ACTH Stimulation Induced Self-Mutilation Behavior in the Golden Conure (Guaruba guarouba)
Simple Summary
Abstract
1. Introduction
2. Materials and Methods
2.1. Ethics Statement
2.2. Animals and Husbandry
2.3. Experimental Procedure
2.3.1. Physiological Validation Experiment (ACTH Challenge Test)
2.3.2. Steroid Extraction and Quantification
2.4. Statistical Analysis
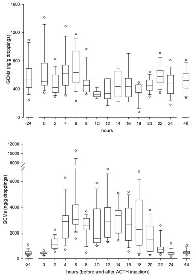
3. Results
4. Discussion
5. Conclusions
Author Contributions
Funding
Acknowledgments
Conflicts of Interest
References
- Laranjeiras, T.O.; Cohn-Haft, M. Where is the symbol of Brazilian Ornithology? The geographic distribution of the golden parakeet (Guarouba guarouba-Psittacidae). Revista Brasileira de Ornitologia 2009, 17, 1–19. [Google Scholar]
 - de Almeida, A.C.; Palme, R.; Moreira, N. How environmental enrichment affects behavioral and glucocorticoid responses in captive blue-and-yellow macaws (Ara ararauna). Appl. Anim. Behav. Sci. 2018, 201, 125–135. [Google Scholar] [CrossRef]
 - Ferreira, J.C.P.; Fujihara, C.J.; Fruhvald, E.; Trevisol, E.; Destro, F.C.; Teixeira, C.R.; Pantoja, J.C.F.; Schmidt, E.M.S.; Palme, R. Non-invasive measurement of adrenocortical activity in blue-fronted parrots (Amazona aestiva, Linnaeus, 1758). PLoS ONE 2015, 10, e0145909. [Google Scholar] [CrossRef] [PubMed]
 - Matos, L.S.S.; Palme, R.; Vasconcellos, A.S. Behavioural and hormonal effects of member replacement in captive groups of blue-fronted amazon parrots (Amazona aestiva). Behav. Process. 2017, 138, 160–169. [Google Scholar] [CrossRef] [PubMed]
 - Young, A.M.; Hallford, D.M. Validation of a fecal glucocorticoid metabolite assay to assess stress in the budgerigar (Melopsittacus undulatus). Zoo Biol. 2013, 32, 112–116. [Google Scholar] [CrossRef] [PubMed]
 - Rimbach, R.; Heymann, E.W.; Link, A.; Heistermann, M. Validation of an enzyme immunoassay for assessing adrenocortical activity and evaluation of factors that affect levels of fecal glucocorticoid metabolites in two new world primates. Gen. Comp. Endocrinol. 2013, 191, 13–23. [Google Scholar] [CrossRef]
 - Pizzutto, C.S.; Sgai, M.G.F.G.; Lopes, D.A.; Pessutti, C.; Nunes, A.; Furtado, P.V.; de Oliveira, C.A.; Guimarães, M.A.B.V. Relation between the level of self-mutilation and the concentration of fecal metabolites of glucocorticoids in captive chimpanzees (Pan troglodytes). Pesquisa Veterinária Brasileira 2015, 35, 62–66. [Google Scholar] [CrossRef]
 - Pizzuto, C.S.; Nichi, M.; Sgai, M.G.F.G.; Correa, S.H.R.; Viau, P.; Beresca, A.M.; Oliveira, C.A.; Barnabe, R.C.; Guimarães, M.A.B.V. Effect of environmental enrichment on behavioral and endocrine aspects of a captive Orangutan (Pongo pygmaeus). Lab. Primate Newsl. 2008, 47, 10–14. [Google Scholar]
 - Möstl, E.; Palme, R. Hormones as indicators of stress. Domest. Anim. Endocrinol. 2002, 23, 67–74. [Google Scholar] [CrossRef]
 - Sheriff, M.J.; Dantzer, B.; Delehanty, B.; Palme, R.; Boonstra, R. Measuring stress in wildlife: Techniques for quantifying glucocorticoids. Oecologia 2011, 166, 869–887. [Google Scholar] [CrossRef]
 - Staley, A.M.; Blanco, J.M.; Dufty, A.M.; Wildt, D.E.; Monfort, S.L. Fecal steroid monitoring for assessing gonadal and adrenal activity in the golden eagle and peregrine falcon. J. Comp. Physiol. B 2007, 177, 609–622. [Google Scholar] [PubMed]
