The Welfare Aggregation and Guidance (WAG) Tool: A New Method to Summarize Global Welfare Assessment Data for Equids
Simple Summary
Abstract
1. Introduction
- -
- The identification of spatial trends across five categories of welfare to allow the identification of equids with the poorest welfare (or ‘greatest need’).
- -
- The identification of temporal trends in welfare, which will enable intervention work to be monitored and evaluated.
- -
- The provision of guidance on which aspects of welfare require further, more detailed, assessment and which resources, aimed at improving welfare, may be required.
2. Materials and Methods
2.1. The Development Process
2.1.1. A Single Welfare Score?
2.1.2. Do (and Should) Good Scores Compensate for Bad Ones?
Single Animal: Within and Between Categories
Between Animals
2.1.3. Animal-Based or Environment-Based Measures?
2.1.4. Is the Process Transparent and Easily Explained to Stakeholders?
2.1.5. Do Important Attributes Have Enough Influence?
2.2. The WAG Process
2.2.1. Category Selection
2.2.2. Question Selection
Questions must be Present in all EARS Assessment Protocols
It must be Possible to Answer all Four Questions for each Assessment
Questions must Contain at least One ‘Green’ and One ‘Red’ Answer in order to Represent a Range of Welfare Conditions
2.2.3. Aggregation Step 1: Assigning Category Scores to Individuals
2.2.4. Aggregation Step 2: Assigning Category Grades to Individuals
2.2.5. Aggregation Step 3: Combining Grades
2.2.6. Aggregation Step 4: Highlighting Unequal Variance
2.3. Comparison of Behavior and Health in Countries within Asia and Europe
3. Results and Discussion
3.1. Demographics
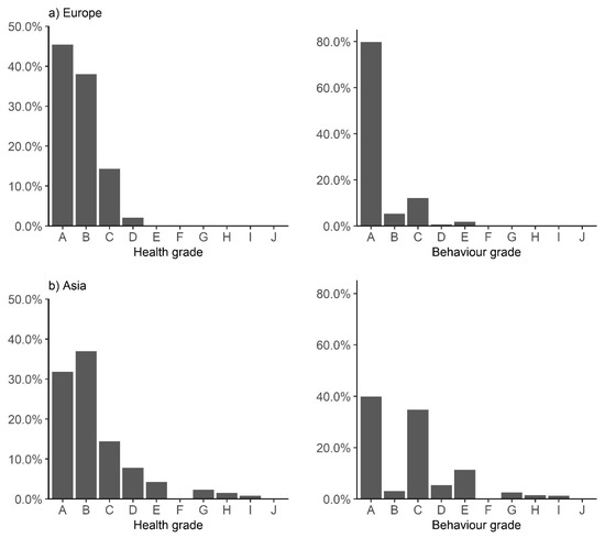
3.2. Assessment of Broad Scale Trends
3.3. Assessment of Drivers of Poor Welfare
3.4. Recommendations Based on the WAG Process
4. Conclusions
Supplementary Materials
Author Contributions
Funding
Acknowledgments
Conflicts of Interest
References
- Stafleu, F.; Grommers, F.J.; Vorstenbosch, J. Animal Welfare: Evolution and Erosion of a Moral Concept. Anim. Welf. 1996, 5, 225–234. [Google Scholar]
- Hewson, C.J. What is animal welfare? Common definitions and their practical consequences. Can. Vet. J. 2003, 44, 496–499. [Google Scholar] [PubMed]
- Duncan, I.J.H.; Fraser, D. Understanding animal welfare. In Animal Welfare; Appleby, M.A., Hughes, B.O., Eds.; CABI Publ: Wallingford, UK, 1997; pp. 19–31. [Google Scholar]
- Vapnek, J.; Chapman, M. Legislative and Regulatory Options for Animal Wwelfare; Development Law Service—FAO Legal Office, FAO: Rome, Italy, 2010. [Google Scholar]
- Sullivan, R.; Elliot, K.; Herron, A.; Viñes Fiestas, H.; Amos, N. Farm Animal Welfare as an Investment Issue; Taylor and Francis Group: London, UK, 2017. [Google Scholar]
- Appleby, M.C.; Mench, J.A.; Olsson, I.A.S.; Hughes, B.O. Animal Welfare, 2nd ed.; CABI: Wallingford, UK, 2011. [Google Scholar]
- de Aluja, A.S. The welfare of working equids in Mexico. Appl. Anim. Behav. Sci. 1998, 59, 19–29. [Google Scholar] [CrossRef]
- Bekkers, R.; Wiepking, P. A Literature Review of Empirical Studies of Philanthropy: Eight Mechanisms That Drive Charitable Giving. Nonprofit Volunt. Sect. Q. 2011, 40, 924–973. [Google Scholar] [CrossRef]
- Mason, G.; Mendl, M. Why is there no simple way of Measuring Animal Welfare? Anim. Welf. 1993, 2, 301–319. [Google Scholar]
