meta-analysis of case-control studies of sporadic infections. Epidemiol. Infect. 2012, 140, 970–981. [Google Scholar] [CrossRef] [PubMed]
- Lévesque, S.; Fournier, E.; Carrier, N.; Frost, E.; Arbeit, R.D.; Michaud, S. Campylobacteriosis in Urban versus Rural Areas: A Case-Case Study Integrated with Molecular Typing to Validate Risk Factors and to Attribute Sources of Infection. PLoS ONE 2013, 8, e83731. [Google Scholar] [CrossRef]
- Mossong, J.; Mughini-Gras, L.; Penny, C.; Devaux, A.; Olinger, C.; Losch, S.; Cauchie, H.-M.; Van Pelt, W.; Ragimbeau, C. Human Campylobacteriosis in Luxembourg, 2010–2013: A Case-Control Study Combined with Multilocus Sequence Typing for Source Attribution and Risk Factor Analysis. Sci. Rep. 2016, 6, 20939. [Google Scholar] [CrossRef]
- Gras, L.M.; Smid, J.H.; Wagenaar, J.A.; De Boer, A.G.; Havelaar, A.H.; Friesema, I.; French, N.P.; Busani, L.; Van Pelt, W. Risk Factors for Campylobacteriosis of Chicken, Ruminant, and Environmental Origin: A Combined Case-Control and Source Attribution Analysis. PLoS ONE 2012, 7, e42599. [Google Scholar] [CrossRef]
- Berthenet, E.; Thépault, A.; Chemaly, M.; Rivoal, K.; Ducournau, A.; Buissonnière, A.; Bénéjat, L.; Bessède, E.; Mégraud, F.; Sheppard, S.K.; et al. Source attribution of Campylobacter jejuni shows variable importance of chicken and ruminants reservoirs in non-invasive and invasive French clinical isolates. Sci. Rep. 2019, 9, 8098. [Google Scholar] [CrossRef]
- Thépault, A.; Méric, G.; Rivoal, K.; Pascoe, B.; Mageiros, L.; Touzain, F.; Rose, V.; Béven, V.; Chemaly, M.; Sheppard, S.K. Genome-Wide Identification of Host-Segregating Epidemiological Markers for Source Attribution in Campylobacter jejuni. Appl. Environ. Microbiol. 2017, 83. [Google Scholar] [CrossRef]
- Thépault, A.; Rose, V.; Quesne, S.; Poëzevara, T.; Beven, V.; Hirchaud, E.; Touzain, F.; Lucas, P.; Méric, G.; Mageiros, L.; et al. Ruminant and chicken: Important sources of campylobacteriosis in France despite a variation of source attribution in 2009 and 2015. Sci. Rep. 2018, 8, 9305. [Google Scholar] [CrossRef]
- Sheppard, S.K.; Dallas, J.F.; Strachan, N.J.C.; Macrae, M.; McCarthy, N.; Wilson, D.J.; Gormley, F.J.; Falush, D.; Ogden, I.D.; Maiden, M.C.J.; et al. Campylobacter Genotyping to Determine the Source of Human Infection. Clin. Infect. Dis. 2009, 48, 1072–1078. [Google Scholar] [CrossRef]
- Kittl, S.; Heckel, G.; Korczak, B.M.; Kuhnert, P. Source Attribution of Human Campylobacter Isolates by MLST and Fla-Typing and Association of Genotypes with Quinolone Resistance. PLoS ONE 2013, 8, e81796. [Google Scholar] [CrossRef] [PubMed]
