Exploratory Survey on European Consumer and Stakeholder Attitudes towards Alternatives for Surgical Castration of Piglets
Simple Summary
Abstract
1. Introduction
2. Materials and Methods
2.1. Research Approach and Sampling
2.2. Statistical Analysis
3. Results
3.1. Demographic Profile and Pork Consumption Characteristics
3.2. Pork Consumption Characteristics, Background Knowledge, and Experience
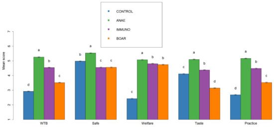
3.3. Overall Acceptability of Alternatives to Surgical Castration
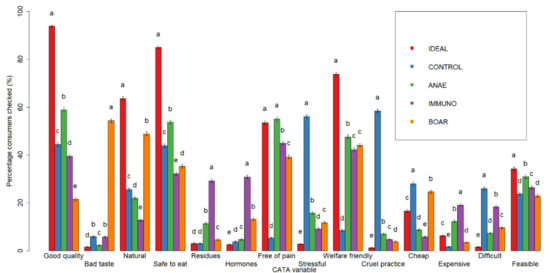
3.4. Perception of Key Features Related to Pig Production and Meat: Evaluation and Correspondence Analysis
3.5. Perception of the Alternatives Based on Different Statements
3.6. Effect of Demographics and (Non-)Professional Involvement
3.7. Cluster Analysis
4. Discussion
4.1. General Characteristics, Involvement, Awareness, and Background Information
4.2. Evaluation of The Different Alternatives
4.3. Consumer and Stakeholder Segments
5. Conclusions
Supplementary Materials
Author Contributions
Funding
Acknowledgments
Conflicts of Interest
References
- European Commission. Establishing Best Practices on the Production, the Processing and the Marketing of Meat from Uncastrated Pigs or Pigs Vaccinated Against Boar Taint (Immunocastrated)—Final Report. Available online: https://ec.europa.eu/food/sites/food/files/animals/docs/aw_prac_farm_pigs_cast-alt_establishing-best-practices.pdf (accessed on 1 September 2020).
- European Declaration on Alternatives to Surgical Castration of Pigs. Available online: https://ec.europa.eu/food/sites/food/files/animals/docs/aw_prac_farm_pigs_cast-alt_establishing-best-practices.pdf (accessed on 1 September 2020).
- Weber, S.; Das, G.; Waldmann, K.H.; Gauly, M. Labour time required for piglet castration with isoflurane-anaesthesia using shared and stationary inhaler devices. Berl. Munch. Tierarztl. Wochenschr. 2014, 127, 108–114. [Google Scholar]
- CASTRUM Consortium. Pig Castration: Methods of Anaesthesia and Analgesia for All Pigs and Other Alternatives for Pigs Used in Traditional Products. Available online: https://www.boarsontheway.com/wp-content/uploads/2018/09/Castrum-study.pdf (accessed on 1 September 2020).
- Enz, A.; Schupbach-Regula, G.; Bettschart, R.; Fuschini, E.; Burgi, E.; Sidler, X. Experiences with pain control during piglet castration in Switzerland Part 1: Inhalation anesthesia. Schweiz. Arch. Tierheilkd. 2013, 155, 651–659. [Google Scholar] [CrossRef]
- Enz, A.; Schupbach-Regula, G.; Bettschart, R.; Fuschini, E.; Burgi, E.; Sidler, X. Experiences with pain control during piglet castration in Switzerland Part 2: Injection anesthesia. Schweiz. Arch. Tierheilkd. 2013, 155, 661–668. [Google Scholar] [CrossRef]
- De Briyne, N.; Berg, C.; Blaha, T.; Temple, D. Pig castration: Will the EU manage to ban pig castration by 2018? Porcine Health Manag. 2016, 2, 29. [Google Scholar] [CrossRef] [PubMed]
- Walstra, P.; Claudi-Magnussen, C.; Chevillon, P.; von Seth, G.; Diestre, A.; Matthews, K.R.; Homer, D.B.; Bonneau, M. An international study on the importance of androstenone and skatole for boar taint: Levels of androstenone and skatole by country and season. Liv. Prod. Sci. 1999, 62, 15–28. [Google Scholar] [CrossRef]
- Prusa, K.; Nederveld, H.; Runnels, P.L.; Li, R.; King, V.L.; Crane, J.P. Prevalence and relationships of sensory taint, 5 alpha-androstenone and skatole in fat and lean tissue from the loin (Longissimus dorsi) of barrows, gilts, sows, and boars from selected abattoirs in the United States. Meat Sci. 2011, 88, 96–101. [Google Scholar] [CrossRef] [PubMed]
- Bonneau, M.; Weiler, U. Pros and cons of alternatives to piglet castration: Welfare, boar taint, and other meat quality traits. Animals 2019, 9, 12. [Google Scholar] [CrossRef]
- Borggaard, C.; Birkler, R.; Meinert, L.; Stoier, S. At Line Rapid Instrumental Method for Measuring the Boar Taint Components Androstenone and Skatole in Pork Fat. Available online: https://www.dti.dk/specialists/analytical-method-for-meat-from-entire-male-pigs/39301?cms.query=LDTD (accessed on 12 August 2020).
