Play in Elephants: Wellbeing, Welfare or Distraction?
Simple Summary
Abstract
1. Introduction
Play Behaviour: Development and Welfare?
2. Methods
2.1. Classification of Play Types
2.2. Observational and Analytical Methods
2.3. Ethics and Research Permission
3. Results
3.1. Play Types by Context
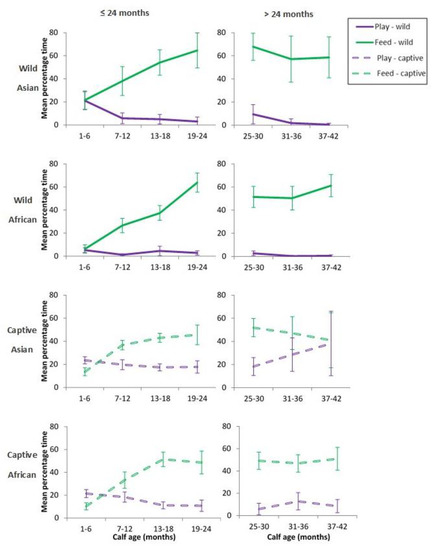
3.2. Energetics and Play
4. Discussion
5. Conclusions
Supplementary Materials
Author Contributions
Funding
Acknowledgments
Conflicts of Interest
References
- Burghardt, G.M. The genesis of animal play: Testing the limits; MIT Press: Cambridge, MA, USA, 2006. [Google Scholar]
- Gomendio, M. The development of different types of play in gazelles: Implications for the nature and functions of play. Anim. Behav. 1988, 36, 825–836. [Google Scholar] [CrossRef]
- Bateson, P. Discontinuities in development and changes in the organization of play in cats. In Behavioural Development; Immelmann, K., Barlow, G.W., Petrinovich, L., Main, M., Eds.; Cambridge University Press: Cambridge, UK, 1981; pp. 281–295. [Google Scholar]
- Graham, K.L.; Burghardt, G.M. Current perspectives on the biological study of play: Signs of progress. Q. Rev. Biol. 2010, 85, 393–418. [Google Scholar] [CrossRef] [PubMed]
- Byosiere, S.-E.; Espinosa, J.; Smuts, B. Investigating the function of play bows in adult pet dogs (Canis lupus familiaris). Behav. Process. 2016, 125, 106–113. [Google Scholar] [CrossRef] [PubMed]
- Bekoff, M. The development of social interaction, play, and metacommunication in mammals: An ethological perspective. Q. Rev. Biol. 1972, 47, 412–434. [Google Scholar] [CrossRef]
- Bekoff, M. Social play behaviour. Cooperation, fairness, trust, and the evolution of morality. J. Conscious Stud. 2001, 8, 81–90. [Google Scholar]
- Lee, P.C.; Moss, C.J. African elephant play, competence and social complexity. Anim. Behav. Cogn. 2014, 2, 144. [Google Scholar] [CrossRef]
- Lee, P.C. Early social development among African elephant calves. Natl. Geogr. Res. 1986, 2, 388–401. [Google Scholar]
- Lee, P.C.; Moss, C.J. Calf development and maternal rearing strategies. In The Amboseli Elephants: A Long-Term Perspective on a Long-Lived Animal; Moss, C.J., Croze, H., Lee, P.C., Eds.; University of Chicago Press: Chicago, IL, USA, 2011; pp. 224–237. [Google Scholar]
- Lee, P.C.; Bussière, L.F.; Webber, C.E.; Poole, J.H.; Moss, C.J. Enduring consequences of early experiences: 40 year effects on survival and success among African elephants (Loxodonta africana). Biol. Lett. 2013, 9, 20130011. [Google Scholar] [CrossRef]
- Fagen, R.; Fagen, J. Juvenile survival and benefits of play behaviour in brown bears, Ursus arctos. Evol. Ecol. Res. 2004, 6, 89–102. [Google Scholar]
- Fagen, R.; Fagen, J. Play behaviour and multi-year juvenile survival in free-ranging brown bears, Ursus arctos. Evol. Ecol. Res. 2009, 6, 1–15. [Google Scholar]
