Short-Term Effect of Daily Herbage Allowance Restriction on Pasture Condition and the Performance of Grazing Dairy Cows during Autumn
Simple Summary
Abstract
1. Introduction
2. Materials and Methods
2.1. Study Location and Treatments
2.2. Pasture
2.3. Animals
2.4. Grazing Management
2.5. Pasture Characteristics
2.6. Herbage Depletion and Changes on Sward Morphological Components during Grazing Sessions
2.7. Pasture Regrowth Rate
2.8. Animal Measurements
2.9. Statistical Analyses
3. Results
3.1. Weather
3.2. Grazing Management
3.3. Pasture Characteristics
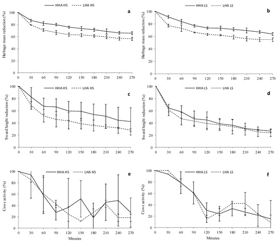
3.4. Herbage Depletion and Changes in the Morphological Components during Grazing Sessions
3.5. Pasture Regrowth Rate
3.6. Animal Measurements
4. Discussion
4.1. Grazing Management
4.2. Sward Characteristics
4.3. Herbage Depletion and Changes in Morphological Components during Grazing
4.4. Pasture Regrowth
4.5. Animal Performance and Grazing Behaviour
4.6. Final Remarks
5. Conclusions
Author Contributions
Funding
Acknowledgments
Conflicts of Interest
References
- McEvoy, M.E.; O’Donovan, M.; Kennedy, E.; Murphy, J.P.; Delaby, L.; Boland, T.M. Effect of pregrazing herbage mass and pasture allowance on the lactation performance of Holstein–Friesian dairy cows. J. Dairy Sci. 2009, 92, 414–422. [Google Scholar] [CrossRef] [PubMed]
- Shalloo, L.; Dillon, P.; Rath, M.; Wallace, M. Description and validation of the Moorepark Dairy System model. J. Dairy Sci. 2004, 87, 1945–1959. [Google Scholar] [CrossRef]
- Dillon, P.; Roche, J.R.; Shalloo, L.; Horan, B. Optimising financial return from grazing in temperate pastures. In Utilisation of Grazed Grass in Temperate Animal Systems. Proceedings of the a satellite workshop of the XXth International Grassland Congress, Cork, Ireland, 20 July 2005; Murphy, J.J., Ed.; Wageningen Academic Publishers: Amsterdam, The Netherlands, 2005; pp. 131–148. [Google Scholar]
- Wilkinson, J.M.; Lee, M.R.F. Use of human-edible feeds by livestock. Animal 2018, 12, 1735–1743. [Google Scholar] [CrossRef] [PubMed]
- Stakelum, G.; Maher, J.; Rath, M. Effects of daily herbage allowance and stage of lactation on the intake and performance of dairy cows in early summer. Irish. J. Agric. Food Res. 2007, 46, 47–61. [Google Scholar]
- Peyraud, J.L.; Comeron, E.A.; Wade, M.H.; Lemaire, G. The effect of daily herbage allowance, herbage mass and animal factors upon herbage intake by grazing dairy cows. Ann. Zootech. (Paris) 1996, 45, 201–217. [Google Scholar] [CrossRef]
- Dougherty, C.T.; Bradley, N.W.; Lauriault, L.M.; Arias, J.E.; Cornelius, P.L. Allowance–intake relations of cattle grazing vegetative tall fescue. Grass Forage Sci. 1992, 47, 211–219. [Google Scholar] [CrossRef]
- Dillon, P.; Hennessy, T.; Shalloo, L.; Thorne, F.; Horan, B. Future outlook for the Irish dairy industry: A study of international competitiveness, influence of international trade reform and requirement for change. Int. J. Dairy Technol. 2008, 61, 16–29. [Google Scholar] [CrossRef]
- Baudracco, J.; Lopez–Villalobos, N.; Holmes, C.W.; Macdonald, K.A. Effects of stocking rate, supplementation, genetic strain and their interactions on grazing dairy systems: A review. N. Z. J. Agric. Res. 2010, 53, 109–133. [Google Scholar] [CrossRef][Green Version]
- Dalley, D.E.; Roche, J.R.; Grainger, C.; Moate, P.J. Dry matter intake, nutrient selection and milk production of dairy cows grazing rainfed perennial pastures at different herbage allowances in spring. Aust. J. Exp. Agric. 1999, 39, 923–931. [Google Scholar]
- Bargo, F.; Muller, L.D.; Delahoy, J.E.; Cassidy, T.W. Milk response to concentrate supplementation of high producing dairy cows grazing at two pasture allowances. J. Dairy Sci. 2002, 85, 1777–1792. [Google Scholar] [CrossRef]
