Comparison of Hematological and Biochemical Results Derived from Arterial and Venous Blood Samples in Post-Anesthetic Dogs
Simple Summary
Abstract
1. Introduction
2. Materials and Methods
2.1. Animals
2.2. Anesthesia
2.3. Blood Collection
2.4. Analytical Procedures
2.5. Statistical Analysis
3. Results
3.1. Animals and Samples
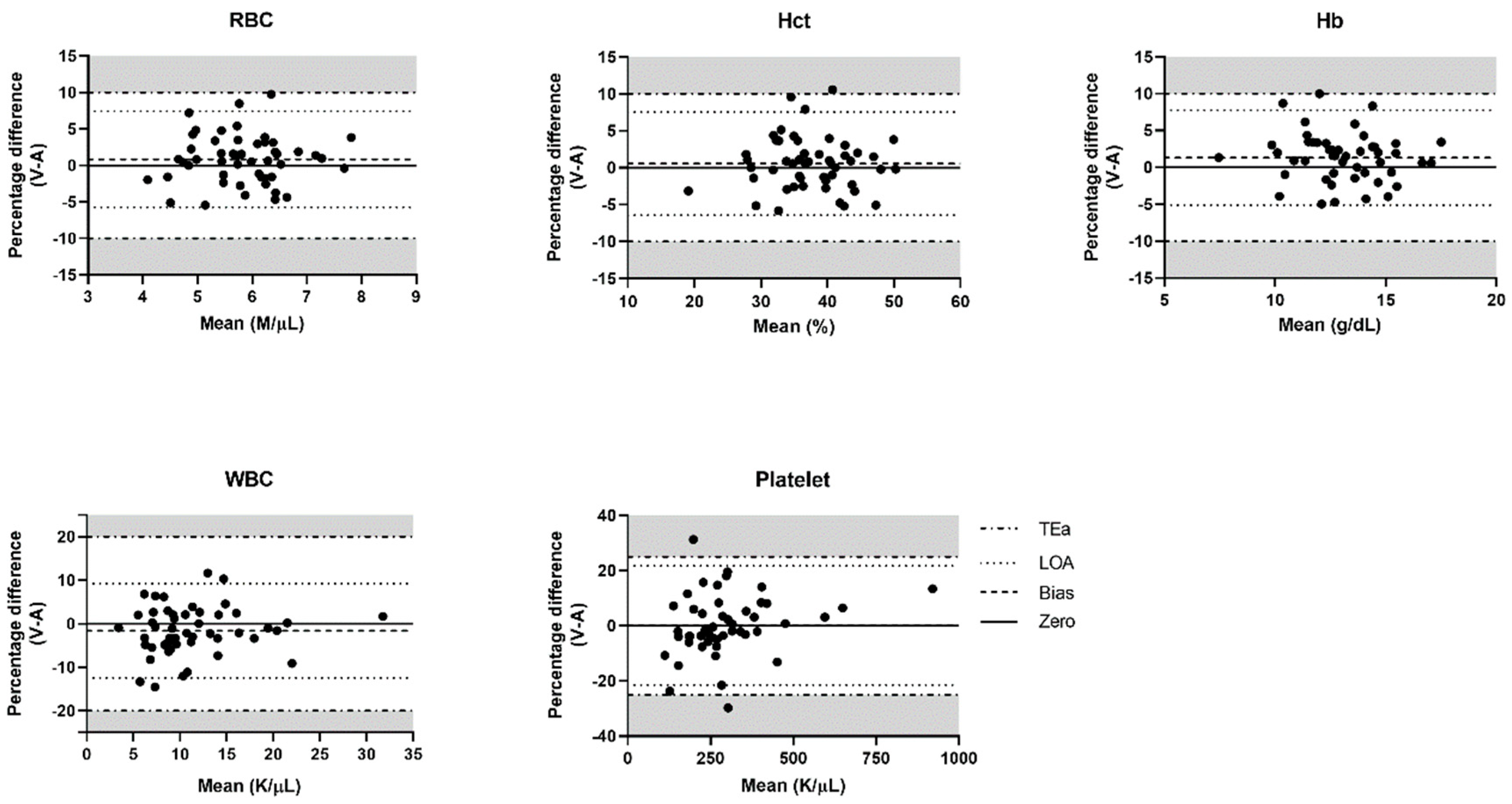
3.2. Hematological Parameters
3.3. Biochemical Parameters
4. Discussion
5. Conclusions
Author Contributions
Funding
Conflicts of Interest
References
- Irjala, K.M.; Gronroos, P.E. Preanalytical and analytical factors affecting laboratory results. Ann. Med. 1998, 30, 267–272. [Google Scholar] [CrossRef] [PubMed]
- Jensen, A.L.; Wenck, A.; Koch, J.; Poulsen, J.S. Comparison of results of haematological and clinical chemical analyses of blood samples obtained from the cephalic and external jugular veins in dogs. Res.Vet. Sci. 1994, 56, 24–29. [Google Scholar] [CrossRef]
- Evron, S.; Tress, V.; Ezri, T.; Szmuk, P.; Landau, O.; Hendel, D.; Schechter, P.; Medalion, B. The importance of blood sampling site for determination of hemoglobin and biochemistry values in major abdominal and orthopedic surgery. J. Clin. Anesth. 2007, 19, 92–96. [Google Scholar] [CrossRef]
- Yang, Z.W.; Yang, S.H.; Chen, L.; Qu, J.; Zhu, J.; Tang, Z. Comparison of blood counts in venous, fingertip and arterial blood and their measurement variation. Clin. Lab. Haematol. 2001, 23, 155–159. [Google Scholar] [CrossRef]
- Kley, S.; Tschudi, P.; Busato, A.; Gaschen, F. Establishing canine clinical chemistry reference values for the Hitachi® 912 using the International Federation of Clinical Chemistry (IFCC) recommendations. Comp. Clin. Path. 2003, 12, 106–112. [Google Scholar] [CrossRef]
- Lumsden, J.H.; Mullen, K.; McSherry, B.J. Canine hematology and biochemistry reference values. Can. J. Comp. Med. 1979, 43, 125–131. [Google Scholar]
- Hildebrandt, I.J.; Su, H.; Weber, W.A. Anesthesia and other considerations for in vivo imaging of small animals. ILAR J. 2008, 49, 17–26. [Google Scholar] [CrossRef] [PubMed]
- Bednarski, R.; Grimm, K.; Harvey, R.; Lukasik, V.M.; Penn, W.S.; Sargent, B.; Spelts, K. AAHA anesthesia guidelines for dogs and cats. J. Am. Anim. Hosp. Assoc. 2011, 47, 377–385. [Google Scholar] [CrossRef] [PubMed]
- Gruenheid, M.; Aarnes, T.K.; McLoughlin, M.A.; Simpson, E.M.; Mathys, D.A.; Mollenkopf, D.F.; Wittum, T.E. Risk of anesthesia-related complications in brachycephalic dogs. J. Am. Vet. Med. Assoc. 2018, 253, 301–306. [Google Scholar] [CrossRef] [PubMed]
