Exogenous Oleic Acid and Palmitic Acid Improve Boar Sperm Motility via Enhancing Mitochondrial Β-Oxidation for ATP Generation
Simple Summary
Abstract
1. Introduction
2. Materials and Methods
2.1. Reagents and Media
2.2. Semen Collection and Processing
2.3. Oleic Acid and Palmitic Acid Analysis
2.4. Assessment of Sperm Motility
2.5. Sperm Membrane Integrity and Acrosome Integrity
2.6. Mitochondrial Membrane Potentials
2.7. Annexin V-FITC/PI Assay
2.8. Assessment of ATP level
2.9. Assessment of Sperm MDH and SDH Activities
2.10. Immunolocalization of CPT1 and ACADVL in Boar Sperm by Immunofluorescence
2.11. Assessment of Sperm CPT1 and ACADVL Activities
2.12. Western Blotting
2.13. Experiment Design
2.14. Statistical Analysis
3. Results
3.1. Levels of OA and PA in Boar Sperm During Storage
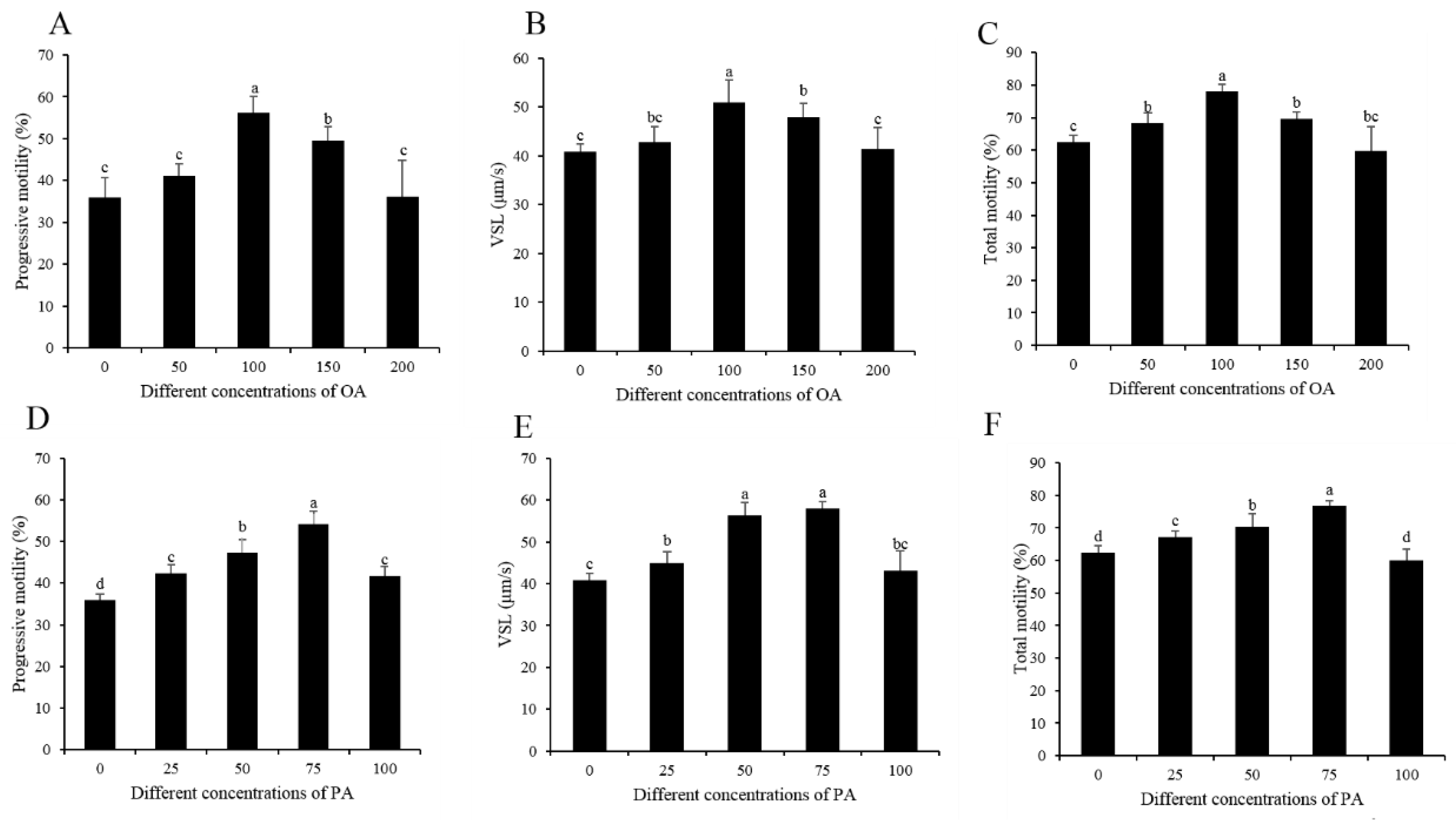
3.2. Addition of OA and PA Affected Boar Sperm Motility Patterns, Membrane Integrity, and Acrosome Reaction during Storage
3.3. Effects of OA and PA on Boar Sperm Apoptosis during the Liquid Storage
3.4. Localization and Expression of the Enzymes, CPT1, and ACADVL, Involved in β-oxidation in Boar Sperm
3.5. Effects of OA and PA on CPT1 and ACADVL Activities, Mitochondrial Activity, MDH and SDH activities, ATP Levels, as well as Sperm Linear Motility during the 3 h of Incubation
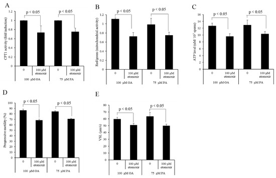
3.6. Effects of CPT1 Selective Inhibitor, Etomoxir, on Sperm Cpt1 Activity, Mitochondrial Activity, ATP Level, as well as Motility Patterns
4. Discussion
5. Conclusions
Author Contributions
Funding
Conflicts of Interest
References
- Suarez, S.; Pacey, A. Sperm transport in the female reproductive tract. Hum. Reprod. Update 2006, 12, 23–37. [Google Scholar] [CrossRef] [PubMed]
- Zhu, Z.; Umehara, T.; Okazaki, T.; Goto, M.; Fujita, Y.; Hoque, S.A.M.; Kawai, T.; Zeng, W.; Shimada, M. Gene Expression and Protein Synthesis in Mitochondria Enhance the Duration of High-Speed Linear Motility in Boar Sperm. Front. Physiol. 2019, 10, 252. [Google Scholar] [CrossRef] [PubMed]
- Zheng, J. Energy metabolism of cancer: Glycolysis versus oxidative phosphorylation. Oncol. Lett. 2012, 4, 1151–1157. [Google Scholar] [CrossRef] [PubMed]
- Aon, M.A.; Bhatt, N.; Cortassa, S.C. Mitochondrial and cellular mechanisms for managing lipid excess. Front. Physiol. 2014, 5, 282. [Google Scholar] [CrossRef] [PubMed]
- Gohil, V.M.; Sheth, S.A.; Nilsson, R.; Wojtovich, A.P.; Lee, J.H.; Perocchi, F.; Chen, W.; Clish, C.B.; Ayata, C.; Brookes, P.S. Nutrient-sensitized screening for drugs that shift energy metabolism from mitochondrial respiration to glycolysis. Nat. Biotechnol. 2010, 28, 249–255. [Google Scholar] [CrossRef] [PubMed]
- Potter, M.; Newport, E.; Morten, K.J. The Warburg effect: 80 years on. Biochem. Soc. Trans. 2016, 44, 1499–1505. [Google Scholar] [CrossRef]