- Gras, L.M.; Smid, J.H.; Wagenaar, J.A.; Koene, M.G.J.; Havelaar, A.H.; Friesema, I.; French, N.P.; Flemming, C.; Galson, J.; Graziani, C.; et al. Increased risk for Campylobacter jejuni and C. coli infection of pet origin in dog owners and evidence for genetic association between strains causing infection in humans and their pets. Epidemiol. Infect. 2013, 141, 2526–2535. [Google Scholar] [CrossRef] [PubMed]
- Rosner, B.M.; Schielke, A.; Didelot, X.; Kops, F.; Breidenbach, J.; Willrich, N.; Gölz, G.; Alter, T.; Stingl, K.; Josenhans, C.; et al. A combined case-control and molecular source attribution study of human Campylobacter infections in Germany, 2011–2014. Sci. Rep. 2017, 7, 5139. [Google Scholar] [CrossRef] [PubMed]
- Amar, C.; Kittl, S.; Spreng, D.; Thomann, A.; Korczak, B.M.; Burnens, A.P.; Kuhnert, P. Genotypes and antibiotic resistance of canine Campylobacter jejuni isolates. Vet. Microbiol. 2014, 168, 124–130. [Google Scholar] [CrossRef] [PubMed]
- Wieland, B.; Schüpbach-Regula, G.; Danuser, J.; Wittwer, M.; Burnens, A.P.; Wassenaar, T.M.; Stärk, K.D.C. Campylobacter spp. in Dogs and Cats in Switzerland: Risk Factor Analysis and Molecular Characterization with AFLP. J. Vet. Med. Ser. B 2005, 52, 183–189. [Google Scholar] [CrossRef] [PubMed]
- Châtre, P.; Haenni, M.; Meunier, D.; Botrel, M.-A.; Calavas, D.; Madec, J.-Y. Prevalence and Antimicrobial Resistance of Campylobacter jejuni and Campylobacter coli Isolated from Cattle between 2002 and 2006 in France. J. Food Prot. 2010, 73, 825–831. [Google Scholar] [CrossRef] [PubMed]
- Thépault, A.; Guyard-Nicodème, M.; Rose, V.; Quesne, S.; Queguiner, M.; Houard, E.; Mégraud, F.; Rivoal, K.; Chemaly, M. A representative overview of the genetic diversity and lipooligosaccharide sialylation in Campylobacter jejuni along the broiler production chain in France and its comparison with human isolates. Int. J. Food Microbiol. 2018, 274, 20–30. [Google Scholar] [CrossRef]
- Thepault, A.; Poezevara, T.; Quesne, S.; Rose, V.; Chemaly, M.; Rivoal, K. Prevalence of Thermophilic Campylobacter in Cattle Production at Slaughterhouse Level in France and Link Between C. jejuni Bovine Strains and Campylobacteriosis. Front. Microbiol. 2018, 9, 471. [Google Scholar] [CrossRef]
- Denis, M.; Tanguy, M.; Chidaine, B.; Laisney, M.-J.; Mégraud, F.; Fravalo, P. Description and sources of contamination by Campylobacter spp. of river water destined for human consumption in Brittany, France. Pathol. Boil. 2011, 59, 256–263. [Google Scholar] [CrossRef]
- Taboada, E.N.; Ross, S.L.; Mutschall, S.K.; MacKinnon, J.M.; Roberts, M.J.; Buchanan, C.J.; Kruczkiewicz, P.; Jokinen, C.C.; Thomas, J.E.; Nash, J.; et al. Development and Validation of a Comparative Genomic Fingerprinting Method for High-Resolution Genotyping of Campylobacter jejuni. J. Clin. Microbiol. 2011, 50, 788–797. [Google Scholar] [CrossRef]
- Dingle, K.; Colles, F.M.; Wareing, D.; Ure, R.; Fox, A.J.; Bolton, F.E.; Bootsma, H.J.; Willems, R.J.L.; Urwin, R.; Maiden, M.C.J. Multilocus Sequence Typing System for Campylobacter jejuni. J. Clin. Microbiol. 2001, 39, 14–23. [Google Scholar] [CrossRef]