- Sasaki, K.; Shiga, T.; Gomez de Segura, I.A. Advantages of a novel device for arterial catheter securement in anesthetized dogs: A pilot randomized clinical trial. Front. Vet. Sci. 2019, 6, 171. [Google Scholar] [CrossRef] [PubMed]
- Hicks, J.A.; Kennedy, M.J.; Patterson, E.E. Perianesthetic complications in dogs undergoing magnetic resonance imaging of the brain for suspected intracranial disease. J. Am. Vet. Med. Assoc. 2013, 243, 1310–1315. [Google Scholar] [CrossRef]
- Brodbelt, D.C.; Blissitt, K.J.; Hammond, R.A.; Neath, P.J.; Young, L.E.; Pfeiffer, D.U.; Wood, J.L. The risk of death: The confidential enquiry into perioperative small animal fatalities. Vet. Anaesth. Analg. 2008, 35, 365–373. [Google Scholar] [CrossRef] [PubMed]
- Palsgaard-Van Lue, A.; Jensen, A.L.; Strom, H.; Kristensen, A.T. Comparative analysis of haematological, haemostatic, and inflammatory parameters in canine venous and arterial blood samples. Vet. J. 2007, 173, 664–668. [Google Scholar] [CrossRef]
- Elliott, K.F.; Fleeman, L.M.; Rand, J.S. Using 20-gauge percutaneous peripheral catheters to reliably collect serial 4-mL blood samples from conscious dogs. Aust. Vet. J. 2010, 88, 215–221. [Google Scholar] [CrossRef]
- Altman, D.G. Some common problems in medical research. In Practical Statistics for Medical Research; Chapman and Hall/CRC: London, UK, 1991; pp. 396–403. [Google Scholar]
- Bose, E.L.; Hravnak, M.; Pinsky, M.R. The interface between monitoring and physiology at the bedside. Crit. Care Clin. 2015, 31, 1–24. [Google Scholar] [CrossRef]
- Weil, M.H. Defining hemodynamic instability. In Functional Hemodynamic Monitoring; Springer: Heidelberg/Berlin, Germany, 2005; pp. 9–17. [Google Scholar]
- Sevransky, J. Clinical assessment of hemodynamically unstable patients. Curr. Opin. Crit. Care 2009, 15, 234–238. [Google Scholar] [CrossRef]
- Barr, C.A.; Gianotti, G.; Graffeo, C.E.; Drobatz, K.J.; Silverstein, D.C. Effect of blood collection by the push-pull technique from an indwelling catheter versus direct venipuncture on venous blood gas values before and after administration of alfaxalone or propofol in dogs. J. Am. Vet. Med. Assoc. 2017, 251, 1166–1174. [Google Scholar] [CrossRef]
- May, M.L.; Nolen-Walston, R.D.; Utter, M.E.; Boston, R.C. Comparison of hematologic and biochemical results on blood obtained by jugular venipuncture as compared with intravenous catheter in adult horses. J. Vet. Intern. Med. 2010, 24, 1462–1466. [Google Scholar] [CrossRef]
- Orlowski, J.P.; Porembka, D.T.; Gallagher, J.M.; Van Lente, F. The bone marrow as a source of laboratory studies. Ann. Emerg. Med. 1989, 18, 1348–1351. [Google Scholar] [CrossRef]