- Fernando, P.; Starkey, P. Donkeys and development: Socio-economic issues in the use and management of donkeys. In Donkeys, People and Development, A Resource Book of the Animal Traction Network for Eastern and Southern Africa (ATNESA), Proceedings of the Improving Donkey Utilisation and Management ATNESA Workshop, Debre Zeit, Ethiopia, 5–9 May 1997; Starkey, P., Fielding, D., Eds.; ACP-EU Technical Centre for Agricultural and Rural Cooperation (CTA): Wageningen, The Netherlands, 2000; p. 244. [Google Scholar]
- Geiger, M.; Hovorka, A. Donkeys in development: Welfare assessments and knowledge mobilisation. Dev. Pract. 2015, 25, 1091–1104. [Google Scholar] [CrossRef]
- Tesfaye, A.; Curran, M.M. A longitudinal survey or market donkeys in Ethiopia. Trop. Anim. Health Prod. 2005, 37, 87–100. [Google Scholar] [CrossRef]
- Rodrigues, J.B.; Schlechter, P.; Spychiger, H.; Spinelli, R.; Oliveira, N.; Figueiredo, T. The XXI century mountains: Sustainable management of mountainous areas based on animal traction. Open Agric. 2017, 2. [Google Scholar] [CrossRef]
- FAO. Statistical Databases. Food and Agriculture Organization of the United Nations. Available online: http://www.fao.org/faostat/en/#data/QA (accessed on 10 October 2019).
- Bough, J. The Mirror Has Two Faces: Contradictory Reflections of Donkeys in Western Literature from Lucius to Balthazar. Animals 2010, 1, 56–68. [Google Scholar] [CrossRef]
- Admassu, B.; Shiferaw, Y. Donkeys, Horses and Mules—Their Contribution to People’s Livelihoods in Ethiopia; The Brooke: London, UK, 2011. [Google Scholar]
- Global Sustainable Development Report. The Future Is Now—Science for Achieving Sustainable Development; United Nations: New York, NY, USA, 2019. [Google Scholar]
- Bracke, M.B.M.; Spruijt, B.; Metz, J.H.M. Overall animal welfare assessment reviewed. Is it possible? Neth. J. Agric. Sci. 1999, 47, 279–291. [Google Scholar]
- Capdeville, J.; Veissier, I. A Method of Assessing Welfare in Loose Housed Dairy Cows at Farm Level, Focusing on Animal Observations. Acta Agric. Scand. 2001, 51, 62–68. [Google Scholar] [CrossRef]
- Fraser, D. Science, Values and Animal Welfare: Exploring the ‘Inextricable Connection’. Anim. Welf. 1995, 4, 103–117. [Google Scholar]
- Welfare Quality®. Welfare Quality® Assessment Protocol for Pigs (Sows and Piglets, Growing and Finishing Pigs); Welfare Quality® Consortium: Lelystad, The Netherlands, 2009. [Google Scholar]
- Bartussek, H. Vorschlag für eine Steiermärkische Intensivtierhaltungsverordnung. Der. Osterr. Freiberufstierarzt 1985, 97, 4–15. [Google Scholar]
- de Vries, M.; Bokkers, E.A.; van Schaik, G.; Botreau, R.; Engel, B.; Dijkstra, T.; de Boer, I.J. Evaluating results of the Welfare Quality multi-criteria evaluation model for classification of dairy cattle welfare at the herd level. J. Dairy Sci. 2013, 96, 6264–6273. [Google Scholar] [CrossRef]
- Raw, Z.; Rodrigues, J.B.; Rickards, K.; Ryding, J.; Norris, S.L.; Judge, A.; Kubasiewicz, L.M.; Watson, T.L.; Little, H.; Hart, B.; et al. Equid Assessment, Research and Scoping (EARS): The Development and Implementation of a New Equid Welfare Assessment and Monitoring Tool. Animals 2020, 10, 297. [Google Scholar] [CrossRef]
- Mellor, D.J. Updating Animal Welfare Thinking: Moving beyond the “Five Freedoms” towards “A Life Worth Living”. Animals 2016, 6, 21. [Google Scholar] [CrossRef]
