Models Based on the Mitscherlich Equation for Describing Typical and Atypical Gas Production Profiles Obtained from In Vitro Digestibility Studies Using Equine Faecal Inoculum
Simple Summary
Abstract
1. Introduction
2. Materials and Methods
2.1. Datasets
2.1.1. Experiment 1: Inoculum from Horses
2.1.2. Experiment 2: Inoculum from Ponies
2.2. Models Fitted
2.3. Extent of Degradation
2.4. Fitting and Evaluation of Models
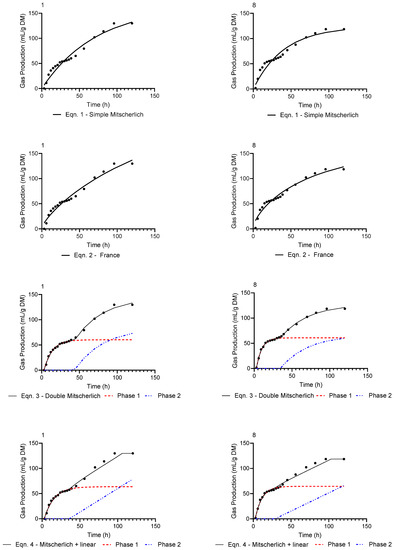
3. Results
3.1. Fitting Behaviour
3.2. Parameter Estimates and Fitted Gas Production Curves
3.3. Model Evaluation
3.4. Extent of Degradation
4. Discussion
4.1. Profile Shapes and Associated Parameters
4.2. Extent of Degradation
5. Conclusions
Supplementary Materials
Author Contributions
Funding
Conflicts of Interest
References
- Menke, K.H.; Steingass, H. Estimation of the energetic feed value obtained from chemical analysis and in vitro gas production using rumen fluid. Anim. Res. Dev. 1988, 28, 7–55. [Google Scholar]
- Theodorou, M.K.; Williams, B.A.; Dhanoa, M.S.; McAllan, A.B.; France, J. A simple gas production method using a pressure transducer to determine the fermentation kinetics of ruminant feeds. Anim. Feed Sci. Technol. 1994, 48, 185–197. [Google Scholar] [CrossRef]
- France, J.; Dijkstra, J.; Dhanoa, M.S.; López, S.; Bannink, A. Estimating the extent of degradation of ruminant feeds from a description of their gas production profiles observed in vitro: Derivation of models and other mathematical considerations. Br. J. Nutr. 2000, 83, 143–150. [Google Scholar] [CrossRef] [PubMed]
- France, J.; Dhanoa, M.S.; Theodorou, M.K.; Lister, S.J.; Davies, D.R.; Isac, D. A model to interpret gas accumulation profiles associated with in vitro degradation of ruminant feeds. J. Theor. Biol. 1993, 163, 99–111. [Google Scholar] [CrossRef]
- Mauricio, R.M.; Owen, E.; Mould, F.L.; Givens, I.; Theodorou, M.K.; France, J.; Davies, D.R.; Dhanoa, M.S. Comparison of bovine rumen liquor and bovine faeces as inoculum for an in vitro gas production technique for evaluating forages. Anim. Feed Sci. Technol. 2001, 89, 33–48. [Google Scholar] [CrossRef]
- Dhanoa, M.S.; France, J.; Crompton, L.A.; Mauricio, R.M.; Kebreab, E.; Mills, J.A.N.; Sanderson, R.; Dijkstra, J.; López, S. Technical note: A proposed method to determine the extent of degradation of a feed in the rumen from the degradation profile obtained with the in vitro gas production technique using feces as the inoculum. J. Anim. Sci. 2004, 82, 733–746. [Google Scholar] [CrossRef]
- López, S. In vitro and in situ techniques for estimating digestibility. In Quantitative Aspects of Ruminant Digestion and Metabolism; Dijkstra, J., Forbes, J.M., France, J., Eds.; CAB International: Wallingford, UK, 2005; pp. 87–121. [Google Scholar]
- Calabrò, S.; Cutrignelli, M.I.; Piccolo, G.; Bovera, F.; Zicarelli, F.; Gazaneo, M.P.; Infascelli, F. In vitro fermentation kinetics of fresh and dried silage. Anim. Feed Sci. Technol. 2005, 123–124, 129–137. [Google Scholar] [CrossRef]