- Martin-Bernal, R.; Aluwé, M.; Bonneau, M.; Haugen, J.E.; Mörlein, D.; Mörlein, J.; Panella-Riera, N.; Skrlep, M.; Font-i-Furnols, M. Feasibility of on/at line methods to determine boar taint and boar taint compounds: An overview. Animals 2020, 10. (In press)
- Pauly, C.; Luginbuhl, W.; Ampuero, S.; Bee, G. Expected effects on carcass and pork quality when surgical castration is omitted-Results of a meta-analysis study. Meat Sci. 2012, 92, 858–862. [Google Scholar] [CrossRef]
- Aluwé, M.; Langendries, K.C.; Bekaert, K.M.; Tuyttens, F.A.; De Brabander, D.L.; De Smet, S.; Millet, S. Effect of surgical castration, immunocastration and chicory-diet on the meat quality and palatability of boars. Meat Sci. 2013, 94, 402–407. [Google Scholar] [CrossRef]
- Aluwe, M.; Degezelle, I.; Depuydt, L.; Fremaut, D.; Van den Broeke, A.; Millet, S. Immunocastrated male pigs: Effect of 4 v. 6 weeks time post second injection on performance, carcass quality and meat quality. Animal 2016, 10, 1466–1473. [Google Scholar] [CrossRef]
- Skrlep, M.; Tomasevic, I.; Mörlein, D.; Novakovic, S.; Egea, M.; Garrido, M.D.; Linares, M.B.; Peñaranda, I.; Aluwé, M.; Font-i-Furnols, M. The use of pork pork from entire male and immunocastrated pigs for different products—An overview with recommendations. Animals 2020, 10. (In press)
- Gispert, M.; Oliver, M.A.; Velarde, A.; Suarez, P.; Perez, J.; Furnols, M.F.I. Carcass and meat quality characteristics of immunocastrated male, surgically castrated male, entire male and female pigs. Meat Sci. 2010, 85, 664–670. [Google Scholar] [CrossRef] [PubMed]
- Pauly, C.; Spring, P.; O’Doherty, J.V.; Kragten, S.A.; Bee, G. Growth performance, carcass characteristics and meat quality of group-penned surgically castrated, immunocastrated (Improvac (R)) and entire male pigs and individually penned entire male pigs. Animal 2009, 3, 1057–1066. [Google Scholar] [CrossRef] [PubMed]
- Skrlep, M.; Segula, B.; Prevolnik, M.; Kirbis, A.; Fazarinc, G.; Candek-Potokar, M. Effect of immunocastration (Improvac (R)) in fattening pigs II: Carcass traits and meat quality. Slov. Vet. Res. 2010, 47, 65–72. [Google Scholar]
- Fredriksen, B.; Furnols, M.F.I.; Lundstrom, K.; Migdal, W.; Prunier, A.; Tuyttens, F.A.M.; Bonneau, M. Practice on castration of piglets in Europe. Animal 2009, 3, 1480–1487. [Google Scholar] [CrossRef]
- Fredriksen, B.; Johnsen, A.M.S.; Skuterud, E. Consumer attitudes towards castration of piglets and alternatives to surgical castration. Res. Vet. Sci. 2011, 90, 352–357. [Google Scholar] [CrossRef]
- Heid, A.; Hamm, U. Animal welfare versus food quality: Factors influencing organic consumers’ preferences for alternatives to piglet castration without anaesthesia. Meat Sci. 2013, 95, 203–211. [Google Scholar] [CrossRef]
- Viske, D.; Lagerkvist, C.J.; Carlsson, F. Swedish consumer preferences for animal welfare and biotech: A choice experiment. AgBioForum 2006, 9, 8. [Google Scholar]