- Kennedy, E.; O’Donovan, M.; O’Mara, F.P.; Murphy, J.P.; Delaby, L. The effect of early–lactation feeding strategy on the lactation performance of spring–calving dairy cows. J. Dairy Sci. 2007, 90, 3060–3070. [Google Scholar] [CrossRef] [PubMed]
- McEvoy, M.; Kennedy, E.; Murphy, J.P.; Boland, T.M.; Delaby, L.; O’Donovan, M. The effect of herbage allowance and concentrate supplementation on milk production performance and dry matter intake of spring–calving dairy cows in early lactation. J. Dairy Sci. 2008, 91, 1258–1269. [Google Scholar] [CrossRef] [PubMed]
- Ruiz-Albarran, M.; Balocchi, O.; Wittwer, F.; Pulido, R. Milk production, grazing behavior and nutritional status of dairy cows grazing two herbage allowances during winter. Chil. J. Agric. Res. 2016, 76, 34–39. [Google Scholar] [CrossRef][Green Version]
- Merino, V.M.; Balocchi, O.A.; Pulido, R.G. Pasture condition and milk production by grazing dairy cows as affected by daily herbage-allowance restriction. Anim. Prod. Sci. 2019, 59, 1510–1519. [Google Scholar] [CrossRef]
- Poff, A.J.; Balocchi, O.; López, I. Sward and tiller growth dynamics of Lolium perenne L. as affected by defoliation frequency during autumn. Crop. Pasture Sci. 2011, 62, 346–354. [Google Scholar] [CrossRef]
- Delagarde, R.; Peyraud, J.L.; Delaby, L. Effet des quantités offertes sur l’ingestion d’herbe d’automne chez la vache laitière au pâturage. Rencontres Rech. Rumin. 1999, 6, 135–138. [Google Scholar]
- Tozer, P.R.; Bargo, F.; Muller, L.D. The effect of pasture allowance and supplementation on feed efficiency and profitability of dairy systems. J. Dairy Sci. 2004, 87, 2902–2911. [Google Scholar] [CrossRef]
- Bargo, F.; Muller, L.D.; Kolver, E.S.; Delahoy, J.E. Invited review: Production and digestion of supplemented dairy cows on pasture. J. Dairy Sci. 2003, 86, 1–42. [Google Scholar] [CrossRef]
- Ingvartsen, K.L.; Dewhurst, R.J.; Friggens, N.C. On the relationship between lactational performance and health: Is it yield or metabolic imbalance that cause production diseases in dairy cattle? A position paper. Livest. Prod. Sci. 2003, 83, 277–308. [Google Scholar] [CrossRef]
- Centro de Información de Recursos Naturales. Estudio Agrológico X Región, Tomo 2; Centro de Información de Recursos Naturales (CIREN): Santiago, Chile, 2003.
- Ruiz-Albarrán, M.; Balocchi, O.A.; Noro, M.; Wittwer, F.; Pulido, R. Effect of increasing pasture allowance and grass silage on animal performance, grazing behavior and rumen fermentation parameters of dairy cows in early lactation during autumn. Livest. Sci. 2012, 150, 407–413. [Google Scholar] [CrossRef]
- Bateman, J.V. Nutrición Animal: Manual de Métodos Analíticos; Centro Regional de Ayuda Técnica: México City, Mexico, 1970. [Google Scholar]
- Ministry of Agriculture, Fisheries and Food. The Analysis of Agricultural Material, 3rd ed.; Agricultural Development and Advisory Service: London, UK, 1985; p. 239. [Google Scholar]
- Association of Official Analytical Chemist. Official Methods of Analysis, 16th ed.; Association of Official Analytical Chemist: Gaithersburg, MD, USA, 1996. [Google Scholar]
- Van Soest, P.J.; Robertson, J.B.; Lewis, B.A. Methods for dietary fiber, neutral detergent fiber and non–starch polysaccharides in relation to animal nutrition. J. Dairy Sci. 1991, 74, 3583–3597. [Google Scholar] [CrossRef]
- Tilley, J.; Terry, R. A two stages technique for the in vitro digestion of forage crops. Grass Forage Sci. 1963, 18, 104–111. [Google Scholar] [CrossRef]
- Goering, H.K.; Van Soest, P.J. Forage Fiber Analysis; United States Department of Agriculture: Washington, DC, USA, 1970.