- Yao, K.Y.; Gu, F.F.; Liu, J.X. In vitro rumen fermentation characteristics of substrate mixtures with soybean meal partially replaced by microbially fermented yellow wine lees. Ital. J. Anim. Sci. 2020, 19, 18–24. [Google Scholar] [CrossRef]
- Lowman, R.S.; Theodorou, M.K.; Hyslop, J.J.; Dhanoa, M.S.; Cuddeford, D. Evaluation of an in vitro batch culture technique for estimating the in vivo digestibility and digestible energy content of equine feeds using equine faeces as the source of microbial inoculum. Anim. Feed Sci. Technol. 1999, 80, 11–27. [Google Scholar] [CrossRef]
- Murray, J.A.M.D.; Longland, A.; Moore-Colyer, M. In vitro fermentation of different ratios of high-temperature dried lucerne and sugar beet pulp incubated with an equine faecal inoculum. Anim. Feed Sci. Technol. 2006, 129, 89–98. [Google Scholar] [CrossRef]
- Elghandour, M.M.Y.; Vázquez Chagoyán, J.C.; Salem, A.Z.M.; Kholif, A.E.; Martínez Castañeda, J.S.; Camacho, L.M.; Buendía, G. In vitro fermentative capacity of equine fecal inocula of 9 fibrous forages in the presence of different doses of Saccharomyces cerevisiae. J. Equine Vet. Sci. 2014, 34, 619–625. [Google Scholar] [CrossRef]
- Murray, J.M.D.; McMullin, P.; Handel, I.; Hastie, P.M. Comparison of intestinal contents from different regions of the equine gastrointestinal tract as inocula for use in an in vitro gas production technique. Anim. Feed Sci. Technol. 2014, 187, 98–103. [Google Scholar] [CrossRef]
- Garber, A.; Hastie, P.M.; Handel, I.; Murray, J.M.D. In vitro fermentation of different ratios of alfalfa and starch or inulin incubated with an equine faecal inoculum. Livest. Sci. 2018, 215, 7–15. [Google Scholar] [CrossRef]
- Groot, J.C.J.; Cone, J.W.; Williams, B.A.; Debersaques, F.M.A.; Lantinga, E.A. Multiphasic analysis of gas production kinetics for in vitro fermentation of ruminant feeds. Anim. Feed Sci. Technol. 1996, 64, 77–89. [Google Scholar] [CrossRef]
- López, S.; Dijkstra, J.; Dhanoa, M.S.; Bannink, A.; Kebreab, E.; France, J. A generic multi-stage compartmental model for interpreting gas production profiles. In Modelling Nutrient Digestion and Utilization in Farm Animals; Sauvant, D., Van Milgen, J., Faverdin, P., Friggens, N., Eds.; Wageningen Academic Publishers: Wageningen, The Netherlands, 2010; pp. 139–147. [Google Scholar]
- Mitscherlich, E. Das gesetz des minimums und das gesetz des abnehmenden bodenertrages. Landwirstsch Jahrb 1909, 38, 537–552. [Google Scholar]
- Thornley, J.; France, J. Growth functions. In Mathematical Models in Agriculture: Quantitative Methods for the Plant, Animal and Ecological Sciences, 2nd ed.; CAB International: Wallingford, UK, 2007; pp. 136–169. [Google Scholar]