- Bateson, P. Playfulness and creativity. Curr. Biol. 2015, 25, R12–R16. [Google Scholar] [CrossRef] [PubMed]
- Lee, P.C. Play as a means for developing relationships. In Primate Social Relationships; Hinde, R.A., Ed.; Blackwell Scientific Publications: Oxford, UK, 1983; pp. 81–89. [Google Scholar]
- Spinka, M.; Newberry, R.C.; Bekoff, M. Mammalian play: Training for the unexpected. Q. Rev. Biol. 2001, 76, 141–168. [Google Scholar] [CrossRef] [PubMed]
- Wood-Gush, D.; Vestergaard, K. The seeking of novelty and its relation to play. Anim. Behav. 1991, 42, 599–606. [Google Scholar] [CrossRef]
- Thompson, K.V. Self assessment in juvenile play. In Animal Play; Cambridge University Press (CUP): Cambridge, UK, 1998; pp. 183–204. [Google Scholar]
- Blumstein, D.T.; Chung, L.K.; Smith, J.E. Early play may predict later dominance relationships in yellow-bellied marmots (Marmota flaviventris). Proc. R. Soc. B Biol. Sci. 2013, 280, 20130485. [Google Scholar] [CrossRef] [PubMed]
- Pellis, S.M.; Pellis, V.C.; Bell, H.C. The function of play in the development of the social brain. Am. J. Play 2010, 2, 278–296. [Google Scholar]
- Burleson, C.A.; Pedersen, R.W.; Seddighi, S.; DeBusk, L.E.; Burghardt, G.M.; Cooper, M.A. Social play in juvenile hamsters alters dendritic morphology in the medial prefrontal cortex and attenuates effects of social stress in adulthood. Behav. Neurosci. 2016, 130, 437–447. [Google Scholar] [CrossRef]
- Taborsky, B.; Oliveira, R.F. Social competence: An evolutionary approach. Trends Ecol. Evol. 2012, 27, 679–688. [Google Scholar] [CrossRef]
- Dallaire, J.A.; Mason, G.J. Play in juvenile mink: Litter effects, stability over time, and motivational heterogeneity. Dev. Psychobiol. 2016, 58, 945–957. [Google Scholar] [CrossRef]
- Miller, M.N.; Byers, J.A. Energetic cost of locomotor play in pronghorn fawns. Anim. Behav. 1991, 41, 1007–1013. [Google Scholar] [CrossRef]
- Berghänel, A.; Schülke, O.; Ostner, J. Locomotor play drives motor skill acquisition at the expense of growth: A life history trade-off. Sci. Adv. 2015, 1, e1500451. [Google Scholar] [CrossRef]
- Martin, P. The time and energy costs of play behaviour in the cat. Z. Tierpsychol. 1984, 64, 298–312. [Google Scholar] [CrossRef]
- Kuehl, H.S.; Elzner, C.; Moebius, Y.; Boesch, C.; Walsh, P.D. The Price of Play: Self-Organized Infant Mortality Cycles in Chimpanzees. PLoS ONE 2008, 3, e2440. [Google Scholar] [CrossRef] [PubMed]
- Harcourt, R. The development of play in the South American fur seal. Ethology 1991, 88, 191–202. [Google Scholar] [CrossRef]
- Bekoff, M.; Fagen, R. Animal Play Behavior. Evolution 1981, 35, 1254. [Google Scholar]
- Cordoni, G. Social play in captive wolves (Canis lupus): Not only an immature affair. Behaviour 2009, 146, 1363–1385. [Google Scholar] [CrossRef]
- Lee, P. Ecological constraints on the social development of Vervet Monkeys. Behaviour 1984, 91, 245–261. [Google Scholar] [CrossRef]