- Van Beirendonck, S.; Driessen, B.; Geers, R. Belgian consumers’ opinion on pork consumption concerning alternatives for unanesthetized piglet castration. J. Agric. Environ. Ethics 2013, 26, 259–272. [Google Scholar] [CrossRef]
- Vanhonacker, F.; Verbeke, W. Consumer response to the possible use of a vaccine method to control boar taint v. physical piglet castration with anaesthesia: A quantitative study in four European countries. Animal 2011, 5, 1107–1118. [Google Scholar] [CrossRef] [PubMed]
- Kallas, Z.; Martínez, B.; Panella-Riera, N.; Gil, J.M. The effect of sensory experience on expected preferences toward a masking strategy for boar-tainted frankfurter sausages. Food Qual. Prefer. 2016, 54, 1–12. [Google Scholar] [CrossRef]
- Vanhonacker, F.; Verbeke, W.; Tuyttens, F.A.M. Belgian consumers’ attitude towards surgical castration and immunocastration of piglets. Anim. Welf. 2009, 18, 371–380. [Google Scholar]
- Sodring, M.; Nafstad, O.; Haseth, T.T. Change in Norwegian consumer attitudes towards piglet castration: Increased emphasis on animal welfare. Act. Vet. Scand. 2020, 62. [Google Scholar] [CrossRef]
- Mancini, M.C.; Menozzi, D.; Arfini, F. Immunocastration: Economic implications for the pork supply chain and consumer perception. An assessment of existing research. Livest. Sci. 2017, 203, 10–20. [Google Scholar] [CrossRef]
- Tuyttens, F.A.M.; Vanhonacker, F.; Langendries, K.; Aluwe, M.; Millet, S.; Bekaert, K.; Verbeke, W. Effect of information provisioning on attitude toward surgical castration of male piglets and alternative strategies for avoiding boar taint. Res. Vet. Sci. 2011, 91, 327–332. [Google Scholar] [CrossRef]
- Tomasevic, I.; Bahelka, I.; Candek-Potokar, M.; Citek, J.; Djekic, I.; Djurkin Kusec, I.; Getya, A.; Guerrero, L.; Iordachescu, G.; Ivanova, S.; et al. Attitudes and beliefs of Eastern European consumers towards piglet castration and meat from castrated pigs. Meat Sci. 2020, 160, 12. [Google Scholar] [CrossRef]
- R Core Team. R: A Language and Environment for Statistical Computing; R Foundation for Statistical Computing: Vienna, Austria, 2020. [Google Scholar]
- Meyners, M.; Castura, J.C.; Carr, B.T. Existing and new approaches for the analysis of CATA data. Food Qual. Prefer. 2013, 30, 309–319. [Google Scholar] [CrossRef]
- Di Pasquale, J.; Nannoni, E.; Sardi, L.; Rubini, G.; Salvatore, R.; Bartoli, L.; Adinolfi, F.; Martelli, G. Towards the Abandonment of Surgical Castration in Pigs: How is Immunocastration Perceived by Italian Consumers? Animals 2019, 9, 12. [Google Scholar] [CrossRef]
- Heyrman, E.; Kowalski, E.; Millet, S.; Tuyttens, F.A.M.; Ampe, B.; Janssens, S.; Buys, N.; Wauters, J.; Vanhaecke, L.; Aluwe, M. Monitoring of behavior, sex hormones and boar taint compounds during the vaccination program for immunocastration in three sire lines. Res. Vet. Sci. 2019, 124, 293–302. [Google Scholar] [CrossRef]