- Rose, V.; Thépault, A.; Lemercier, A.; Mégraud, F.; Chemaly, M.; Rivoal, K. A stable and highly diverse genetic structure in clinical Campylobacter jejuni isolates in 2009 and 2015. In Proceedings of the 19th International Workshop on Campylobacter, Helicobacter and Related Organisms (CHRO), Nantes, France, 10–14 September 2017; p. 148. [Google Scholar]
- Carriço, J.A.; Silva-Costa, C.; Cristino, J.M.; Pinto, F.R.; De Lencastre, H.; Almeida, J.S.; Ramirez, M. Illustration of a Common Framework for Relating Multiple Typing Methods by Application to Macrolide-Resistant Streptococcus pyogenes†. J. Clin. Microbiol. 2006, 44, 2524–2532. [Google Scholar] [CrossRef] [PubMed]
- Severiano, A.; Carriço, J.A.; Robinson, D.A.; Ramirez, M.; Pinto, F.R. Evaluation of Jackknife and Bootstrap for Defining Confidence Intervals for Pairwise Agreement Measures. PLoS ONE 2011, 6, e19539. [Google Scholar] [CrossRef] [PubMed]
- Acke, E.; McGill, K.; Golden, O.; Jones, B.R.; Fanning, S.; Whyte, P. Prevalence of thermophilic Campylobacter species in household cats and dogs in Ireland. Vet. Rec. 2009, 164, 44–47. [Google Scholar] [CrossRef] [PubMed]
- Andrzejewska, M.; Szczepańska, B.; Klawe, J.; Śpica, D.; Chudzińska, M. Prevalence of Campylobacter jejuni and Campylobacter coli species in cats and dogs from Bydgoszcz (Poland) region. Pol. J. Vet. Sci. 2013, 16, 115–120. [Google Scholar] [CrossRef] [PubMed]
- Parsons, B.; Porter, C.; Ryvar, R.; Stavisky, J.; Williams, N.; Pinchbeck, G.; Birtles, R.; Christley, R.; German, A.J.; Radford, A.D.; et al. Prevalence of Campylobacter spp. in a cross-sectional study of dogs attending veterinary practices in the UK and risk indicators associated with shedding. Vet. J. 2010, 184, 66–70. [Google Scholar] [CrossRef] [PubMed]
- Parsons, B.; Williams, N.; Pinchbeck, G.; Christley, R.; Hart, C.; Gaskell, R.; Dawson, S. Prevalence and shedding patterns of Campylobacter spp. in longitudinal studies of kennelled dogs. Vet. J. 2011, 190, 249–254. [Google Scholar] [CrossRef]
- Torkan, S.; Vazirian, B.; Khamesipour, F.; Dida, G.O. Prevalence of thermotolerantCampylobacterspecies in dogs and cats in Iran. Vet. Med. Sci. 2018, 4, 296–303. [Google Scholar] [CrossRef]
- Rahimi, E.; Chakeri, A.; Esmizadeh, K. Prevalence of Campylobacter species in fecal samples from cats and dogs in Iran. Slov. Vet. Res. 2012, 49, 117–122. [Google Scholar]
- Carbonero, A.; Torralbo, A.; Borge, C.; García-Bocanegra, I.; Arenas, A.; Perea, A. Campylobacter spp., C. jejuni and C. upsaliensis infection-associated factors in healthy and ill dogs from clinics in Cordoba, Spain. Screening tests for antimicrobial susceptibility. Comp. Immunol. Microbiol. Infect. Dis. 2012, 35, 505–512. [Google Scholar] [CrossRef]