- Sørensen, J.T.; Sandøe, P.; Halberg, N. Animal Welfare as One among Several Values to be Considered at Farm Level: The Idea of an Ethical Account for Livestock Farming. Acta Agric. Scand. 2001, 51, 11–16. [Google Scholar] [CrossRef]
- Hegelund, L.; Sørensen, J.; Johansen, N.F. Developing a welfare assessment system for use in commercial organic egg production. Anim. Welf. 2003, 12, 649–653. [Google Scholar]
- Botreau, R.; Bonde, M.; Butterworth, A.; Perny, P.; Bracke, M.B.; Capdeville, J.; Veissier, I. Aggregation of measures to produce an overall assessment of animal welfare. Part 1: A review of existing methods. Animals 2007, 1, 1179–1187. [Google Scholar] [CrossRef]
- Veissier, I.; Jensen, K.; Botreau, R.; Sandøe, P. Highlighting ethical decisions underlying the scoring of animal welfare in the Welfare Quality® scheme. Anim. Welf. 2011, 20, 89. [Google Scholar]
- Sandøe, P.; Corr, S.A.; Lund, T.B.; Forkman, B. Aggregating animal welfare indicators: Can it be done in a transparent and ethically robust way? Anim. Welf. 2019, 28, 67–76. [Google Scholar] [CrossRef]
- Botreau, R.; Bracke, M.B.M.; Perny, P.; Butterworth, A.; Capdeville, J.; Van Reenen, C.G.; Veissier, I. Aggregation of measures to produce an overall assessment of animal welfare. Part 2: Analysis of constraints. Animals 2007, 1, 1188–1197. [Google Scholar] [CrossRef] [PubMed]
- Parfit, D. Equality and Priority. Ratio 1997, 10, 202–221. [Google Scholar] [CrossRef]
- Arneson, R.J. Luck Egalitarianism and Prioritarianism. Ethics 2000, 110, 339–349. [Google Scholar] [CrossRef]
- Whay, H.R.; Main, D.C.J.; Green, L.; Webster, A. An Animal-Based Welfare Assessment of Group-Housed Calves on UK Dairy Farms. Anim. Welf. 2003, 12, 611–617. [Google Scholar]
- Zaludik, K.; Lugmair, A.; Baumung, R.; Troxler, J.; Niebuhr, K. Results of the Animal Needs Index (ANI-35L) compared to animal-based parameters in free-range and organic laying hen flocks in Austria. Anim. Welf. 2007, 16, 217–219. [Google Scholar]
- RStudio Team. RStudio: Integrated Development for R; RStudio, Inc.: Boston, MA, USA, 2018. [Google Scholar]
- R Core Team. R: A Language and Environment for Statistical Computing; R Foundation for Statistical Computing: Vienna, Austria, 2019. [Google Scholar]
- Varrichio, C. Rowr: Row-Based Functions for R Objects. Available online: https://CRAN.R-project.org/package=rowr (accessed on 1 May 2019).
- Henry, L.; Wickham, H. Purrr: Functional Programming Tools. Available online: https://CRAN.R-project.org/package=purrr (accessed on 8 September 2019).
- Müller, K.; Wickham, H. Tibble: Simple Data Frames. Available online: https://CRAN.R-project.org/package=tibble (accessed on 8 September 2019).
- Wickham, H. Forcats: Tools for Working with Categorical Variables (Factors). Available online: https://CRAN.R-project.org/package=forcats (accessed on 8 September 2019).
- Wickham, H. Stringr: Simple, Consistent Wrappers for Common String Operations. Available online: https://CRAN.R-project.org/package=stringr (accessed on 8 September 2019).
- Wickham, H. Ggplot2: Elegant Graphics for Data Analysis. Available online: https://ggplot2.tidyverse.org (accessed on 8 September 2019).
- Wickham, H. Tidyverse: Easily Install and Load the ‘Tidyverse’. Available online: https://CRAN.R-project.org/package=tidyverse (accessed on 8 September 2019).