- Kallas, Z.; Gil, J.M.; Panella-Riera, N.; Blanch, M.; Font-i-Furnols, M.; Chevillon, P.; De Roest, K.; Tacken, G.; Oliver, M.A. Effect of tasting and information on consumer opinion about pig castration. Meat Sci. 2013, 95, 242–249. [Google Scholar] [CrossRef] [PubMed]
- Huber-Eicher, B.; Spring, P. Attitudes of Swiss consumers towards meat from entire or immunocastrated boars: A representative survey. Res. Vet. Sci. 2008, 85, 625–627. [Google Scholar] [CrossRef] [PubMed]
- Mancini, M.C.; Menozzi, D.; Arfini, F.; Veneziani, M. Chapter 13—How do firms use consumer science to target consumer communication? The case of animal welfare. In Case Studies in the Traditional Food Sector; Elsevier: Amsterdam, The Netherlands, 2018; pp. 337–357. [Google Scholar]
- Fredriksen, B.; Lium, B.M.; Marka, C.H.; Mosveen, B.; Nafstad, O. Entire male pigs in farrow-to-finish pens—Effects on animal welfare. Appl. Anim. Behav. Sci. 2008, 110, 258–268. [Google Scholar] [CrossRef]
- Tomasevic, I.; Bahelka, I.; Citek, J.; Candek-Potokar, M.; Djekic, I.; Getya, A.; Guerrero, L.; Ivanova, S.; Kusec, G.; Nakov, D.; et al. Attitudes and beliefs of eastern european consumers towards animal welfare. Animals 2020, 10, 17. [Google Scholar] [CrossRef] [PubMed]







| Country | BEL | BGR | HRV | CZE | DEU | ESP | FRA | ITA | NOR | POL | PRT | ROU | RUS | SRB | SWE | UKR | OVERALL |
|---|---|---|---|---|---|---|---|---|---|---|---|---|---|---|---|---|---|
| N | 417 | 227 | 208 | 226 | 506 | 253 | 213 | 204 | 177 | 210 | 191 | 224 | 357 | 352 | 258 | 255 | 4278 |
| Gender 1 | |||||||||||||||||
| Female | 56 | 62 | 45 | 54 | 57 | 56 | 66 | 49 | 66 | 69 | 61 | 68 | 55 | 50 | 78 | 50 | 58 |
| Male | 43 | 37 | 55 | 44 | 43 | 42 | 33 | 51 | 33 | 30 | 37 | 27 | 43 | 46 | 21 | 46 | 40 |
| Age | |||||||||||||||||
| <25 | 4 | 25 | 12 | 13 | 10 | 10 | 12 | 4 | 1 | 63 | 25 | 37 | 24 | 18 | 16 | 36 | 18 |
| 25–39 | 38 | 27 | 27 | 36 | 27 | 40 | 27 | 36 | 29 | 16 | 30 | 42 | 41 | 47 | 41 | 26 | 34 |
| 40–64 | 48 | 42 | 60 | 47 | 42 | 47 | 49 | 56 | 63 | 18 | 41 | 21 | 33 | 32 | 38 | 35 | 41 |
| >64 | 10 | 6 | 1 | 4 | 21 | 4 | 12 | 4 | 7 | 3 | 4 | 1 | 3 | 2 | 6 | 3 | 7 |
| Area | |||||||||||||||||
| Big city | 15 | 67 | 47 | 36 | 30 | 18 | 25 | 12 | 24 | 42 | 25 | 41 | 72 | 42 | 26 | 33 | 35 |
| Medium size city | 30 | 25 | 23 | 20 | 22 | 57 | 31 | 38 | 28 | 15 | 50 | 22 | 24 | 24 | 34 | 29 | 29 |
| Rural area/small town | 55 | 8 | 30 | 44 | 48 | 25 | 45 | 50 | 49 | 43 | 25 | 37 | 5 | 34 | 40 | 38 | 36 |
| Education | |||||||||||||||||
| Primary/Secondary | 20 | 10 | 13 | 17 | 45 | 8 | 8 | 7 | 6 | 29 | 2 | 20 | 20 | 22 | 8 | 9 | 18 |
| Higher, non-university | 33 | 4 | 9 | 4 | 25 | 10 | 24 | 19 | 20 | 14 | 1 | 9 | 26 | 11 | 5 | 21 | 16 |
| University | 47 | 86 | 78 | 79 | 30 | 82 | 69 | 75 | 75 | 57 | 97 | 71 | 54 | 67 | 87 | 71 | 66 |
| Professionally involved 2 | |||||||||||||||||
| Yes | 27 | 19 | 30 | 37 | 7 | 35 | 40 | 23 | 27 | 11 | 46 | 17 | 25 | 24 | 22 | 17 | 24 |