- Rasa, A.E. A motivational analysis of object play in juvenile dwarf mongooses (Helogale undulata rufula). Anim. Behav. 1984, 32, 579–589. [Google Scholar] [CrossRef]
- Donaldson, T.M.; Newberry, R.C.; Špinka, M.; Cloutier, S. Effects of early play experience on play behaviour of piglets after weaning. Appl. Anim. Behav. Sci. 2002, 79, 221–231. [Google Scholar] [CrossRef]
- Krachun, C.; Rushen, J.; De Passille, A.M. Play behaviour in dairy calves is reduced by weaning and by a low energy intake. Appl. Anim. Behav. Sci. 2010, 122, 71–76. [Google Scholar] [CrossRef]
- Müller-Schwarze, D.; Stagge, B.; Muller-Schwarze, C. Play Behavior: Persistence, Decrease, and Energetic Compensation during Food Shortage in Deer Fawns. Science 1982, 215, 85–87. [Google Scholar] [CrossRef]
- Sharpe, L.; Clutton-Brock, T.; Brotherton, P.; Cameron, E.; Cherry, M. Experimental provisioning increases play in free-ranging meerkats. Anim. Behav. 2002, 64, 113–121. [Google Scholar] [CrossRef]
- Bekoff, M.; Byers, J.A. Time, energy and play. Anim. Behav. 1992, 44, 981–982. [Google Scholar] [CrossRef]
- Cooke, B.M.; Shukla, D. Double helix: Reciprocity between juvenile play and brain development. Dev. Cogn. Neurosci. 2011, 1, 459–470. [Google Scholar] [CrossRef] [PubMed]
- Descovich, K.; Wathan, J.W.; Leach, M.C.; Buchanan-Smith, H.M.; Flecknell, P.; Farningham, D.; Vick, S.J. Facial expression: An under-utilized tool for the assessment of welfare in mammals. ALTEX Alt. Anim. Exp. 2017, 34, 409–429. [Google Scholar] [CrossRef] [PubMed]
- Fraser, D.; Duncan, I.J.H. ‘Pleasures’, ‘Pains’ and animal welfare: Toward a natural history of affect. Anim. Welfare 1998, 7, 383–396. [Google Scholar]
- Held, S.D.; Špinka, M. Animal play and animal welfare. Anim. Behav. 2011, 81, 891–899. [Google Scholar] [CrossRef]
- Panksepp, J.; Burgdorf, J. “Laughing” rats and the evolutionary antecedents of human joy? Physiol. Behav. 2003, 79, 533–547. [Google Scholar] [CrossRef]
- Boissy, A.; Manteuffel, G.; Jensen, M.B.; Moe, R.O.; Spruijt, B.; Keeling, L.J.; Winckler, C.; Forkman, B.; Dimitrov, I.; Langbein, J.; et al. Assessment of positive emotions in animals to improve their welfare. Physiol. Behav. 2007, 92, 375–397. [Google Scholar] [CrossRef]
- Mellor, D.J. Updating animal welfare thinking: Moving beyond the “five freedoms” towards “a life worth living”. Animals 2016, 6, 21. [Google Scholar] [CrossRef]
- Wemmer, C.E.; Christen, C.A. Elephants and Ethics: Toward a Morality of Coexistence; Johns Hopkins University Press: Baltimore, MD, USA, 2008. [Google Scholar]
- Greco, B.J.; Meehan, C.L.; Miller, L.J.; Shepherdson, D.J.; Morfeld, K.A.; Andrews, J.; Baker, A.M.; Carlstead, K.; Mench, J.A. Elephant management in North American zoos: Environmental enrichment, feeding, exercise, and training. PLoS ONE 2016, 1, e0152490. [Google Scholar] [CrossRef]