- Son, K.H.; Lim, C.H.; Song, E.J.; Sun, K.; Son, H.S.; Lee, S.H. Inter-species hemorheologic differences in arterial and venous blood. Clin. Hemorheol. Microcirc. 2010, 44, 27–33. [Google Scholar] [CrossRef]
- O’Brien, M.; Murphy, M.G.; Lowe, J.A. Hematology and clinical chemistry parameters in the cat (Felis domesticus). J. Nutr. 1998, 128, 2678S–2679S. [Google Scholar] [CrossRef] [PubMed]
- Costa, P.F.; Nunes, N.; Belmonte, E.A.; Moro, J.V.; Lopes, P.C.F. Hematologic changes in propofol-anesthetized dogs with or without tramadol administration. Arq. Bras. Med. Vet. Zootec. 2013, 65, 1306–1312. [Google Scholar] [CrossRef]
- Bose, J.P. Arterial versus venous blood sugar: Arterio-venous sugar difference as a criterion of the severity of diabetes. Ind. Med. Gaz. 1935, 70, 361–362. [Google Scholar]
- Cengiz, E.; Tamborlane, W.V. A tale of two compartments: Interstitial versus blood glucose monitoring. Diabetes Technol. Ther. 2009, 11, S11–S16. [Google Scholar] [CrossRef]
- Somogyi, M. Studies of arteriovenous differences in blood sugar; effect of intravenous insulin and simultaneous glucose feeding. J. Biol. Chem. 1949, 179, 1289–1297. [Google Scholar]
- Slot, C. The significance of the systemic arteriovenous difference in creatinine clearance determinations. Scand. J. Clin. Lab. Invest. 1965, 17, 201–208. [Google Scholar] [CrossRef]
- Altman, D.G.; Bland, J.M. Measurement in medicine: The analysis of method comparison studies. Statistician 1983, 32, 307–317. [Google Scholar] [CrossRef]
- Bland, J.M.; Altman, D.G. Statistical methods for assessing agreement between two methods of clinical measurement. Lancet 1986, 1, 307–310. [Google Scholar] [CrossRef]
- Bland, J.M.; Altman, D.G. Measuring agreement in method comparison studies. Stat. Methods Med. Res. 1999, 8, 135–160. [Google Scholar] [CrossRef] [PubMed]
- Harr, K.E.; Flatland, B.; Nabity, M.; Freeman, K.P. ASVCP guidelines: Allowable total error guidelines for biochemistry. Vet. Clin. Pathol. 2013, 42, 424–436. [Google Scholar] [CrossRef]
- Nabity, M.B.; Harr, K.E.; Camus, M.S.; Flatland, B.; Vap, L.M. ASVCP guidelines: Allowable total error hematology. Vet. Clin. Pathol. 2018, 47, 9–21. [Google Scholar] [CrossRef] [PubMed]
- Petersen, P.H.; Stockl, D.; Blaabjerg, O.; Pedersen, B.; Birkemose, E.; Thienpont, L.; Lassen, J.F.; Kjeldsen, J. Graphical interpretation of analytical data from comparison of a field method with reference method by use of difference plots. Clin. Chem. 1997, 43, 2039–2046. [Google Scholar] [CrossRef]
- Henry, C.J.; Russell, L.E.; Tyler, J.W.; Buss, M.S.; Seguin, B.; Cambridge, A.J.; Moore, M.E. Comparison of hematologic and biochemical values for blood samples obtained via jugular venipuncture and via vascular access ports in cats. J. Am. Vet. Med. Assoc. 2002, 220, 482–485. [Google Scholar] [CrossRef]