| Supply | 11 | 7 | 13 | 22 | 8 | 19 | 14 | 7 | 21 | 0 | 9 | 19 | 2 | 16 | 12 | 2 | 12 |
| Farm | 11 | 23 | 24 | 29 | 31 | 15 | 5 | 28 | 13 | 23 | 20 | 19 | 3 | 21 | 19 | 38 | 18 |
| Veterinarian | 16 | 74 | 14 | 11 | 25 | 38 | 14 | 33 | 15 | 68 | 25 | 16 | 11 | 13 | 51 | 17 | 24 |
| Processing | 11 | 14 | 21 | 2 | 8 | 3 | 6 | 7 | 8 | 0 | 8 | 32 | 41 | 38 | 0 | 14 | 14 |
| Retail/butcher | 22 | 12 | 2 | 1 | 11 | 0 | 1 | 2 | 2 | 9 | 5 | 16 | 15 | 12 | 0 | 0 | 7 |
| Researcher | 38 | 9 | 35 | 43 | 25 | 46 | 66 | 35 | 67 | 5 | 36 | 11 | 46 | 26 | 25 | 26 | 37 |
| Familiar with farming | |||||||||||||||||
| Regular non-professional contact | 32 | 37 | 26 | 28 | 7 | 22 | 24 | 26 | 20 | 10 | 28 | 32 | 14 | 27 | 26 | 20 | 23 |
| Grew up on a farm | 16 | 23 | 26 | 16 | 11 | 10 | 16 | 15 | 15 | 18 | 22 | 16 | 7 | 20 | 13 | 47 | 17 |
| Country | BEL | BGR | HRV | CZE | DEU | ESP | FRA | ITA | NOR | POL | PRT | ROU | RUS | SRB | SWE | UKR | OVERALL |
|---|---|---|---|---|---|---|---|---|---|---|---|---|---|---|---|---|---|
| Pork consumption | |||||||||||||||||
| Less than once a week | 16 | 10 | 8 | 11 | 20 | 14 | 19 | 23 | 25 | 15 | 16 | 18 | 21 | 13 | 35 | 26 | 18 |
| 1–2 times a week | 31 | 33 | 38 | 28 | 46 | 34 | 43 | 40 | 45 | 35 | 34 | 37 | 33 | 33 | 34 | 37 | 36 |
| 3–4 times a week | 35 | 30 | 34 | 36 | 20 | 36 | 27 | 30 | 18 | 28 | 35 | 30 | 28 | 30 | 22 | 23 | 29 |
| More than 4 times a week | 18 | 28 | 20 | 25 | 13 | 17 | 11 | 7 | 12 | 22 | 16 | 16 | 19 | 23 | 9 | 14 | 17 |
| Where do you buy your meat | |||||||||||||||||
| Butcher | 54 | 67 | 61 | 65 | 45 | 55 | 43 | 56 | 2 | 18 | 40 | 44 | 39 | 47 | 8 | 52 | 44 |
| Supermarket | 81 | 49 | 57 | 73 | 80 | 62 | 69 | 51 | 98 | 75 | 78 | 51 | 57 | 46 | 92 | 31 | 66 |
| Local producer | 22 | 27 | 24 | 24 | 10 | 10 | 24 | 25 | 9 | 34 | 8 | 16 | 23 | 21 | 19 | 33 | 20 |
| Liking score 1 | |||||||||||||||||
| Pork chops | 5.1 | 6.0 | 5.8 | 6.2 | 5.8 | 5.5 | 5.7 | 5.7 | 5.8 | 5.5 | 6.0 | 5.1 | 6.0 | 5.1 | 5.1 | 6.1 | 5.6 |
| Minced meat products | 5.8 | 5.4 | 5.6 | 5.5 | 5.9 | 5.4 | 5.7 | 6.1 | 5.7 | 5.4 | 5.1 | 4.8 | 5.6 | 5.1 | 5.4 | 5.1 | 5.5 |
| Importance at purchase 2 | |||||||||||||||||
| Lowest price | 9 | 43 | 32 | 27 | 21 | 19 | 12 | 13 | 15 | 25 | 36 | 34 | 44 | 31 | 11 | 11 | 24 |
| Good taste | 84 | 95 | 95 | 80 | 82 | 88 | 91 | 89 | 90 | 83 | 85 | 93 | 89 | 92 | 83 | 66 | 86 |
| Improved animal welfare | 50 | 69 | 60 | 30 | 60 | 53 | 64 | 45 | 52 | 41 | 52 | 67 | 51 | 55 | 89 | 32 | 55 |
| Produced locally | 58 | 75 | 79 | 56 | 53 | 62 | 75 | 71 | 41 | 46 | 58 | 70 | 52 | 63 | 70 | 22 | 59 |
| Produced organically | 33 | 64 | 53 | 18 | 38 | 36 | 48 | 40 | 11 | 28 | 29 | 57 | 52 | 49 | 36 | 34 | 40 |
| Low fat content | 23 | 46 | 32 | 22 | 32 | 39 | 27 | 27 | 19 | 45 | 36 | 55 | 54 | 42 | 7 | 21 | 33 |
| High tenderness | 56 | 83 | 74 | 36 | 55 | 70 | 62 | 64 | 53 | 47 | 74 | 77 | 76 | 61 | 38 | 34 | 60 |