- Meehan, C.L.; Hogan, J.N.; Bonaparte-Saller, M.K.; Mench, J.A. Housing and social environments of African (Loxodonta africana) and Asian (Elephas maximus) elephants in North American zoos. PLoS ONE 2016, 11, e0146703. [Google Scholar] [CrossRef] [PubMed]
- Prado-Oviedo, N.A.; Bonaparte-Saller, M.K.; Malloy, E.J.; Meehan, C.L.; Mench, J.A.; Carlstead, K.; Brown, J.L. Evaluation of demographics and social life events of Asian (Elephas maximus) and African elephants (Loxodonta africana) in North American zoos. PLoS ONE 2016, 11, e0154750. [Google Scholar] [CrossRef] [PubMed]
- Ahloy-Dallaire, J.; Espinosa, J.; Mason, G. Play and optimal welfare: Does play indicate the presence of positive affective states? Behav. Process. 2018, 156, 3–15. [Google Scholar] [CrossRef] [PubMed]
- Blois-Heulin, C.; Rochais, C.; Camus, S.; Fureix, C.; Lemasson, A.; Lunel, C.; Bezard, E.; Hausberger, M. Animal Welfare: Could Adult Play be a False Friend? Anim. Behav. Cogn. 2015, 2, 156–185. [Google Scholar] [CrossRef]
- Yamanashi, Y.; Nogami, E.; Teramoto, M.; Morimura, N.; Hirata, S. Adult-adult social play in captive chimpanzees: Is it indicative of positive animal welfare? Appl. Anim. Behav. Sci. 2018, 199, 75–83. [Google Scholar] [CrossRef]
- Powell, D.M.; Vitale, C. Behavioral changes in female Asian elephants when given access to an outdoor yard overnight. Zoo Biol. 2016, 35, 298–303. [Google Scholar] [CrossRef]
- Hausberger, M.; Fureix, C.; Bourjade, M.; Wessel-Robert, S.; Richard-Yris, M.-A. On the significance of adult play: What does social play tell us about adult horse welfare? Naturwissenschaften 2012, 99, 291–302. [Google Scholar] [CrossRef]
- Vicino, G.A.; Marcacci, E.S. Intensity of play behavior as a potential measure of welfare: A novel method for quantifying the integrated intensity of behavior in African elephants. Zoo Biol. 2015, 34, 492–496. [Google Scholar] [CrossRef]
- Poole, J.H.; Granli, P. The visual, tactile and acoustic signals of play in African savannah elephants. In Endangered Elephants; Past, Present and Future; Jayewardene, J., Ed.; Biodiversity & Elephant Conservation Trust: Colombo, Sri Lanka, 2004; pp. 44–50. [Google Scholar]
- Mendoza-Granados, D.; Sommer, V. Play in chimpanzees of the Arnhem Zoo: Self-serving compromises. Primates 1995, 36, 57–68. [Google Scholar] [CrossRef]
- Poole, J.H.; Granli, P. Signals, Gestures and Behavior of African Elephants. In The Amboseli Elephants: A Long-Term Perspective on a Long-Lived Animal; Moss, C.J., Croze, H., Lee, P.C., Eds.; University of Chicago Press: Chicago, IL, USA, 2011; pp. 109–124. [Google Scholar]
- Moss, C.J. Getting to know a population. In Studying Elephants: AFW Technical Handbook Series 7; Kangwana, K., Ed.; African Wildlife Foundation: Nairobi, Kenya, 1996; pp. 58–74. [Google Scholar]
- Martin, P.; Bateson, P.P.G. Measuring Behaviour: An Introductory Guide; Cambridge University Press: Cambridge, UK, 1993. [Google Scholar]