- Murray, J.A.M.D.; Scott, B.; Hastie, P.M. Fermentative capacity of equine faecal inocula obtained from clinically normal horses and those predisposed to laminitis. Anim. Feed Sci. Technol. 2009, 151, 306–311. [Google Scholar] [CrossRef]
- Garber, A.; Hastie, P.M.; Farci, V.; Murray, J.M.D. Yeast increases in vitro gas production of high fibre substrate when incubated with equine faecal inoculum. In Proceedings of the 8th European Equine Health & Nutrition Congress, Antwerp, Belgium, 23–24 March 2017; p. 119. [Google Scholar]
- ANKOMRF. Gas Production System–Operator’s Manual (Rev F 1/26/15); Ankom Technology: Macedon, NY, USA, 2015. [Google Scholar]
- Dhanoa, M.S.; López, S.; Sanderson, R.; France, J. Simplified estimation of forage degradability in the rumen assuming zero-order degradation kinetics. J. Agric. Sci. 2009, 147, 225–240. [Google Scholar] [CrossRef]
- Drogoul, C.; Poncet, C.; Tisserand, J.L. Feeding ground and pelleted hay rather than chopped hay to ponies 1. Consequences for in vivo digestibility and rate of passage of digesta. Anim. Feed Sci. Technol. 2000, 87, 117–130. [Google Scholar] [CrossRef]
- SAS Institute Inc. SAS/STAT® 9.2 User’s Guide, Second Edition; SAS Institute Inc.: Cary, NC, USA, 2009. [Google Scholar]
- Bibby, J.; Toutenburg, H. Prediction and Improved Estimation in Linear Models; John Wiley and Sons: London, UK, 1977. [Google Scholar]
- Ross, T. Indices for performance evaluation of predictive models in food microbiology. J. Appl. Bacteriol. 1996, 81, 501–508. [Google Scholar] [CrossRef]
- Lin, L.I.-K. A concordance correlation coefficient to evaluate reproducibility. Biometrics 1989, 45, 255–268. [Google Scholar] [CrossRef]
- Lin, L.; Torbeck, L.D. Coefficient of accuracy and concordance correlation coefficient: New statistics for methods comparison. PDA J. Pharm. Sci. Technol. 1998, 52, 55–59. [Google Scholar] [PubMed]
- Akaike, H. A new look at the statistical model identification. IEEE Trans. Automat. Contr. 1974, 19, 716–723. [Google Scholar] [CrossRef]
- Draper, N.R.; Smith, H. Fitting a straight line by least squares. In Applied Regression Analysis; John Wiley & Sons, Inc.: Hoboken, NJ, USA, 1998; pp. 15–96. [Google Scholar]
- Krishnamoorthy, U.; Soller, H.; Steingass, H.; Menke, K.H. A comparative study on rumen fermentation of energy supplements in vitro. J. Anim. Physiol. Anim. Nutr. 1991, 65, 28–35. [Google Scholar] [CrossRef]
- Blümmel, M.; Ørskov, E.R. Comparison of in vitro gas production and nylon bag degradability of roughages in predicting feed intake in cattle. Anim. Feed Sci. Technol. 1993, 40, 109–119. [Google Scholar] [CrossRef]
- Schofield, P.; Pitt, R.E.; Pell, A.N. Kinetics of fiber digestion from in vitro gas production. J. Anim. Sci. 1994, 72, 2980–2991. [Google Scholar] [CrossRef]
- Dhanoa, M.S.; López, S.; Dijkstra, J.; Davies, D.R.; Sanderson, R.; Williams, B.A.; Sileshi, Z.; France, J. Estimating the extent of degradation of ruminant feeds from a description of their gas production profiles observed in vitro: Comparison of models. Br. J. Nutr. 2000, 83, 131–142. [Google Scholar] [CrossRef]