- Harris, S.E.; Gopichandran, N.; Picton, H.M.; Leese, H.J.; Orsi, N.M. Nutrient concentrations in murine follicular fluid and the female reproductive tract. Theriogenology 2005, 64, 992–1006. [Google Scholar] [CrossRef]
- Brown-Woodman, P.D.; White, I.G. Amino acid composition of semen and the secretions of the male reproductive tract. Aust. J. Biol. Sci. 1974, 27, 415–422. [Google Scholar] [CrossRef]
- Marden, W.G. Source of Endogenous Pyruvic Acid in Bovine Seminal Fluid and Utilization. J. Dairy Sci. 1961, 44, 1688–1697. [Google Scholar] [CrossRef]
- Umehara, T.; Kawai, T.; Goto, M.; Richards, J.S.; Shimada, M. Creatine enhances the duration of sperm capacitation: A novel factor for improving in vitro fertilization with small numbers of sperm. Hum. Reprod. 2018, 33, 1117–1129. [Google Scholar] [CrossRef]
- Nichol, R.; Hunter, R.H.; Gardner, D.K.; Leese, H.J.; Cooke, G.M. Concentrations of energy substrates in oviductal fluid and blood plasma of pigs during the peri-ovulatory period. J. Reprod. Fertil. 1992, 96, 699–707. [Google Scholar] [CrossRef] [PubMed]
- Liu, Q.; Duan, R.; Zhou, Y.; Wei, H.; Peng, J.; Li, J. Supplementing oregano essential oil to boar diet with strengthened fish oil: Effects on semen antioxidant status and semen quality parameters. Andrologia 2017, 49, e12764. [Google Scholar] [CrossRef] [PubMed]
- Comhaire, F.H.; Mahmoud, A. The role of food supplements in the treatment of the infertile man. Reprod. Biomed. Online 2003, 7, 385–391. [Google Scholar] [CrossRef]
- Matini Behzad, A.; Ebrahimi, B.; Alizadeh, A.; Esmaeili, V.; Dalman, A.; Rashki, L.; Shahverdi, A. Improvement in In Vitro Fertilization Rate, Decrease in Reactive Oxygen Species and Spermatozoa Death Incidence in Rams by Dietary Fish Oil. Reprod. Domest Anim. 2014, 49, 599–605. [Google Scholar] [CrossRef]
- Kelso, K.; Redpath, A.; Noble, R.; Speake, B. Lipid and antioxidant changes in spermatozoa and seminal plasma throughout the reproductive period of bulls. Reproduction 1997, 109, 1–6. [Google Scholar] [CrossRef]
- Lenzi, A.; Gandini, L.; Maresca, V.; Rago, R.; Sgro, P.; Dondero, F.; Picardo, M. Fatty acid composition of spermatozoa and immature germ cells. Mol. Hum. Reprod. 2000, 6, 226–231. [Google Scholar] [CrossRef]
- Amaral, A.; Castillo, J.; Estanyol, J.M.; Ballesca, J.L.; Ramalho-Santos, J.; Oliva, R. Human sperm tail proteome suggests new endogenous metabolic pathways. Mol. Cell Proteom. 2013, 12, 330–342. [Google Scholar] [CrossRef]
- Baker, M.A.; Reeves, G.; Hetherington, L.; Müller, J.; Baur, I.; Aitken, R.J. Identification of gene products present in Triton X-100 soluble and insoluble fractions of human spermatozoa lysates using LC-MS/MS analysis. Proteom. Clin. Appl. 2007, 1, 524–532. [Google Scholar] [CrossRef]
- Kiernan, M.; Fahey, A.G.; Fair, S. The effect of the in vitro supplementation of exogenous long-chain fatty acids on bovine sperm cell function. Reprod. Fertil. Dev. 2013, 25, 947–954. [Google Scholar] [CrossRef]