- Webber, C.E. A comparison of behavioural development of elephant calves in captivity and in the wild: Implications for welfare. Ph.D. Thesis, University of Stirling, Stirling, UK, 2017. [Google Scholar]
- Bolker, B.M.; Brooks, M.E.; Clark, C.J.; Geange, S.W.; Poulsen, J.R.; Stevens, M.H.H.; White, J.-S.S. Generalized linear mixed models: A practical guide for ecology and evolution. Trends Ecol. Evol. 2009, 24, 127–135. [Google Scholar] [CrossRef]
- Stevenson, M.F.; Poole, T.B. Playful interactions in family groups of the common marmoset (Callithrix jacchus jacchus). Anim. Behav. 1982, 30, 886–900. [Google Scholar] [CrossRef]
- De Silva, S.; Webber, C.E.; Weerathunga, U.S.; Pushpakumara, T.V.; Weerakoon, D.K.; Wittemyer, G. Demographic variables for wild asian elephants using longitudinal observations. PLoS ONE 2013, 8, e82788. [Google Scholar] [CrossRef] [PubMed]
- De Silva, S.; Wittemyer, G. A Comparison of social organization in Asian Elephants and African Savannah Elephants. Int. J. Primatol. 2012, 33, 1125–1141. [Google Scholar] [CrossRef]
- Bradshaw, G.A.; Schore, A.N.; Brown, J.L.; Poole, J.H.; Moss, C.J. Elephant breakdown. Nature 2005, 433, 807. [Google Scholar] [CrossRef] [PubMed]
- Mann, J. Establishing trust: Socio-sexual behaviour and the development of male-male bonds among Indian Ocean bottlenose dolphins. In Homosexual Behaviour in Animals; Sommer, V., Vasey, P.L., Eds.; Cambridge University Press: Cambridge, UK, 2006; pp. 107–130. [Google Scholar]
- Kuczaj, S.; Makecha, R.; Trone, M.; Paulos, R.D.; Ramos, J. Role of peers in cultural innovation and cultural transmission: Evidence from the play of dolphin calves. Int. J. Comp. Psych. 2006, 19, 223–240. [Google Scholar]
- Hayaki, H. Social play of juvenile and adolescent chimpanzees in the Mahale Mountains National Park, Tanzania. Primates 1985, 26, 343–360. [Google Scholar] [CrossRef]
- Paulos, R.D.; Trone, M.; Kuczaj, S.A. Play in wild and captive cetaceans. Int. J. Comp. Psych. 2010, 23, 701–722. [Google Scholar]
- Miller, M.N.; Byers, J.A. Sparring as play in young pronghorn males. In Animal Play; Cambridge University Press (CUP): Cambridge, UK, 1998; pp. 141–160. [Google Scholar]
- Lee, P.C.; Moss, C.J. Early maternal investment in male and female African elephant calves. Behav. Ecol. Sociobiol. 1986, 18, 353–361. [Google Scholar] [CrossRef]
- Duve, L.; Weary, D.; Halekoh, U.; Jensen, M.B. The effects of social contact and milk allowance on responses to handling, play, and social behavior in young dairy calves. J. Dairy Sci. 2012, 95, 6571–6581. [Google Scholar] [CrossRef]
- Lindsay, W.K. Habitat use: Diet choice, and nutritional status in female and male Amboseli elephants. In The Amboseli Elephants: A Long-Term Perspective on a Long-Lived Animal; Moss, C.J., Croze, H., Lee, P.C., Eds.; University of Chicago Press: Chicago, IL, USA, 2011; pp. 51–80. [Google Scholar]