| Easy to prepare | 31 | 68 | 58 | 30 | 46 | 50 | 36 | 42 | 42 | 56 | 55 | 70 | 61 | 63 | 34 | 35 | 48 |
| Guaranteed food safety | 87 | 94 | 94 | 62 | 76 | 90 | 81 | 71 | 81 | 79 | 85 | 94 | 89 | 91 | 86 | 74 | 84 |
| Low environmental impact | 51 | 77 | 60 | 25 | 54 | 56 | 57 | 50 | 39 | 32 | 49 | 67 | 51 | 62 | 50 | 34 | 52 |
| Confident that meat is safe | 92 | 58 | 70 | 61 | 78 | 93 | 74 | 52 | 84 | 64 | 91 | 71 | 53 | 73 | 76 | 47 | 72 |
| Negative towards vaccination | 19 | 18 | 28 | 34 | 16 | 9 | 17 | 15 | 11 | 20 | 3 | 28 | 34 | 31 | 8 | 20 | 20 |
| Aware of piglet castration | 76 | 65 | 66 | 70 | 56 | 49 | 80 | 51 | 65 | 41 | 71 | 34 | 35 | 47 | 84 | 60 | 59 |
| Experience with bad smell/taste | 25 | 39 | 44 | 34 | 24 | 32 | 32 | 24 | 38 | 30 | 33 | 26 | 25 | 26 | 30 | 41 | 30 |
| Aware how mainly produced | 48 | 50 | 48 | 61 | 42 | 41 | 63 | 29 | 47 | 31 | 52 | 29 | 29 | 33 | 67 | 49 | 44 |
| Production of boars 3 | 1 | 1 | 1 | 2 | 2 | 15 | 1 | 0 | 1 | 0 | 15 | 2 | 4 | 2 | 0 | 2 | 3 |
| Immunocastration 3 | 9 | 0 | 2 | 2 | 6 | 5 | 1 | 2 | 7 | 3 | 4 | 0 | 5 | 1 | 7 | 5 | 4 |
| With anaesthesia/analgesia 3 | 14 | 18 | 9 | 9 | 13 | 9 | 13 | 8 | 36 | 4 | 11 | 11 | 5 | 11 | 52 | 8 | 14 |
| Without anaesthesia/analgesia 3 | 24 | 30 | 36 | 49 | 22 | 13 | 49 | 19 | 4 | 24 | 23 | 16 | 14 | 19 | 7 | 35 | 23 |
| WTB 1 | SAFE 1 | WELFARE 1 | TASTE 1 | ACCEPTANCE 2 % Acceptable/% Non-Acceptable | ||||||||||||||||
|---|---|---|---|---|---|---|---|---|---|---|---|---|---|---|---|---|---|---|---|---|
| CONTROL | ANAE | IMMUNO | BOAR | CONTROL | ANAE | IMMUNO | BOAR | CONTROL | ANAE | IMMUNO | BOAR | CONTROL | ANAE | IMMUNO | BOAR | CONTROL | ANAE | IMMUNO | BOAR | |
| Gender | ||||||||||||||||||||
| Female | 2.7 a | 5.3 a | 4.6 a | 3.5 | 4.8 a | 5.5 a | 4.6 | 4.5 a | 2.2 a | 5.1 b | 4.9 b | 4.7 a | 3.9 a | 5.1 | 4.4 | 3.1 a | 27/66 | 89/5 | 72/13 | 48/32 |
| Male | 3.3 b | 5.2 b | 4.4 b | 3.5 | 5.3 b | 5.6 b | 4.5 | 4.7 b | 2.7 b | 5.0 a | 4.7 a | 4.8 b | 4.4 b | 5.1 | 4.3 | 3.2 b | 38/55 | 89/6 | 69/17 | 51/34 |
| Age | ||||||||||||||||||||
| <25 | 3.2 b | 5.3 | 4.6 b | 3.5 ab | 4.7 b | 5.4 ab | 4.6 | 4.2 a | 2.6 b | 5.2 b | 4.9 c | 4.6 b | 4.2 c | 5.1 | 4.4 b | 3.3 | 38/55 | 91/3 | 73/10 | 49/32 |
| 25–39 | 2.9 a | 5.3 | 4.6 b | 3.6 b | 5.1 b | 5.6 ab | 4.6 | 4.7 b | 2.4 ab | 5.1 ab | 4.9 bc | 4.8 b | 4.2 bc | 5.1 | 4.4 ab | 3.1 | 33/61 | 88/7 | 72/14 | 52/31 |
| 40–64 | 2.9 a | 5.3 | 4.5 ab | 3.4 a | 5.1 b | 5.6 b | 4.6 | 4.7 b | 2.4 a | 5.1 ab | 4.8 ab | 4.8 b | 4.1 b | 5.2 | 4.4 ab | 3.0 | 31/63 | 89/6 | 70/16 | 49/34 |
| >64 | 2.5 a | 4.9 | 4.1 a | 3.4 a | 4.1 a | 5.1 a | 4.2 | 4.1 a | 2.4 ab | 4.7 a | 4.3 a | 4.3 a | 3.4 a | 4.7 | 4.0 a | 3.3 | 22/70 | 86/6 | 63/17 | 33/38 |
| Education | ||||||||||||||||||||
| Primary/Secondary | 2.8 | 4.9 a | 4.3 a | 3.6 ab | 4.1 a | 4.9 a | 4.1 a | 4.0 a | 2.6 b | 4.7 a | 4.4 a | 4.4 a | 3.5 a | 4.6 a | 4.1 a | 3.4 b | 24/65 | 83/8 | 62/15 | 44/30 |