- Hossain, M.S.; Tareq, K.; Hammano, K.I.; Tsujii, H. Effect of fatty acids on boar sperm motility, viability and acrosome reaction. Reprod. Med. Biol. 2007, 6, 235–239. [Google Scholar] [CrossRef]
- Neill, A.; Masters, C. Incorporation of [U-14C] palmitic acid into the phospholipids of bovine semen. Reproduction 1971, 24, 295–297. [Google Scholar] [CrossRef] [PubMed]
- Jaswal, J.S.; Keung, W.; Wang, W.; Ussher, J.R.; Lopaschuk, G.D. Targeting fatty acid and carbohydrate oxidation—A novel therapeutic intervention in the ischemic and failing heart. Biochim. Biophys. Acta 2011, 1813, 1333–1350. [Google Scholar] [CrossRef] [PubMed]
- Lepage, G.; Roy, C.C. Direct transesterification of all classes of lipids in a one-step reaction. J. Lipid. Res. 1986, 27, 114–120. [Google Scholar] [PubMed]
- Martínez-Soto, J.C.; Landeras, J.; Gadea, J. Spermatozoa and seminal plasma fatty acids as predictors of cryopreservation success. Andrology 2013, 1, 365–375. [Google Scholar] [CrossRef] [PubMed]
- Zhu, Z.; Li, R.; Fan, X.; Lv, Y.; Zheng, Y.; Hoque, S.; Wu, D.; Zeng, W. Resveratrol Improves Boar Sperm Quality via 5AMP-Activated Protein Kinase Activation during Cryopreservation. Oxid. Med. Cell Longev. 2019, 2019. [Google Scholar] [CrossRef]
- Zhu, Z.; Fan, X.; Lv, Y.; Lin, Y.; Wu, D.; Zeng, W. Glutamine protects rabbit spermatozoa against oxidative stress via glutathione synthesis during cryopreservation. Reprod. Fertil. Dev. 2017, 29, 2183–2194. [Google Scholar] [CrossRef]
- Zhu, Z.D.; Li, R.; Lv, Y.; Wang, L.; Zheng, Y.; Hoque, S.; Zeng, W. Glycogen synthase kinase-3 regulates sperm motility and acrosome reaction via affecting energy metabolism in goats. Front. Physiol. 2019, 10, 968. [Google Scholar] [CrossRef]
- Stuppia, L.; Franzago, M.; Ballerini, P.; Gatta, V.; Antonucci, I. Epigenetics and male reproduction: The consequences of paternal lifestyle on fertility, embryo development, and children lifetime health. Clin. Epigenet. 2015, 7, 120. [Google Scholar] [CrossRef]
- Gibbons, B.H.; Gibbons, I. Flagellar movement and adenosine triphosphatase activity in sea urchin sperm extracted with Triton X-100. J. Cell Biol. 1972, 54, 75–97. [Google Scholar] [CrossRef]
- Evans, J.A.; Gibbons, I. Activation of dynein 1 adenosine triphosphatase by organic solvents and by Triton X-100. J. Biol. Chem. 1986, 261, 14044–14048. [Google Scholar]
- Du Plessis, S.S.; Agarwal, A.; Mohanty, G.; Van der Linde, M. Oxidative phosphorylation versus glycolysis: What fuel do spermatozoa use? Asian J. Androl. 2015, 17, 230. [Google Scholar] [CrossRef] [PubMed]
- Pietrocola, F.; Galluzzi, L.; Bravo-San Pedro, J.M.; Madeo, F.; Kroemer, G. Acetyl coenzyme A: A central metabolite and second messenger. Cell Metab. 2015, 21, 805–821. [Google Scholar] [CrossRef] [PubMed]
- Gogol, P.; Szczesniak-Fabianczyk, B.; Wierzchos-Hilczer, A. The photon emission, ATP level and motility of boar spermatozoa during liquid storage. Reprod. Biol. 2009, 9, 39–49. [Google Scholar] [CrossRef]