- Eisenberg, J.F.; Lockhart, M. An ecological reconnaissance of Wilpattu National Park, Ceylon. Smithson. Contrib. Zool. 1972, 1–118. [Google Scholar] [CrossRef]
- Morfeld, K.A.; Brown, J.L. Ovarian acyclicity in zoo African elephants (Loxodonta africana) is associated with high body condition scores and elevated serum insulin and leptin. Reprod. Fertil. Dev. 2016, 28, 640–647. [Google Scholar] [CrossRef]
- Dawkins, M.S. From an animal’s point of view: Motivation, fitness, and animal welfare. Behav. Brain Sci. 1990, 13, 1–9. [Google Scholar] [CrossRef]
- Burn, C.C. Bestial boredom: A biological perspective on animal boredom and suggestions for its scientific investigation. Anim. Behav. 2017, 130, 141–151. [Google Scholar] [CrossRef]
- Mason, G.J.; Burn, C.C.; Appleby, M.C.; Mench, J.A.; Olsson, I.A.S.; Hughes, B.O. Behavioural restriction. In Animal Welfare; CABI Publishing: Wallingford, UK, 2011; pp. 98–119. [Google Scholar]
- Chaloupková, H.; Illmann, G.; Bartoš, L.; Špinka, M. The effect of pre-weaning housing on the play and agonistic behaviour of domestic pigs. Appl. Anim. Behav. Sci. 2007, 103, 25–34. [Google Scholar] [CrossRef]
- Vinke, C.M.; van Leeuwen, J.; Spruijt, B.M. Juvenile farmed mink (Mustela vison) with additional access to swimming water play more frequently than animals housed with a cylinder and platform, but without swimming water. Anim. Welfare 2005, 14, 53–60. [Google Scholar]
- Veasey, J. Concepts in the care and welfare of captive elephants. Int. Zoo Yearb. 2006, 40, 63–79. [Google Scholar] [CrossRef]



| Play Type | Description of Play | Age-Sex Classes (in African Elephants) | |
|---|---|---|---|
| Non-social | Lone (L) | Locomotor: Floppy-running, running while swinging ears and head or head low and swinging in mock-charge. Spinning, rocking, kicking, kneeling down on front legs and/or allowing the trunk to flop their own head from a raised position while opening their mouth (Flop-Trunk-on-Head). Often accompanied by ‘play’ (low, pulsating) trumpets.
| All ages; swimming especially seen in adolescent and adult males |
| Object (O) | Playfully exploring objects with trunk, mouth, tusks or feet in a vigorous or gentle manner; throwing objects, rolling objects, general intense manipulation of objects. Repeated acts, associated with playful head and ear movements.
| All ages | |
| Social | Gentle-contact (G) | Climb upon, wiggling, lean on, rub against, roll onto, shove gently, trunk twining and gentle trunk wrestle. Can also include kneeling down on front legs or Flop-Trunk-on-Head.
| Infant and juveniles, often older juvenile females play with young calves |
| Escalated-contact (E) | Mount, reaching over the back of another, tail grasping, chase, push vigorously, vigorous sparring head to head. Trunk in relaxed position.