- Leard, B.L.; Alsaker, R.D.; Porter, W.P.; Sobel, L.P. The effect of haemolysis on certain canine serum chemistry parameters. Lab. Anim. 1990, 24, 32–35. [Google Scholar] [CrossRef]
- Hawkins, R. Discrepancy between visual and spectrophotometric assessment of sample haemolysis. Ann. Clin. Biochem. 2002, 39, 521–522. [Google Scholar] [CrossRef]
- Aronson, P.S.; Giebisch, G. Effects of pH on potassium: New explanations for old observations. J. Am. Soc. Nephrol. 2011, 22, 1981–1989. [Google Scholar] [CrossRef] [PubMed]
- Lauf, P.K.; Adragna, N.C. K-Cl cotransport: Properties and molecular mechanism. Cell. Physiol. Biochem. 2000, 10, 341–354. [Google Scholar] [CrossRef]
- Gibson, J.S.; Cossins, A.R.; Ellory, J.C. Oxygen-sensitive membrane transporters in vertebrate red cells. J. Exp. Biol. 2000, 203, 1395–1407. [Google Scholar]
- Honess, N.A.; Gibson, J.S.; Cossins, A.R. The effects of oxygenation upon the Cl-dependent K flux pathway in equine red cells. Pflugers Arch. 1996, 432, 270–277. [Google Scholar] [CrossRef]
- Shull, R.M.; Hornbuckle, W. Diagnostic use of serum gamma-glutamyltransferase in canine liver disease. Am. J. Vet. Res. 1979, 40, 1321–1324. [Google Scholar]
- Jousi, M.; Laukkanen-Nevala, P.; Nurmi, J. Analysing blood from intraosseous access: A systematic review. Eur. J. Emerg. Med. 2019, 26, 77–85. [Google Scholar] [CrossRef]


| Value a | |
|---|---|
| MAP (mmHg) | 100.8 ± 14.4 |
| Temperature (°C) | 38.37 ± 0.59 |
| Pulse rate (/minutes) | 133.4 ± 28.6 |
| Respiratory rate (/minutes) | 25.57 ± 3.52 |
| CRT (s) | <2 |
| Variables | Venous a | Arterial a | p-Value | Reference Range |
|---|---|---|---|---|
| RBC (M/μL) | 5.86 ± 0.83 | 5.81 ± 0.83 | 0.074 | 5.65–8.87 |
| Hematocrit (%) | 37.68 ± 6.30 | 37.47 ± 6.33 | 0.274 | 37.3–61.7 |
| Hemoglobin (g/dL) | 13.15 ± 1.97 | 12.99 ± 2.00 | 0.008 c | 13.1–20.5 |
| WBC (K/μL) | 11.19 ± 5.24 | 11.33 ± 5.22 | 0.105 | 5.05–16.76 |
| Platelet (K/μL) | 298.4 ± 150.4 | 294.3 ± 134.8 | 0.675 b | 148–484 |
| Glucose (mg/dL) | 116.5 ± 25.1 | 120.9 ± 24.6 | <0.000 c | 74–143 |
| Creatinine (mg/dL) | 0.62 ± 0.20 | 0.60 ± 0.21 | 0.022 b, c | 0.5–1.8 |
| BUN (mg/dL) | 12.74 ± 5.24 | 12.58 ± 5.22 | 0.096 b | 7–27 |
| Phosphate (mg/dL) | 4.01 ± 1.21 | 4.01 ± 1.22 | 0.637 b | 2.5–6.8 |
| Calcium (mg/dL) | 9.36 ± 0.63 | 9.30 ± 0.65 | 0.001 b, c | 7.9–12 |
| TP (g/dL) | 5.85 ± 0.61 | 5.84 ± 0.61 | 0.513 | 5.2–8.2 |
| Albumin (g/dL) | 2.90 ± 0.44 | 2.88 ± 0.45 | 0.146 | 2.3–4.0 |
| ALT (U/L) | 91.16 ± 97.43 | 92.16 ± 97.82 | 0.102 b | 10–125 |