 - Palme, R. Non-invasive measurement of glucocorticoids: Advances and problems. Physiol. Behav. 2019, 199, 229–243. [Google Scholar] [CrossRef] [PubMed]
 - Touma, C.; Palme, R. Measuring fecal glucocorticoid metabolites in mammals and birds: The importance of validation. Ann. N. Y. Acad. Sci. 2005, 1046, 54–74. [Google Scholar] [CrossRef] [PubMed]
 - Bishop, C.M.; Hall, M.R. Non-invasive monitoring of avian reproduction by simplified faecal steroid analysis. J. Zool. 1991, 224, 649–668. [Google Scholar]
 - Lee, J.; Tell, L.; Lasley, B. A comparison of sex steroid hormone excretion and metabolism by psittacine species. Zoo Biol. 1999, 18, 247–260. [Google Scholar] [CrossRef]
 - Dias, E.A.; Oliveira, C.A. Determinação do sexo de psitacídeos por radioimunoensaio (RIE) de esteróides sexuais a partir de excretas cloacais. Braz. J. Vet. Res. Anim. Sci. 2006, 43, 5–11. [Google Scholar]
 - Stocker, M.; Munteanu, A.; Stöwe, M.; Schwab, C.; Palme, R.; Bugnyar, T. Loner or socializer? Ravens’ adrenocortical response to individual separation depends on social integration. Horm. Behav. 2016, 78, 194–199. [Google Scholar] [CrossRef]
 - Dominchin, M.F.; Palme, R.; Marin, R.H.; Busso, J.M. Short social interactions in male Japanese Quail fail to influence temporal dynamics of testicular and adrenocortical activities irrespective of photoperiodic reproductive status. J. Ornithol. 2017, 158, 785–792. [Google Scholar] [CrossRef]
 - Hirschenhauser, K.; Möstl, E.; Péczely, P.; Wallner, B.; Dittami, J.; Kotrschal, K. Seasonal relationships between plasma and fecal testosterone in response to GnRH in domestic ganders. Gen. Comp. Endocrinol. 2000, 118, 262–272. [Google Scholar]
 - Costantini, V.; Carraro, C.; Bucci, F.A.; Simontacchi, C.; Lacalandra, G.M.; Minoia, P. Influence of a new slow-release GnRH analogue implant on reproduction in the budgerigar (Melopsittacus undulatus, Shaw 1805). Anim. Reprod. Sci. 2009, 111, 289–301. [Google Scholar]
 - Pereira, R.J.G.; Granzinolli, M.A.M.; Duarte, J.M.B. Annual profile of fecal androgen and glucocorticoid levels in free-living male american kestrels from southern mid-latitude areas. Gen. Comp. Endocrinol. 2010, 166, 94–103. [Google Scholar] [CrossRef] [PubMed]
 - Palme, R. Measuring fecal steroids: Guidelines for practical application. Ann. N. Y. Acad. Sci. 2005, 1046, 75–80. [Google Scholar] [CrossRef] [PubMed]
 - MöstL, E.; Rettenbacher, S.; Palme, R. Measurement of corticosterone metabolites in birds’ droppings: An analytical approach. Ann. N. Y. Acad. Sci. 2005, 1046, 17–34. [Google Scholar] [CrossRef] [PubMed]
 - Rettenbacher, S.; Möstl, E.; Hackl, R.; Ghareeb, K.; Palme, R. Measurement of corticosterone metabolites in chicken droppings. Br. Poult. Sci. 2004, 45, 704–711. [Google Scholar] [CrossRef]
 - Palme, R.; Touma, C.; Arias, N.; Dominchin, M.F.; Lepschy, M. Steroid extraction: Get the best out of faecal samples. Wien. Tierarztl. Monatsschr. 2013, 100, 238–246. [Google Scholar]
 - Fanson, K.V.; Best, E.C.; Bunce, A.; Fanson, B.G.; Hogan, L.A.; Keeley, T.; Narayan, E.J.; Palme, R.; Parrott, M.L.; Sharp, T.M.; et al. One size does not fit all: Monitoring faecal glucocorticoid metabolites in marsupials. Gen. Comp. Endocrinol. 2017, 244, 146–156. [Google Scholar] [CrossRef]