- Cone, J.W.; Van Gelder, A.H.; Visscher, G.J.W.; Oudshoorn, L. Influence of rumen fluid and substrate concentration on fermentation kinetics measured with a fully automated time related gas production apparatus. Anim. Feed Sci. Technol. 1996, 61, 113–128. [Google Scholar] [CrossRef]
- Wang, M.; Tang, S.X.; Tan, Z.L. Modeling in vitro gas production kinetics: Derivation of Logistic-Exponential (LE) equations and comparison of models. Anim. Feed Sci. Technol. 2011, 165, 137–150. [Google Scholar] [CrossRef]
- Stefanon, B.; Pell, A.N.; Schofield, P. Effect of maturity on digestion kinetics of water-soluble and water-insoluble fractions of alfalfa and brome hay. J. Anim. Sci. 1996, 74, 1104–1115. [Google Scholar] [CrossRef]
- Theodorou, M.K.; Davies, D.R.; Nielsen, B.B.; Lawrence, M.I.G.; Trinci, A.P.J. Determination of growth of anaerobic fungi on soluble and cellulosic substrates using a pressure transducer. Microbiology 1995, 141, 671–678. [Google Scholar] [CrossRef]
- Van Gelder, A.H.; Hetta, M.; Rodrigues, M.A.M.; De Boever, J.L.; Den Hartigh, H.; Rymer, C.; Van Oostrum, M.; Van Kaathoven, R.; Cone, J.W. Ranking of in vitro fermentability of 20 feedstuffs with an automated gas production technique: Results of a ring test. Anim. Feed Sci. Technol. 2005, 123–124, 243–253. [Google Scholar] [CrossRef]
- Tamminga, S.; Van Straalen, W.M.; Subnel, A.P.J.; Meijer, R.G.M.; Steg, A.; Wever, C.J.G.; Blok, M.C. The Dutch protein evaluation system: The DVE/OEB-system. Livest. Prod. Sci. 1994, 40, 139–155. [Google Scholar] [CrossRef]


| Control and Enzyme Treatments | ||
| Dataset-Substrate-Inoculum | Substrate (Chopped) | Inoculum from |
| 15-C-I1 | C Grass hay untreated (same as ponies were fed). | I1 Ponies fed control diet consisting of grass hay fed at 100% |
| 16-E1-I2 | E1 Grass hay treated with enzyme 0.75 mL/kg DM hay | I2 Ponies fed grass hay treated with enzyme 0.75 mL/kg DM hay |
| 17-E2-I3 | E2 Grass hay treated with enzyme 3.75 mL/kg DM hay | I3 Ponies fed grass hay treated with enzyme 3.75 mL/kg DM hay |
| Other treatments | ||
| Dataset-Substrate-Inoculum | Substrate (Ground to pass 1 mm screen) | Inoculum from |
| 18-A-I4 | A Grass hay (50%) + alfalfa (50%) | I4 Ponies fed 25% alfalfa and 75% grass hay (dry matter (DM) basis). Not supplemented with yeast. |
| 19-A1-I4 | A1 Grass hay (75%) + alfalfa (25%) | |
| 20-B-I5 | B Grass hay (50%) + alfalfa (50%) + Yeast (0.011 g) | I5 Ponies fed 25% alfalfa and 75% grass hay (DM basis). Supplemented daily with 30 g yeast per pony was mixed with alfalfa. |
| 21-B1-I5 | B1 Grass hay (75%) + alfalfa (25%) + Yeast (0.011 g) | |
| 22-C-I6 | C Grass hay (50%) + concentrate (50%) | I6 Ponies fed 25% concentrate and 75% grass hay (DM basis). Not supplemented with yeast. |
| 23-C1-I6 | C1 Grass hay (75%) + concentrate (25%) | |