| Higher, non-university | 2.8 | 5.1 a | 4.4 a | 3.8 b | 4.6 b | 5.3 b | 4.4 b | 4.5 b | 2.3 a | 4.9 a | 4.6 b | 4.9 b | 3.8 b | 4.9 b | 4.3 b | 3.5 b | 27/64 | 87/6 | 66/15 | 51/25 |
| University | 3.0 | 5.4 b | 4.7 b | 3.4 a | 5.3 c | 5.8 c | 4.7 c | 4.7 b | 2.4 a | 5.2 b | 5.0 c | 4.8 b | 4.4 c | 5.3 c | 4.5 b | 3.0 a | 35/59 | 91/5 | 74/14 | 50/35 |
| Profession 3 | ||||||||||||||||||||
| No | 2.7 a | 5.2 a | 4.5 a | 3.6 b | 4.7 a | 5.4 a | 4.4 a | 4.4 a | 2.3 a | 5.0 a | 4.7 a | 4.7 | 3.9 a | 5.0 a | 4.3 a | 3.3 b | 27/65 | 87/6 | 68/15 | 48/31 |
| Yes | 3.5 b | 5.6 b | 4.8 b | 3.2 a | 5.9 b | 6.1 b | 5.0 b | 4.9 b | 2.7 b | 5.3 b | 5.2 b | 4.8 | 4.9 b | 5.6 b | 4.7 b | 2.8 a | 48/48 | 92/5 | 78/13 | 51/40 |
| Supply | 3.8 | 5.7 | 4.8 | 3.2 | 5.9 | 6.0 | 4.9 | 5.0 | 3.2 | 5.2 | 5.1 | 4.8 | 5.0 | 5.5 | 4.8 | 3.0 | 52/43 | 90/7 | 77/12 | 50/37 |
| Farm | 4.1 | 5.5 | 4.3 | 2.9 | 5.6 | 5.8 | 4.5 | 4.4 | 3.6 | 5.3 | 4.8 | 4.2 | 5.0 | 5.4 | 4.3 | 2.8 | 61/33 | 92/4 | 70/19 | 43/49 |
| Veterinarian | 3.4 | 5.5 | 5.1 | 3.0 | 6.0 | 6.2 | 5.3 | 5.0 | 2.6 | 5.2 | 5.4 | 4.6 | 4.8 | 5.6 | 4.8 | 2.6 | 50/48 | 89/10 | 86/11 | 49/47 |
| Processing | 3.7 | 5.4 | 4.2 | 2.5 | 5.3 | 5.9 | 4.5 | 3.9 | 3.1 | 5.6 | 4.8 | 3.9 | 4.8 | 5.7 | 4.4 | 2.4 | 47/46 | 92/4 | 70/17 | 29/61 |
| Retail/butcher | 3.2 | 5.0 | 4.8 | 2.7 | 5.2 | 5.6 | 4.9 | 4.1 | 2.6 | 4.9 | 5.0 | 4.3 | 4.3 | 5.1 | 4.5 | 2.8 | 38/60 | 95/5 | 77/11 | 43/46 |
| Researcher | 3.4 | 5.8 | 4.9 | 3.6 | 6.2 | 6.3 | 5.2 | 5.5 | 2.5 | 5.3 | 5.3 | 5.2 | 5.2 | 5.7 | 4.9 | 2.8 | 46/52 | 95/4 | 82/12 | 63/30 |
| Familiarity | ||||||||||||||||||||
| No | 2.5 a | 5.1 a | 4.6 c | 3.7 c | 4.7 a | 5.4 a | 4.6 b | 4.6 b | 2.2 a | 4.9 a | 4.8 b | 4.8 b | 3.8 a | 4.9 a | 4.4 b | 3.3 c | 24/69 | 87/6 | 73/12 | 52/28 |
| Contact | 3.3 b | 5.5 b | 4.5 b | 3.4 b | 5.4 b | 5.8 b | 4.6 b | 4.7 b | 2.6 b | 5.3 b | 4.9 ab | 4.9 b | 4.5 b | 5.4 b | 4.4 ab | 3.0 b | 40/53 | 90/5 | 68/17 | 49/37 |
| Farm | 3.8 c | 5.5 b | 4.3 a | 3.0 a | 5.4 b | 5.7 b | 4.4 a | 4.2 a | 3.0 c | 5.3 b | 4.7 a | 4.4 a | 4.7 b | 5.3 b | 4.2 a | 2.7 a | 50/44 | 91/5 | 65/20 | 40/46 |
| OVERALL | 2.9 | 5.3 | 4.5 | 3.5 | 5.0 | 5.5 | 4.6 | 4.6 | 2.4 | 5.1 | 4.8 | 4.7 | 4.1 | 5.1 | 4.4 | 3.1 | 32/61 | 89/6 | 71/14 | 49/33 |
| RMSE | 1.7 | 1.9 | 2.0 | 2.0 | 1.8 | 2.1 | 1.8 | 1.8 | 2.1 | 2.0 | 1.6 | 1.7 | 1.9 | 1.7 | 1.9 | 2.0 | ||||
| Cluster 1 | Cluster 2 | Cluster 3 | RMSE | ||
|---|---|---|---|---|---|
| N (%) | 1910 (45%) | 1619 (38%) | 749 (18%) | ||
| Statements 1 | |||||
| WTB | CONTROL | 2.8 a | 2.8 a | 3.6 b | 1.5 |
| ANAE | 5.6 b | 4.3 a | 6.3 c | 1.5 | |
| IMMUNO | 5.8 c | 3.8 b | 2.9 a | 2.0 | |
| BOAR | 3.5 b | 3.9 c | 2.8 a | 1.9 | |
| SAFE | CONTROL | 5.5 a | 3.9 b | 5.9 c | 1.3 |
| ANAE | 6.2 a | 4.3 b | 6.5 c | 1.4 | |
| IMMUNO | 5.9 a | 3.7 b | 2.9 c | 2.1 | |
| BOAR | 5.1a | 4.1b | 4.1 b | 1.9 | |
| WELFARE | CONTROL | 2.3 a | 2.5 ab | 2.6 b | 1.6 |
| ANAE | 5.4 a | 4.2 b | 6.3 c | 1.5 | |
| IMMUNO | 6.0 a | 3.9 b | 3.8 b | 2.1 | |