| Juvenile and adolescent males and females, adult; swimming especially seen in adolescent and adult males | |
| Age Category by Sex | ||||||
|---|---|---|---|---|---|---|
| Age Category | 1–6 Months | 7–12 Months | 13–18 Months | 19–24 Months | 3–5 Years | Total |
| Male | 11 (87) | 7 (72) | 13 (127) | 6 (63) | 18 (121) | 38 (470) |
| Female | 25 (270) | 11 (96) | 19 (150) | 7 (65) | 20 (189) | 50 (770) |
| Age Category by Sex | ||||||
|---|---|---|---|---|---|---|
| Age Category | 1–6 Months | 7–12 Months | 13–18 Months | 19–24 Months | 3–5 Years | Overall |
| Male | 24 (355) | 24 (311) | 25 (274) | 12 (125) | 52 (551) | 58 (1606) |
| Female | 23 (481) | 25 (269) | 18 (196) | 15 (171) | 65 (748) | 72 (1852) |
| Asian Calf ID and Sex by Age | ||||||
| Age Category | 1–6 Months | 7–12 Months | 13–18 Months | 19–24 Months | 3–5 Years | Total |
| Raman ♂ | 318 | 56 | 0 | 0 | 0 | 374 |
| Nayan ♂ | 1328 | 912 | 543 | 348 | 559 | 3690 |
| Jamilah ♀ | 1110 | 511 | 351 | 410 | 284 | 2666 |
| Hari ♂ | 750 | 274 | 263 | 0 | 0 | 1287 |
| Bala ♀ | 603 | 277 | 262 | 0 | 0 | 1142 |
| Scott ♂ | 586 | 264 | 228 | 0 | 0 | 1078 |
| Gheta ♀ | 0 | 0 | 0 | 0 | 414 | 414 |
| Ned ♂ | 0 | 0 | 61 | 164 | 171 | 396 |
| African Calf ID and Sex by Age | ||||||
| Age Category | 1–6 Months | 7–12 Months | 13–18 Months | 19–24 Months | 3–5 Years | Total |
| Mchumba ♂ | 684 | 410 | 263 | 224 | 0 | 1581 |
| Mansi ♀ | 0 | 565 | 430 | 332 | 147 | 1474 |
| Jaluka ♀ | 686 | 185 | 281 | 181 | 0 | 1333 |
| Tammi’s ♀ | 128 | 0 | 0 | 0 | 0 | 128 |
| Impi ♂ | 412 | 191 | 224 | 67 | 0 | 894 |
| Etana ♀ | 0 | 0 | 0 | 0 | 756 | 756 |
| Uzuri ♀ | 0 | 0 | 0 | 0 | 525 | 525 |
| Percent Play | Social Play | Non-Social Play | Total play | |||||||||
|---|---|---|---|---|---|---|---|---|---|---|---|---|
| Mean % | Median % | IQR % | 95% CI | Mean % | Median % | IQR % | 95% CI | Mean % | Median % | IQR % | 95% CI | |
| Wild Asian (N = 39, 56) | 4.89 | 0.00 | 0.00 | 2.69–7.09 | 6.19 | 0.00 | 0.00 | 3.72–8.66 | 11.08 | 0.00 | 16.67 | 7.52–14.63 |
| Wild African (N = 52, 69) | 2.82 | 0.00 | 7.14 | 1.83–3.85 | 0.70 | 0.00 | 0.00 | 0.21–1.20 | 3.54 | 0.00 | 7.69 | 2.36–4.73 |
| Captive Asian (N = 5, 3) | 9.17 | 8.66 | 13.16 | 7.97–10.39 | 11.29 | 9.76 | 11.85 | 9.87–12.70 | 20.46 | 18.75 | 14.77 | 18.55–22.37 |
| Captive African (N =2, 5) | 5.71 | 3.92 | 7.84 | 4.56–6.85 | 10.34 | 10.14 | 9.49 | 8.81–11.85 | 16.04 | 14.71 | 15.79 | 13.94–18.14 |
| Context | Behaviour | Correlation Coefficient rs | ||||
|---|---|---|---|---|---|---|
| Rest | Move | Suck | Play | N | ||
| Asian wild male | Feed | −0.328 (p = 0.005) | −0.471 (p < 0.001) | −0.206 (p = 0.081) | −0.417 (p < 0.001) | 73 |
| Rest | 0.150 (p = 0.204) | −0.167 (p = 0.158) | −0.003 (p = 0.983) | 73 | ||
| Move | −0.052 (p = 0.664) | −0.112 (p = 0.347) | 73 | |||
| Suck | 0.047 (p = 0.695) | 73 | ||||
| African wild male | Feed | −0.808 (p < 0.001) | −0.376 (p < 0.001) | −0.016 (p = 0.253) | −0.159 (p = 0.085) | 118 |