| 24-D-I7 | D Grass hay (50%) + concentrate (50%) + Yeast (0.011 g) | I7 Ponies fed 25% concentrate and 75% grass hay (DM basis). Supplemented daily with 30 g yeast per pony mixed with concentrate. |
| 25-D1-I7 | D1 Grass hay (75%) + concentrate (25%) + Yeast (0.011 g) | |
| Simple Mitscherlich (Equation (1)) | France (Equation (2)) | Double Mitscherlich (Equation (3)) ‡ | Mitscherlich + linear (Equation (4)) § | |||||
|---|---|---|---|---|---|---|---|---|
| Dataset 1 | Dataset 8 | Dataset 1 | Dataset 8 | Dataset 1 | Dataset 8 | Dataset 1 | Dataset 8 | |
| A | 163.5 | 123.7 | 246.8 | 159.5 | 60.3, 84.3 * | 60.8, 66.8 * | 63.7 | 64.6 |
| c | 0.014 | 0.025 | 0.005 | 0.008 | 0.093, 0.026 * | 0.140, 0.027 * | 0.078 | 0.111 |
| T | 0 | 0 | 0 | 0 | 3.1, 43.4 * | 2.8, 34.6 * | 2.8, 35.9 | 2.5, 28.7 |
| d | 0.019 | 0.049 | ||||||
| β | 0.936 | 0.723 | ||||||
| Simple Mitscherlich (Equation (1)) | France (Equation (2)) | Double Mitscherlich (Equation (3)) ‡ | Mitscherlich + linear (Equation (4)) § | |||||
|---|---|---|---|---|---|---|---|---|
| Dataset 18 | Dataset 22 | Dataset 18 | Dataset 22 | Dataset 18 | Dataset 22 | Dataset 18 | Dataset 22 | |
| A | 120.6 | 148.7 * | 122.9 | 148.7 † | 109.7, 38.7 | 148.7 Ψ | 109.6 * | 147.7 |
| c | 0.071 | 0.078 * | 0.057 | 0.078 † | 0.090, 0.016 | 0.078 Ψ | 0.091 * | 0.079 |
| T | 0 | 0.5 * | 0 | 0.5 † | 0.3, 37.2 | 0.5 Ψ | 0.3, 34.8 * | 0.5, 33.1 |
| d | 0.037 | |||||||
| β | 0.473 * | 0.040 | ||||||
| Criteria | Model | |||
|---|---|---|---|---|
| Simple Mitscherlich (Equation (1)) | France (Equation (2)) | Double Mitscherlich (Equation (3)) | Mitscherlich + Linear (Equation (4)) | |
| Akaike information criterion (AIC) | ||||
| Average (±SE) | 73.1 (2.5) | 66.6 (2.6) | 46.7 (2.7) | 47.6 (5.2) |
| Mean rank | 3.4 | 2.9 | 1.4 | 1.7 |
| Number of times a model ranked 1st or 2nd | 2 | 5 | 22 | 25 |
| Mean square prediction error (MSPE) | ||||
| Average (±SE) | 31.6 (5.4) | 20.9 (3.2) | 5.1 (0.5) | 10.7 (1.7) |
| Mean rank | 3.4 | 2.6 | 1.3 | 1.6 |
| Number of times a model ranked 1st or 2nd | 2 | 5 | 22 | 25 |
| Concordance correlation coefficient (CCC) | ||||
| Average (±SE) | 0.979 (0.004) | 0.985 (0.003) | 0.996 (0.001) | 0.994 (0.001) |
| Mean rank | 3.5 | 2.6 | 1.4 | 1.7 |
| Number of times a model ranked 1st or 2nd | 5 | 9 | 22 | 25 |
| Accuracy factor (AF) | ||||
| Average | 1.32 (0.04) | 1.32 (0.04) | 1.18 (0.03) | 1.17 (0.03) |
| Mean rank | 2.8 | 3.2 | 1.4 | 1.5 |
| Number of times a model ranked 1st or 2nd | 7 | 3 | 25 | 25 |
| Number of runs test | ||||
| Too few runs | 25 | 24 | 7 | 19 |
| Runs are random | 0 | 0 | 18 | 6 |
| Durbin–Watson (DW) test | ||||
| Positive correlation | 25 | 23 | 7 | 10 |
| No evidence | 0 | 1 | 2 | 4 |
| Negative correlation | 0 | 0 | 16 | 11 |
| Dataset | Visual Curve Pattern | Simple Mitscherlich (Equation (1)) | France (Equation (2)) | Double Mitscherlich (Equation (3)) | Mitscherlich + Linear (Equation (4)) |