- Hald, B.; Pedersen, K.; Wainø, M.; Jørgensen, J.C.; Madsen, M. Longitudinal study of the excretion patterns of thermophilic Campylobacter spp. in young pet dogs in Denmark. J. Clin. Microbiol. 2004, 42, 2003–2012. [Google Scholar] [CrossRef]
- Rossi, M.; Hänninen, M.-L.; Revez, J.; Hannula, M.; Zanoni, R. Occurrence and species level diagnostics of Campylobacter spp., enteric Helicobacter spp. and Anaerobiospirillum spp. in healthy and diarrheic dogs and cats. Vet. Microbiol. 2008, 129, 304–314. [Google Scholar] [CrossRef] [PubMed]
- Chaban, B.; Ngeleka, M.; Hill, J.E. Detection and quantification of 14 Campylobacter species in pet dogs reveals an increase in species richness in feces of diarrheic animals. BMC Microbiol. 2010, 10, 73. [Google Scholar] [CrossRef] [PubMed]
- Giacomelli, M.; Follador, N.; Coppola, L.; Martini, M.; Piccirillo, A. Survey of Campylobacter spp. in owned and unowned dogs and cats in Northern Italy. Vet. J. 2015, 204, 333–337. [Google Scholar] [CrossRef] [PubMed]
- Mohan, V.; Stevenson, M.; Marshall, J.; French, N.P.; Marshall, J. Characterisation by multilocus sequence and por A and fla A typing of Campylobacter jejuni isolated from samples of dog faeces collected in one city in New Zealand. N. Z. Vet. J. 2017, 65, 1–12. [Google Scholar] [CrossRef] [PubMed]
- Sandberg, M.; Bergsjø, B.; Hofshagen, M.; Skjerve, E.; Kruse, H. Risk factors for Campylobacter infection in Norwegian cats and dogs. Prev. Vet. Med. 2002, 55, 241–253. [Google Scholar] [CrossRef]
- Tsai, H.-J.; Huang, H.-C.; Lin, C.-M.; Lien, Y.-Y.; Chou, C.-H. Salmonellae and Campylobacters in Household and Stray Dogs in Northern Taiwan. Vet. Res. Commun. 2007, 31, 931–939. [Google Scholar] [CrossRef]
- Mohan, V. Faeco-prevalence of Campylobacter jejuni in urban wild birds and pets in New Zealand. BMC Res. Notes 2015, 8, 1. [Google Scholar] [CrossRef]
- Waldenström, J.; Broman, T.; Carlsson, I.; Hasselquist, D.; Achterberg, R.P.; Wagenaar, J.A.; Olsen, B. Prevalence of Campylobacter jejuni, Campylobacter lari, and Campylobacter coli in Different Ecological Guilds and Taxa of Migrating Birds. Appl. Environ. Microbiol. 2002, 68, 5911–5917. [Google Scholar] [CrossRef]
- Koene, M.G.; Houwers, D.J.; Dijkstra, J.R.; Duim, B.; Wagenaar, J.A. Strain variation within Campylobacter species in fecal samples from dogs and cats. Vet. Microbiol. 2009, 133, 199–205. [Google Scholar] [CrossRef]
- Acke, E.; Carroll, C.; O’Leary, A.; McGill, K.; Kelly, L.; Lawlor, A.; Madden, R.H.; Moran, L.; Scates, P.; McNamara, E.; et al. Genotypic characterisation and cluster analysis of Campylobacter jejuni isolates from domestic pets, human clinical cases and retail food. Ir. Vet. J. 2011, 64, 6. [Google Scholar] [CrossRef] [PubMed]