 - Owen, D.J.; Lane, J.M. High levels of corticosterone in feather-plucking parrots (Psittacus erithacus). Vet. Rec. 2006, 158, 804–805. [Google Scholar] [CrossRef]
 - Lennox, A.M.; Harrison, G.J. The companion bird. In Clinical Avian Medicine; Harrison, G.J., Lightfoot, T.L., Eds.; Spix Pub: Palm Beach, FL, USA, 2006; pp. 29–44. [Google Scholar]
 - Carsia, R.V.; Harvey, S. Adrenals. In Sturkie’s Avian Physiology; Elsevier: Amsterdam, The Netherlands, 2000; pp. 489–537. [Google Scholar]
 - Mason, G.J. Stereotypies: A critical review. Anim. Behav. 1991, 41, 1015–1037. [Google Scholar] [CrossRef]
 - Mormède, P.; Andanson, S.; Aupérin, B.; Beerda, B.; Guémené, D.; Malmkvist, J.; Manteca, X.; Manteuffel, G.; Prunet, P.; van Reenen, C.G.; et al. Exploration of the hypothalamic–pituitary–adrenal function as a tool to evaluate animal welfare. Physiol. Behav. 2007, 92, 317–339. [Google Scholar] [CrossRef]
 - Palme, R.; Rettenbacher, S.; Touma, C.; El-Bahr, S.M.; Möstl, E. Stress hormones in mammals and birds: Comparative aspects regarding metabolism, excretion, and noninvasive measurement in fecal samples. Ann. N. Y. Acad. Sci. 2005, 1040, 162–171. [Google Scholar] [CrossRef]
 - Romero, L.M.; Reed, J.M. Collecting baseline corticosterone samples in the field: Is under 3 min good enough? Comp. Biochem. Physiol. Part A Mol. Integr. Physiol. 2005, 140, 73–79. [Google Scholar] [CrossRef] [PubMed]
 - Möstl, E.; Messmann, S.; Bagu, E.; Robia, C.; Palme, R. Measurement of glucocorticoid metabolite concentrations in faeces of domestic livestock. J. Vet. Med. Ser. A 1999, 46, 621–631. [Google Scholar]
 - Baltic, M.; Jenni-eiermann, S.; Arlettaz, R.; Palme, R. A noninvasive technique to evaluate human-generated stress in the black grouse. Ann. N. Y. Acad. Sci. 2005, 1046, 81–95. [Google Scholar] [CrossRef] [PubMed]
 - Thiel, D.; Jenni-Eiermann, S.; Palme, R. Measuring corticosterone metabolites in droppings of Capercaillies (Tetrao urogallus). Ann. N. Y. Acad. Sci. 2005, 1046, 96–108. [Google Scholar] [CrossRef] [PubMed]
 - Busso, J.M.; Dominchin, M.F.; Marin, R.H.; Palme, R. Cloacal gland, endocrine testicular, and adrenocortical photoresponsiveness in male Japanese Quail exposed to short days. Domest. Anim. Endocrinol. 2013, 44, 151–156. [Google Scholar] [CrossRef] [PubMed]
 

© 2020 by the authors. Licensee MDPI, Basel, Switzerland. This article is an open access article distributed under the terms and conditions of the Creative Commons Attribution (CC BY) license (http://creativecommons.org/licenses/by/4.0/).
Share and Cite
Sinhorini, J.A.; Pizzutto, C.S.; Palme, R. ACTH Stimulation Induced Self-Mutilation Behavior in the Golden Conure (Guaruba guarouba). Animals 2020, 10, 418. https://doi.org/10.3390/ani10030418
Sinhorini JA, Pizzutto CS, Palme R. ACTH Stimulation Induced Self-Mutilation Behavior in the Golden Conure (Guaruba guarouba). Animals. 2020; 10(3):418. https://doi.org/10.3390/ani10030418
Chicago/Turabian StyleSinhorini, Juliana Anaya, Cristiane Schilbach Pizzutto, and Rupert Palme. 2020. "ACTH Stimulation Induced Self-Mutilation Behavior in the Golden Conure (Guaruba guarouba)" Animals 10, no. 3: 418. https://doi.org/10.3390/ani10030418
APA StyleSinhorini, J. A., Pizzutto, C. S., & Palme, R. (2020). ACTH Stimulation Induced Self-Mutilation Behavior in the Golden Conure (Guaruba guarouba). Animals, 10(3), 418. https://doi.org/10.3390/ani10030418
        