- Wickham, H.; François, R.; Henry, L.; Müller, K. Dplyr: A Grammar of Data Manipulation. Available online: https://CRAN.R-project.org/package=dplyr (accessed on 8 September 2019).
- Wickham, H.; Henry, L. Tidyr: Easily Tidy Data with ‘Spread()’ and ‘Gather()’ Functions. Available online: https://CRAN.R-project.org/package=tidyr (accessed on 8 September 2019).
- Wickham, H.; Hester, J.; Francois, R. Readr: Read Rectangular Text Data. Available online: https://CRAN.R-project.org/package=readr (accessed on 8 September 2019).
- Das, S.; Akhter, R.; Huque, S.; Khandaker, S.; Shahriar, M.; Gorapi, M.Z.H. Socioeconomic conditions and health hazards of brick field workers: A case study of Mymensingh brick industrial area of Bangladesh. J. Public Health Epidemiol. 2017, 9, 198–205. [Google Scholar] [CrossRef]
- Rushen, J.; Taylor, A.A.; de Passillé, A.M. Domestic animals’ fear of humans and its effect on their welfare. Appl. Anim. Behav. Sci. 1999, 65, 285–303. [Google Scholar] [CrossRef]
- Sankey, C.; Richard-Yris, M.-A.; Leroy, H.; Henry, S.; Hausberger, M. Positive interactions lead to lasting positive memories in horses, Equus caballus. Anim. Behav. 2010, 79, 869–875. [Google Scholar] [CrossRef]
- Fureix, C.; Pages, M.; Bon, R.; Lassalle, J.M.; Kuntz, P.; Gonzalez, G. A preliminary study of the effects of handling type on horses’ emotional reactivity and the human-horse relationship. Behav. Process. 2009, 82, 202–210. [Google Scholar] [CrossRef]
- Upjohn, M.M.; Pfeiffer, D.U.; Verheyen, K.L. Helping working Equidae and their owners in developing countries: Monitoring and evaluation of evidence-based interventions. Vet. J. 2014, 199, 210–216. [Google Scholar] [CrossRef] [PubMed]



| Question | ‘Green’ Responses | ‘Amber’ Responses | ‘Red’ Responses | |
|---|---|---|---|---|
| Health | Are there any signs of skin system alterations? ∆ | no | Scars; alopecia; swellings | Open wounds; sarcoids |
| Is the equid lame? | no lameness | yes (intermittently or consistently lame) | yes, non-weight bearing; severely lame/unable to walk | |
| Please indicate obvious signs of illness ∆ | no signs present | nasal and/or eye discharge; signs of diarrhea; significant discharge from penis or vulva; abdominal pain | ||
| Is the equids coat healthy? | Yes | no | ||
| Behavior | General attitude of the equid at a distance? ∆ | at ease-relaxed, calm and/or resting; alert and actively interested in surroundings | apathetic, depressed, withdrawn; agitated, aggressive, hyper-reactive/vigilant | |
| Please indicate signs of fear and distress present ∆ | no signs of fear and distress present | showing the whites of the eyes; unpredictable or sudden movements; sudden startle responses; aggressive behavior; trembling; head shyness; completely withdrawn/shut down | ||
| Presence of signs of harmful practices? ∆ | no | signs of hot brand, firing; limb tethering or hobbling; amputations or mutilations; use of live serreta or similar | ||
| Owner’s/user’s/handler’s interaction when holding the equid? ∆ * | relaxed and confident | assertive/indifferent | aggressive | |
| cautious/fearful | ||||
| Is the equid with other animal(s)? ** | yes, physical contact | yes, visual contact | no |
| Group | % of Animals that Received Score | Cumulative % | Final Grade |
|---|---|---|---|
| Group A | |||
| A = | 27% | 100% | |
| B = | 39% | 73% | |
| C = | 15% | 34% | |
| D = | 9% | 19% | ←Final grade = D |
| E = | 2% | 10% | |
| F = | 5% | 8% | |
| G = | 0% | 3% | |
| H= | 2% | 3% | |
| I = | 1% | 1% | |
| J = | 0% | 0% | |
| Group B | |||
| A = | 30% | 100% | |