- Damborg, P.; Olsen, K.E.P.; Nielsen, E.M.; Guardabassi, L. Occurrence of Campylobacter jejuni in Pets Living with Human Patients Infected with C. jejuni. J. Clin. Microbiol. 2004, 42, 1363–1364. [Google Scholar] [CrossRef] [PubMed]




| Bacterial Species Isolated | Dogs | Cats | ||||||||||||||
|---|---|---|---|---|---|---|---|---|---|---|---|---|---|---|---|---|
| Total (n = 234) | ≤1 year (n = 55) | >1 year ( n= 174) | N/A (n = 5) | Total (n = 70) | ≤1 year (n = 26) | >1 year (n = 42) | N/A (n = 2) | |||||||||
| n | % | n | % | n | % | n | % | n | % | n | % | n | % | n | % | |
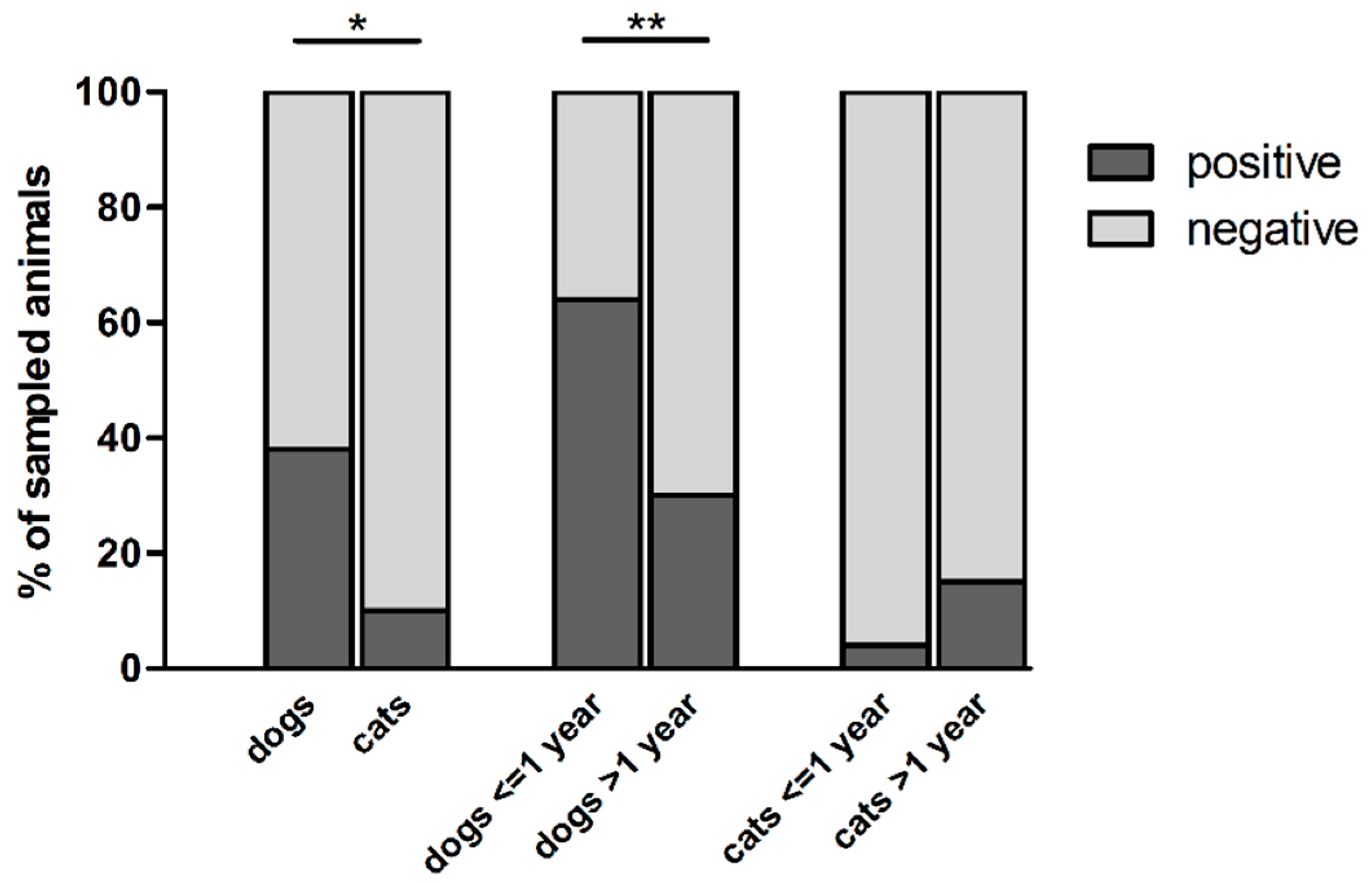
| Campylobacter spp. | 89 | 38.0 * | 35 | 63.6 ** | 53 | 30.5 | 1 | 20.0 | 7 | 10.0 | 1 | 3.8 | 6 | 14.3 | 0 | 0 |
| C. jejuni | 57 | 24.4 | 24 | 43.6 | 32 | 18.4 | 1 | 20.0 | 5 | 7.1 | 1 | 3.8 | 4 | 9.5 | 0 | 0 |
| C. coli | 6 | 2.6 | 4 | 7.3 | 2 | 1.1 | 0 | 0 | 0 | 0 | 0 | 0 | 0 | 0 | 0 | 0 |
| C. lari | 26 | 11.1 | 12 | 21.8 | 14 | 8.0 | 0 | 0 | 0 | 0 | 0 | 0 | 0 | 0 | 0 | 0 |
| C. uspaliensis | 21 | 9.0 | 8 | 14.5 | 13 | 7.5 | 0 | 0 | 1 | 1.4 | 0 | 0 | 1 | 2.4 | 0 | 0 |
| Campylobacter species not identified | 0 | 0 | 0 | 0 | 0 | 0 | 0 | 0 | 1 | 1.4 | 0 | 0 | 1 | 2.4 | 0 | 0 |
| CGF40-90% Cluster | Pets | Chicken | Cattle | Human |
|---|---|---|---|---|
| 168 | 31/161 (19.3%) | 0/644 (0%) | 6/649 (0.9%) | 3/514 (0.6%) |
| 60 | 13/161 (8.1%) | 51/644 (8.0%) | 66/649 (10.2%) | 68/514 (13.2%) |
| 137 | 9/161 (5.6%) | 40/644 (6.2%) | 8/649 (1.2%) | 21/514 (4.1%) |
| 176 | 9/161 (5.6%) | 0/644 (0%) | 0/649 (0%) | 0/514 (0%) |
| 182 | 9/161 (5.6%) | 21/644 (3.3%) | 9/649 (1.4%) | 6/514 (1.2%) |
© 2020 by the authors. Licensee MDPI, Basel, Switzerland. This article is an open access article distributed under the terms and conditions of the Creative Commons Attribution (CC BY) license (http://creativecommons.org/licenses/by/4.0/).
Share and Cite
Thépault, A.; Rose, V.; Queguiner, M.; Chemaly, M.; Rivoal, K. Dogs and Cats: Reservoirs for Highly Diverse Campylobacter jejuni and a Potential Source of Human Exposure. Animals 2020, 10, 838. https://doi.org/10.3390/ani10050838
Thépault A, Rose V, Queguiner M, Chemaly M, Rivoal K. Dogs and Cats: Reservoirs for Highly Diverse Campylobacter jejuni and a Potential Source of Human Exposure. Animals. 2020; 10(5):838. https://doi.org/10.3390/ani10050838
Chicago/Turabian StyleThépault, Amandine, Valérie Rose, Marilyne Queguiner, Marianne Chemaly, and Katell Rivoal. 2020. "Dogs and Cats: Reservoirs for Highly Diverse Campylobacter jejuni and a Potential Source of Human Exposure" Animals 10, no. 5: 838. https://doi.org/10.3390/ani10050838
APA StyleThépault, A., Rose, V., Queguiner, M., Chemaly, M., & Rivoal, K. (2020). Dogs and Cats: Reservoirs for Highly Diverse Campylobacter jejuni and a Potential Source of Human Exposure. Animals, 10(5), 838. https://doi.org/10.3390/ani10050838