| AST (U/L) | 58.54 ± 44.98 | 57.54 ± 43.79 | 0.111 b | 0–50 |
| ALP (U/L) | 281.7 ± 418.0 | 277.1 ± 408.5 | 0.389 b | 23–212 |
| γ-GT (U/L) | 4.66 ± 5.98 | 4.34 ± 5.53 | 0.146 | 0–11 |
| Total bilirubin (mg/dL) | 0.16 ± 0.08 | 0.19 ± 0.06 | 0.189 | 0–0.9 |
| Na (mmol/L) | 146.9 ± 3.4 | 146.7 ± 3.5 | 0.291 | 144–160 |
| K (mmol/L) | 3.71 ± 0.39 | 3.70 ± 0.37 | 0.659 | 3.5–5.8 |
| Cl (mmol/L) | 116.2 ± 3.5 | 115.5 ± 3.6 | 0.086 | 109–122 |
| Variables | Bias (%) | LOA (%) | ASVCP TEa (%) | |
|---|---|---|---|---|
| Lower | Upper | |||
| RBC | 0.85 | −5.74 | 7.440 | 10 |
| Hematocrit | 0.56 | −6.41 | 7.54 | 10 |
| Hemoglobin | 1.31 | −5.13 | 7.75 | 10 |
| WBC | −1.59 | −12.42 | 9.25 | 20 |
| Platelet | 0.14 | −21.47 | 21.75 | 25 |
| Glucose | −3.87 | −16.17 | 8.43 | 20 |
| Creatinine | 2.75 | −12.72 | 18.22 | 20 |
| BUN | 1.36 | −9.09 | 11.80 | 12 |
| Phosphate | −0.16 | −6.47 | 6.24 | 15 |
| Calcium | 0.67 | −2.01 | 3.34 | 10 |
| TP | 0.19 | −4.17 | 4.55 | 10 |
| Albumin | 0.61 | −4.50 | 5.71 | 15 |
| ALT | −0.82 | −19.55 | 17.90 | 25 |
| AST | 1.20 | −12.59 | 14.99 | 30 |
| ALP | 1.22 | −9.99 | 12.42 | 20 |
| γ-GT | −4.99 | −161.6 | 151.6 | 20 |
| Na | 0.18 | −2.12 | 2.47 | 5 |
| K | 0.23 | −8.23 | 8.70 | 5 |
| Cl | 0.55 | −3.73 | 4.84 | 5 |
Publisher’s Note: MDPI stays neutral with regard to jurisdictional claims in published maps and institutional affiliations. |
© 2020 by the authors. Licensee MDPI, Basel, Switzerland. This article is an open access article distributed under the terms and conditions of the Creative Commons Attribution (CC BY) license (http://creativecommons.org/licenses/by/4.0/).
Share and Cite
Lee, S.M.; Kang, B.-J.; Lee, S.; Kim, W.H. Comparison of Hematological and Biochemical Results Derived from Arterial and Venous Blood Samples in Post-Anesthetic Dogs. Animals 2020, 10, 2069. https://doi.org/10.3390/ani10112069
Lee SM, Kang B-J, Lee S, Kim WH. Comparison of Hematological and Biochemical Results Derived from Arterial and Venous Blood Samples in Post-Anesthetic Dogs. Animals. 2020; 10(11):2069. https://doi.org/10.3390/ani10112069
Chicago/Turabian StyleLee, Song Mi, Byung-Jae Kang, Sungin Lee, and Wan Hee Kim. 2020. "Comparison of Hematological and Biochemical Results Derived from Arterial and Venous Blood Samples in Post-Anesthetic Dogs" Animals 10, no. 11: 2069. https://doi.org/10.3390/ani10112069
APA StyleLee, S. M., Kang, B.-J., Lee, S., & Kim, W. H. (2020). Comparison of Hematological and Biochemical Results Derived from Arterial and Venous Blood Samples in Post-Anesthetic Dogs. Animals, 10(11), 2069. https://doi.org/10.3390/ani10112069