| BOAR | 4.9 a | 4.6 b | 4.6 b | 2.0 | |
| TASTE | CONTROL | 4.3 a | 3.6 b | 4.9 c | 1.4 |
| ANAE | 5.5 a | 4.0 b | 6.2 c | 1.4 | |
| IMMUNO | 5.5 a | 3.6 b | 3.1 c | 1.8 | |
| BOAR | 3.0 a | 3.7 b | 2.3 c | 2.0 | |
| CATA (%) | |||||
| Safe to eat | CONTROL | 47 a | 32 b | 60 c | 48 |
| ANAE | 62 a | 36 b | 69 c | 44 | |
| IMMUNO | 49 a | 21 b | 11 c | 48 | |
| BOAR | 40 a | 29 b | 36 a | 17 | |
| Hormones | CONTROL | 4 | 4 | 3 | 21 |
| ANAE | 3 a | 8 b | 2 a | 45 | |
| IMMUNO | 23 a | 30 b | 52 c | 33 | |
| BOAR | 14 a | 9 b | 20 c | 50 | |
| Animal welfare friendly | CONTROL | 7 a | 10 b | 9 ab | 49 |
| ANAE | 52 a | 34 b | 66 c | 46 | |
| IMMUNO | 61 a | 24 b | 32 c | 50 | |
| BOAR | 46 a | 41 b | 45 ab | 11 | |
| Natural | CONTROL | 21 a | 25 b | 37 c | 41 |
| ANAE | 21 a | 18 a | 33 b | 33 | |
| IMMUNO | 16 a | 13 b | 5 c | 50 | |
| BOAR | 51 a | 45 b | 50 ab | 35 | |
| Good quality | CONTROL | 45 a | 35 b | 61 c | 47 |
| ANAE | 67 a | 41 b | 78 c | 45 | |
| IMMUNO | 59 a | 25 b | 20 c | 41 | |
| BOAR | 22 a | 24 a | 14 b | 12 | |
| Bad taste | CONTROL | 5 a | 7 b | 5 a | 15 |
| ANAE | 1 a | 4 b | 1 a | 23 | |
| IMMUNO | 2 a | 7 b | 13 c | 48 | |
| BOAR | 61 a | 37 b | 75 c | 48 |
© 2020 by the authors. Licensee MDPI, Basel, Switzerland. This article is an open access article distributed under the terms and conditions of the Creative Commons Attribution (CC BY) license (http://creativecommons.org/licenses/by/4.0/).
Share and Cite
Aluwé, M.; Heyrman, E.; Almeida, J.M.; Babol, J.; Battacone, G.; Čítek, J.; Font i Furnols, M.; Getya, A.; Karolyi, D.; Kostyra, E.; et al. Exploratory Survey on European Consumer and Stakeholder Attitudes towards Alternatives for Surgical Castration of Piglets. Animals 2020, 10, 1758. https://doi.org/10.3390/ani10101758
Aluwé M, Heyrman E, Almeida JM, Babol J, Battacone G, Čítek J, Font i Furnols M, Getya A, Karolyi D, Kostyra E, et al. Exploratory Survey on European Consumer and Stakeholder Attitudes towards Alternatives for Surgical Castration of Piglets. Animals. 2020; 10(10):1758. https://doi.org/10.3390/ani10101758
Chicago/Turabian StyleAluwé, Marijke, Evert Heyrman, João M. Almeida, Jakub Babol, Gianni Battacone, Jaroslav Čítek, Maria Font i Furnols, Andriy Getya, Danijel Karolyi, Eliza Kostyra, and et al. 2020. "Exploratory Survey on European Consumer and Stakeholder Attitudes towards Alternatives for Surgical Castration of Piglets" Animals 10, no. 10: 1758. https://doi.org/10.3390/ani10101758
APA StyleAluwé, M., Heyrman, E., Almeida, J. M., Babol, J., Battacone, G., Čítek, J., Font i Furnols, M., Getya, A., Karolyi, D., Kostyra, E., Kress, K., Kušec, G., Mörlein, D., Semenova, A., Škrlep, M., Stoyanchev, T., Tomašević, I., Tudoreanu, L., Van Son, M., ... Egea, M. (2020). Exploratory Survey on European Consumer and Stakeholder Attitudes towards Alternatives for Surgical Castration of Piglets. Animals, 10(10), 1758. https://doi.org/10.3390/ani10101758