- National Research Council. Nutrient Requirements of Dairy Cattle, 7th ed.; National Academy Press: Washington, DC, USA, 2001. [Google Scholar]
- Merino, V.M.; Balocchi, O.A.; Pulido, R.G. Effect of daily herbage allowance restriction on pasture characteristics and milk production by grazing dairy cows in spring. Cienc. Invest Agrar. 2018, 45, 21–34. [Google Scholar] [CrossRef]
- Fairey, N.A. Herbage productivity and nutritive value of nine grasses in the Peace River region of northwestern Canada. Can. J. Plant Sci. 2004, 84, 163–171. [Google Scholar] [CrossRef][Green Version]
- Thomas, T.A. An automated procedure for the determination of soluble carbohydrates in herbage. J. Sci. Food Agric. 1977, 28, 639–642. [Google Scholar] [CrossRef]
- Mitchell, K.J.; Glenday, A.C. The tiller population of pastures. N. Z. J. Agric. Res. 1958, 3, 305–318. [Google Scholar]
- McIntyre, M.A. A Method for Unbiased Selective Sampling, Using Ranked Sets; Section of Mathematical Statistics, CSIRO: Canberra, Australia, 1951.
- Bircham, J.S.; Hodgson, J. The influence of sward conditions on rates of herbage growth and senescence in mixed swards under continuous stocking management. Grass Forage Sci. 1983, 38, 323–331. [Google Scholar] [CrossRef]
- Barthram, G.T. Experimental techniques: The HFRO sward stick. In Biennial Report Hill Farming Research Organisation; Alcock, M.M., Ed.; Hill Farming Research Organisation: Midlothian, UK, 1986; pp. 29–30. [Google Scholar]
- Mitchell, P. Value of rising plate meter for estimation herbage mass of grazed perennial ryegrass–white clover dairy pastures. Proc. N. Z. Grassl. Assoc. 1982, 49, 117–122. [Google Scholar]
- Gibb, M.J. Animal grazing/intake terminology and definitions. In Pasture Ecology and Animal Intake; Keane, M.G., O’Riordan, E.G., Eds.; Teagasc, Grange Research Centre: Meath, Ireland, 1998; pp. 21–37. [Google Scholar]
- Wilhelm, W.W.; McMaster, G.S. Importance of the phyllochron in studying development and growth in grasses. Crop. Sci. 1995, 35, 1–3. [Google Scholar] [CrossRef]
- Ferguson, J.D.; Galligan, D.T.; Thomsen, N. Principal descriptors of body condition score in Holstein cows. J. Dairy Sci. 1994, 77, 2695–2703. [Google Scholar] [CrossRef]
- SAS Institute Inc. SAS Online Docs 9.1.3; SAS Institute Inc.: Cary, NC, USA, 2006. [Google Scholar]
- King, K.R.; Stockdale, C.R. Effects of pasture type and grazing management in autumn on the performance of dairy cows in late lactation and on subsequent pasture productivity. Aust. J. Exp. Agric. 1984, 24, 312–321. [Google Scholar] [CrossRef]
- Teuber, N.; Balocchi, O.; Parga, J. Manejo del Pastoreo; Fundación para la Innovación Agraria: Osorno, Chile, 2007. [Google Scholar]
- Pérez–Prieto, L.A.; Peyraud, J.L.; Delagarde, R. Pasture intake, milk production and grazing behaviour of dairy cows grazing low–mass pastures at three daily allowances in winter. Livest. Sci. 2011, 137, 151–160. [Google Scholar] [CrossRef]
- Macdonald, K.A.; Penno, J.W.; Lancaster, J.A.; Roche, J.R. Effect of stocking rate on pasture production, milk production, and reproduction of dairy cows in pasture-based systems. J. Dairy Sci. 2008, 91, 2151–2163. [Google Scholar] [CrossRef] [PubMed]
- Wales, W.J.; Doyle, P.T.; Stockdale, C.R.; Dellow, D.W. Effects of variations in herbage mass, allowance, and level of supplement on nutrient intake and milk production of dairy cows in spring and summer. Aust. J. Exp. Agric. 1999, 39, 119–130. [Google Scholar] [CrossRef]