|---|---|---|---|---|---|
| 1 | Atypical | 22.7 | 15.5 | 25.5 * | 33.9 |
| 2 | Atypical | 34.3 | 28.5 | 35.1 * | 40.0 |
| 3 | Atypical | 25.4 | 12.7 | 25.1 * | 37.5 |
| 4 | Atypical | 26.7 | - | 25.0 * | 35.6 |
| 5 | Atypical | 31.1 | 21.8 | 29.1 * | 42.0 |
| 6 | Atypical | 30.3 | 21.7 | 30.0 * | 38.0 |
| 7 | Atypical | 34.9 | 28.6 | 32.7 * | 39.7 |
| 8 | Atypical | 30.4 | 24.4 | 30.0 * | 38.0 |
| 9 | Atypical | 23.4 | 16.0 | 33.2 * | 36.8 |
| 10 | Atypical | 22.4 | 19.0 | 24.2 * | 34.9 |
| 11 | Atypical | 36.3 | 32.9 | 29.1 * | 39.6 |
| 12 | Atypical | 33.4 | 32.6 | 30.2 * | 38.2 |
| 13 | Atypical | 25.9 | 22.0 | 28.1 * | 34.5 |
| 14 | Atypical | 33.3 | 31.3 | 25.1 * | 37.3 |
| 15 | Atypical | 31.6 | 31.6 | 31.6 Ψ | 38.4 * |
| 16 | Atypical | 34.2 | 23.5 | 34.2 Ψ | 38.9 * |
| 17 | Atypical | 35.5 | 19.5 | 35.5 Ψ | 42.0 * |
| 18 | Typical | 42.4 | 41.6 | 35.9 | 41.9 * |
| 19 | Typical | 42.1 | 40.5 | 36.8 * | 42.8 |
| 20 | Typical | 43.3 * | 43.3 † | 43.3 Ψ | 43.0 |
| 21 | Typical | 43.2 | 43.2 † | 41.2 | 42.9 * |
| 22 | Typical | 42.9 * | 42.9 † | 42.9 Ψ | 42.8 |
| 23 | Typical | 42.5 | 42.3 | 41.9 | 43.0 * |
| 24 | Typical | 44.2 | 44.2 † | 43.1 | 43.8 * |
| 25 | Typical | 43.0 | 43.1 | 41.2 | 42.8 * |
© 2020 by the authors. Licensee MDPI, Basel, Switzerland. This article is an open access article distributed under the terms and conditions of the Creative Commons Attribution (CC BY) license (http://creativecommons.org/licenses/by/4.0/).
Share and Cite
Powell, C.D.; Dhanoa, M.S.; Garber, A.; Murray, J.-A.M.D.; López, S.; Ellis, J.L.; France, J. Models Based on the Mitscherlich Equation for Describing Typical and Atypical Gas Production Profiles Obtained from In Vitro Digestibility Studies Using Equine Faecal Inoculum. Animals 2020, 10, 308. https://doi.org/10.3390/ani10020308
Powell CD, Dhanoa MS, Garber A, Murray J-AMD, López S, Ellis JL, France J. Models Based on the Mitscherlich Equation for Describing Typical and Atypical Gas Production Profiles Obtained from In Vitro Digestibility Studies Using Equine Faecal Inoculum. Animals. 2020; 10(2):308. https://doi.org/10.3390/ani10020308
Chicago/Turabian StylePowell, Christopher D., Mewa S. Dhanoa, Anna Garber, Jo-Anne M. D. Murray, Secundino López, Jennifer L. Ellis, and James France. 2020. "Models Based on the Mitscherlich Equation for Describing Typical and Atypical Gas Production Profiles Obtained from In Vitro Digestibility Studies Using Equine Faecal Inoculum" Animals 10, no. 2: 308. https://doi.org/10.3390/ani10020308
APA StylePowell, C. D., Dhanoa, M. S., Garber, A., Murray, J.-A. M. D., López, S., Ellis, J. L., & France, J. (2020). Models Based on the Mitscherlich Equation for Describing Typical and Atypical Gas Production Profiles Obtained from In Vitro Digestibility Studies Using Equine Faecal Inoculum. Animals, 10(2), 308. https://doi.org/10.3390/ani10020308