| B = | 39% | 70% | |
| C = | 19% | 31% | ←Final grade = C |
| D = | 3% | 12% | |
| E = | 6% | 9% | |
| F = | 2% | 3% | |
| G = | 0% | 1% | |
| H= | 1% | 1% | |
| I = | 0% | 0% | |
| J = | 0% | 0% |
| Region | Country | Total No. Equids Assessed | Health | Behavior |
|---|---|---|---|---|
| Asia | China | 61 | 61 | 0 |
| India | 103 | 73 | 39 | |
| Nepal | 2557 | 2459 | 1850 | |
| Pakistan | 635 | 514 | 591 | |
| Europe | Cyprus | 52 | 52 | 52 |
| Greece | 231 | 164 | 121 | |
| Ireland | 70 | 68 | 70 | |
| Italy | 120 | 113 | 83 | |
| Romania | 36 | 36 | 31 | |
| Spain | 38 | 38 | 18 | |
| United Kingdom | 2658 | 2523 | 2535 | |
| All | 6561 | 6101 | 5390 |
| Countries | Equid Role | Place or Type of Work (if Applicable) | Percent of Equids | (n) | |
|---|---|---|---|---|---|
| Asia | China | Production animal | -- | 100 | (61) |
| India | Draft or pack animal | Brick kilns; construction sites | 100 | (103) | |
| Nepal | Draft or pack animal | Brick kilns | 100 | (2557) | |
| Pakistan | Draft or pack animal | Brick kiln; coal mines; farm traction, transport of goods to market | 100 | (635) | |
| Europe | Cyprus | Companion/sanctuary animal | -- | 100 | (52) |
| Greece | Draft or pack animal | Construction site; tourism (riding) | 92 | (213) | |
| Companion/sanctuary animal | -- | 8 | (18) | ||
| Ireland | Companion/sanctuary animal | -- | 100 | (70) | |
| Italy | Production animal | -- | 81 | (97) | |
| Companion/sanctuary animal | -- | 19 | (23) | ||
| Romania | Companion/sanctuary animal | -- | 94 | (34) | |
| Draft or pack animal | Transport of goods to market | 6 | (2) | ||
| Spain | Other work | Religious festival | 100 | (38) | |
| United Kingdom | Companion/sanctuary animal | -- | 100 | (2658) |
| Region | Country | Local Grade | |
|---|---|---|---|
| Health | Behavior | ||
| Asia | China | C* | -- |
| India | E* | H* | |
| Nepal | C* | D* | |
| Pakistan | G* | E* | |
| Europe | Cyprus | C | C* |
| Greece | C | C* | |
| Italy | C | C* | |
| Ireland | B | C* | |
| Romania | C | C* | |
| Spain | B | C* | |
| United Kingdom | C | B | |
© 2020 by the authors. Licensee MDPI, Basel, Switzerland. This article is an open access article distributed under the terms and conditions of the Creative Commons Attribution (CC BY) license (http://creativecommons.org/licenses/by/4.0/).
Share and Cite
Kubasiewicz, L.M.; Rodrigues, J.B.; Norris, S.L.; Watson, T.L.; Rickards, K.; Bell, N.; Judge, A.; Raw, Z.; Burden, F.A. The Welfare Aggregation and Guidance (WAG) Tool: A New Method to Summarize Global Welfare Assessment Data for Equids. Animals 2020, 10, 546. https://doi.org/10.3390/ani10040546
Kubasiewicz LM, Rodrigues JB, Norris SL, Watson TL, Rickards K, Bell N, Judge A, Raw Z, Burden FA. The Welfare Aggregation and Guidance (WAG) Tool: A New Method to Summarize Global Welfare Assessment Data for Equids. Animals. 2020; 10(4):546. https://doi.org/10.3390/ani10040546
Chicago/Turabian StyleKubasiewicz, Laura M., João B. Rodrigues, Stuart L. Norris, Tamlin L. Watson, Karen Rickards, Nikki Bell, Andrew Judge, Zoe Raw, and Faith A. Burden. 2020. "The Welfare Aggregation and Guidance (WAG) Tool: A New Method to Summarize Global Welfare Assessment Data for Equids" Animals 10, no. 4: 546. https://doi.org/10.3390/ani10040546
APA StyleKubasiewicz, L. M., Rodrigues, J. B., Norris, S. L., Watson, T. L., Rickards, K., Bell, N., Judge, A., Raw, Z., & Burden, F. A. (2020). The Welfare Aggregation and Guidance (WAG) Tool: A New Method to Summarize Global Welfare Assessment Data for Equids. Animals, 10(4), 546. https://doi.org/10.3390/ani10040546