- Ribeiro Filho, H.M.N.; Heydt, M.S.; Baade, E.A.S.; Neto, A.T. Consumo de forragem e produção de leite de vacas em pastogem de azevém–annual com duas ofertas de forragem. R. Bras. Zootec. 2009, 38, 2038–2044. [Google Scholar] [CrossRef]
- Pulido, R.G.; Muñoz, R.; Jara, C.; Balocchi, O.A.; Smulders, J.P.; Wittwer, F.; Orellana, P.; O’Donovan, M. The effect of pasture allowance and concentrate supplementation type on milk production performance and dry matter intake of autumn–calving dairy cows in early lactation. Livest. Sci. 2010, 132, 119–125. [Google Scholar] [CrossRef]
- McCarthy, B.; Delaby, L.; Pierce, K.M.; Journot, F.; Horan, B. Meta–analysis of the impact of stocking rate on the productivity of pasture–based milk production systems. Animal 2011, 5, 784–794. [Google Scholar] [CrossRef]
- Anrique, R.; Fuchslocher, R.; Iraira, S.; Saldaña, S. Composición de Alimentos Para el Ganado Bovino; Consorcio lechero and Universidad Austral de Chile: Valdivia, Chile, 2008. [Google Scholar]
- Donaghy, D.; Fulkerson, B. Principles for Developing an Effective Grazing Management System for Ryegrass–Based Pastures. 2006. Available online: https://www.ausweststephenseeds.com.au/-/media/AWSPS/Documents/Public/Newsletter-articles/Principles_for_developing_an_effective_grazing_man.ashx?la=en (accessed on 30 September 2019).
- Zanine, A.M.; Rebuffo, G.P.M.; Ferreira, D.J.; Souza, A.L.; Ribeiro, M.D.; Pinho, R.M.A.; Fajardo, M.; Sprunk, M. The effects of herbage allowance on pasture characteristics and milk production of dairy cows. N. Z. J. Agric. Res. 2019, 62, 200–209. [Google Scholar] [CrossRef]
- McGilloway, D.A.; Cushnahan, A.; Laidlaw, A.S.; Mayne, C.S.; Kilpatrick, D.J. The relationship between level of sward height reduction in a rotationally grazed sward and short–term intake rates of dairy cows. Grass Forage Sci. 1999, 54, 116–126. [Google Scholar] [CrossRef]
- Carvalho, P.C.F.; Ribeiro Filho, H.M.N.; Poli, C.H.E.C.; Moraes, A.; Delagarde, R. The importance of sward structure on intake and diet selection by the grazing animal. Proc. of Braz. Soc. of Anim. Sci. 2001, 853–871. [Google Scholar]
- Parga, J.; Peyraud, J.L.; Delagarde, R. Effect of the sward structure and herbage allowance on the herbage intake and digestion by strip–grazing dairy cows. In Grazing management: The Principles and Practice of Grazing, for Profit and Environmental Gain, within Temperate Grassland Systems-Occasional Symposium No. 34; Rook, A.J., Penning, P.D., Eds.; British Grassland Society: Harrogate, UK, 2000; pp. 61–66. [Google Scholar]
- Pérez-Prieto, L.A.; Delagarde, R. Meta-analysis of the effect of pasture allowance on pasture intake, milk production, and grazing behavior of dairy cows grazing temperate grasslands. J. Dairy Sci. 2013, 96, 6671–6689. [Google Scholar] [CrossRef] [PubMed]
- Wade, M.H.; Peyraud, J.L.; Lemaire, G.; Comerón, E.A. The dynamics of daily area and depth of grazing and herbage intake of cows in a five days paddock system. In Proceedings of the 16th International Grassland Congress, Nice, France, 4–11 October 1989; pp. 1111–1112. [Google Scholar]
- Baker, A.C.; Leaver, J.D. Effect of stocking rate in early season on dairy cow performance and sward characteristics. Grass Forage Sci. 1986, 41, 333–340. [Google Scholar] [CrossRef]
- Kavanová, M.; Lattanzi, F.A.; Schnyder, H. Nitrogen deficiency inhibits leaf blade growth in Lolium perenne by increasing cell cycle duration and decreasing mitotic and post–mitotic growth rates. Plant Cell Environ. 2008, 31, 727–737. [Google Scholar] [CrossRef] [PubMed]