| Rest | −0.021 (p = 0.820) | 0.028 (p = 0.764) | 0.058 (p = 0.529) | 118 | ||
| Move | −0.120 (p = 0.196) | −0.091 (p = 0.325) | 118 | |||
| Suck | −0.033 (p = 0.725) | 118 | ||||
| Asian captive male | Feed | −0.541 (p < 0.001) | −0.403 (p < 0.001) | −0.286 (p = 0.003) | −0.387 (p < 0.001) | 106 |
| Rest | −0.209 (p = 0.032) | 0.237 (p = 0.014) | −0.078 (p = 0.428) | 106 | ||
| Move | −0.037 (p = 0.708) | −0.107 (p = 0.277) | 106 | |||
| Suck | −0.056 (p = 0.568) | 106 | ||||
| African captive male | Feed | −0.665 (p < 0.001) | −0.511 (p = 0.001) | −0.758 (p < 0.001) | −0.460 (p = 0.002) | 42 |
| Rest | 0.129 (p = 0.416) | 0.426 (p = 0.002) | 0.032 (p = 0.840) | 42 | ||
| Move | 0.225 (p = 0.151) | 0.228 (p = 0.146) | 42 | |||
| Suck | 0.387 (p = 0.011) | 2 | ||||
| Asian wild female | Feed | −0.278 (p = 0.003) | −0.424 (p < 0.001) | −0.052 (p = 0.583) | −0.392 (p < 0.001) | 110 |
| Rest | −0.069 (p = 0.472) | 0.056 (p = 0.556) | 0.167 (p = 0.078) | 110 | ||
| Move | −0.137 (p = 0.151) | −0.081 (p = 0.399) | 110 | |||
| Suck | 0.024 (p = 0.801) | 110 | ||||
| African wild female | Feed | −0.787 (p < 0.001) | −0.204 (p = 0.019) | −0.115 (p = 0.187) | −0.249 (p = 0.004) | 130 |
| Rest | −0.192 (p = 0.027) | 0.006 (p = 0.944) | 0.139 (p = 0.114) | 130 | ||
| Move | 0.010 (p = 0.910) | −0.133 (p = 0.130) | 130 | |||
| Suck | −0.086 (p = 0.327) | 130 | ||||
| Asian captive female | Feed | −0.570 (p < 0.001) | −0.295 (p = 0.016) | −0.434 (p < 0.001) | −0.552 (p < 0.001) | 66 |
| Rest | 0.068 (p = 0.589) | 0.318 (p = 0.009) | −0.105 (p = 0.404) | 66 | ||
| Move | −0.007 (p = 0.956) | −0.114 (p = 0.362) | 66 | |||
| Suck | 0.023 (p = 0.852) | 66 | ||||
| African captive female | Feed | −0.095 (p = 0.423) | −0.485 (p < 0.001) | −0.297 (p = 0.010) | −0.354 (p = 0.002) | 74 |
| Rest | −0.141 (p = 0.231) | −0.083 (p = 0.481) | −0.130 (p = 0.268) | 74 | ||
| Move | 0.170 (p = 0.149) | 0.020 (p = 0.865) | 74 | |||
| Suck | 0.399 (p < 0.001) | 74 | ||||
© 2020 by the authors. Licensee MDPI, Basel, Switzerland. This article is an open access article distributed under the terms and conditions of the Creative Commons Attribution (CC BY) license (http://creativecommons.org/licenses/by/4.0/).
Share and Cite
Webber, C.E.; Lee, P.C. Play in Elephants: Wellbeing, Welfare or Distraction? Animals 2020, 10, 305. https://doi.org/10.3390/ani10020305
Webber CE, Lee PC. Play in Elephants: Wellbeing, Welfare or Distraction? Animals. 2020; 10(2):305. https://doi.org/10.3390/ani10020305
Chicago/Turabian StyleWebber, C. Elizabeth, and Phyllis C. Lee. 2020. "Play in Elephants: Wellbeing, Welfare or Distraction?" Animals 10, no. 2: 305. https://doi.org/10.3390/ani10020305
APA StyleWebber, C. E., & Lee, P. C. (2020). Play in Elephants: Wellbeing, Welfare or Distraction? Animals, 10(2), 305. https://doi.org/10.3390/ani10020305