- Amaral, A.; Paiva, C.; Baptista, M.; Sousa, A.P.; Ramalho-Santos, J. Exogenous glucose improves long-standing human sperm motility, viability, and mitochondrial function. Fertil. Steril. 2011, 96, 848–850. [Google Scholar] [CrossRef] [PubMed]
- Turner, N.; Cooney, G.J.; Kraegen, E.W.; Bruce, C.R. Fatty acid metabolism, energy expenditure and insulin resistance in muscle. J. Endocrinol. 2014, 220, T61–T79. [Google Scholar] [CrossRef] [PubMed]
- Wanders, R.J.; Ruiter, J.P.; IJlst, L.; Waterham, H.R.; Houten, S.M. The enzymology of mitochondrial fatty acid beta-oxidation and its application to follow-up analysis of positive neonatal screening results. J. Inherit. Metab. Dis. 2010, 33, 479–494. [Google Scholar] [CrossRef] [PubMed]
- Stephens, F.B.; Constantin-Teodosiu, D.; Greenhaff, P.L. New insights concerning the role of carnitine in the regulation of fuel metabolism in skeletal muscle. J. Physiol. 2007, 581, 431–444. [Google Scholar] [CrossRef]
- Hossain, M.S.; Afrose, S.; Sawada, T.; Hamano, K.-i.; Tsujii, H. Metabolism of exogenous fatty acids, fatty acid-mediated cholesterol efflux, PKA and PKC pathways in boar sperm acrosome reaction. Reprod. Med. Biol. 2010, 9, 23–31. [Google Scholar] [CrossRef]
- Knox, R.V. Artificial insemination in pigs today. Theriogenology 2016, 85, 83–93. [Google Scholar] [CrossRef]











© 2020 by the authors. Licensee MDPI, Basel, Switzerland. This article is an open access article distributed under the terms and conditions of the Creative Commons Attribution (CC BY) license (http://creativecommons.org/licenses/by/4.0/).
Share and Cite
Zhu, Z.; Li, R.; Feng, C.; Liu, R.; Zheng, Y.; Hoque, S.A.M.; Wu, D.; Lu, H.; Zhang, T.; Zeng, W. Exogenous Oleic Acid and Palmitic Acid Improve Boar Sperm Motility via Enhancing Mitochondrial Β-Oxidation for ATP Generation. Animals 2020, 10, 591. https://doi.org/10.3390/ani10040591
Zhu Z, Li R, Feng C, Liu R, Zheng Y, Hoque SAM, Wu D, Lu H, Zhang T, Zeng W. Exogenous Oleic Acid and Palmitic Acid Improve Boar Sperm Motility via Enhancing Mitochondrial Β-Oxidation for ATP Generation. Animals. 2020; 10(4):591. https://doi.org/10.3390/ani10040591
Chicago/Turabian StyleZhu, Zhendong, Rongnan Li, Chengwen Feng, Ruifang Liu, Yi Zheng, S. A. Masudul Hoque, De Wu, Hongzhao Lu, Tao Zhang, and Wenxian Zeng. 2020. "Exogenous Oleic Acid and Palmitic Acid Improve Boar Sperm Motility via Enhancing Mitochondrial Β-Oxidation for ATP Generation" Animals 10, no. 4: 591. https://doi.org/10.3390/ani10040591
APA StyleZhu, Z., Li, R., Feng, C., Liu, R., Zheng, Y., Hoque, S. A. M., Wu, D., Lu, H., Zhang, T., & Zeng, W. (2020). Exogenous Oleic Acid and Palmitic Acid Improve Boar Sperm Motility via Enhancing Mitochondrial Β-Oxidation for ATP Generation. Animals, 10(4), 591. https://doi.org/10.3390/ani10040591