- Fulkerson, W.J.; Donaghy, D.J. Plant-soluble carbohydrate reserves and senescence-Key criteria for developing an effective grazing management system for ryegrass-based pastures: A review. Aust. J. Exp. Agric. 2001, 41, 261–275. [Google Scholar] [CrossRef]
- Rojas, M.A. Relaciones Entre Oferta de Pradera y Suplementación con Ensilaje de Maíz Sobre el Perfil de Ácidos Grasos en la Leche de Vacas de Pastoreo de Primavera y Otoño. Ph.D. Thesis, Universidad Austral de Chile, Valdivia, Chile, 2015. [Google Scholar]
- Morales, A.; Grob, D.; Balocchi, O.; Pulido, R. Productive and metabolic response to two levels of corn silage supplementation in grazing dairy cows in early lactation during autumn. Chilean J. Agric. Res. 2014, 74, 205–212. [Google Scholar] [CrossRef][Green Version]
- Morales, A.; Grob, D.; Wittwer, F.; Müller, A.; Balocchi, O.; Pulido, R. Evaluation of blood metabolites in dairy cows grazing under two pasture allowances and supplemented with corn silage under restricted grazing conditions. R. Bras. Zootec. 2016, 45, 686–692. [Google Scholar] [CrossRef]
- Le Du, Y.P.L.; Baker, R.D.; Newberry, R.D. Herbage intake and milk production by grazing dairy cows. 3. The effect of grazing severity under continuous stocking. Grass Forage Sci. 1981, 36, 307–318. [Google Scholar] [CrossRef]
- Penno, J. Stocking rate for optimum profit. Proc. South Isl. Dairy Event 1999, 25–43. [Google Scholar]
- Gross, J.; van Dorland, H.A.; Bruckmaier, R.M.; Schwarz, F.J. Milk fatty acid profile related to energy balance in dairy cows. J. Dairy Res. 2011, 78, 479–488. [Google Scholar] [CrossRef]
- Wales, W.J.; Doyle, P.T.; Delow, D.W. Dry matter intake and nutrient selection by lactating cows grazing irrigated pastures at different pasture allowance in summer and autumn. Aust. J. Exp. Agric. 1998, 38, 451–460. [Google Scholar] [CrossRef]
- Kennedy, E.; O´Donovan, M.; Delaby, L.; O´Mara, F.P. Effect of herbage allowance and concentrate supplementation on dry matter intake, milk production and energy balance of early lactating dairy cows. Livest. Sci. 2008, 117, 275–286. [Google Scholar] [CrossRef]
- Delaby, L.; Peyraud, J.L.; Delagarde, R. Effect of the level of concentrate supplementation, herbage allowance and milk yield at turn–out on the performance of dairy cows in mid lactation at grazing. Anim. Sci. 2001, 73, 171–181. [Google Scholar] [CrossRef]
- Hills, J.L.; Wales, W.J.; Dunshea, F.R.; Garcia, S.C.; Roche, J.R. Invited review: An evaluation of the likely effects of individualized feeding of concentrate supplements to pasture-based dairy cows. J. Dairy Sci. 2015, 98, 1363–1401. [Google Scholar] [CrossRef]
- Nichols, K.; Dijkstra, J.; van Laar, H.; Pacheco, S.; van Valenberg, H.J.; Bannink, A. Energy and nitrogen partitioning in dairy cows at low or high metabolizable protein levels is affected differently by postrumen glucogenic and lipogenic substrates. J. Dairy Sci. 2019, 102, 395–412. [Google Scholar] [CrossRef] [PubMed]
- Hristov, A.N.; Jouany, J.-P. Factors affecting the efficiency of nitrogen utilization in the rumen. In Nitrogen and Phosphorus Nutrition of Cattle and Environment; Hristov, A.N., Pfeffer, E., Eds.; CAB International: Wallingford, UK, 2005; pp. 117–166. [Google Scholar]



| Variable | DHA (kg DM/cow.day) | MSS (kg DM/ cow.day) | SEM | Significance | ||||
|---|---|---|---|---|---|---|---|---|
| 17 | 25 | 4.5 | 9 | DHA | MSS | DHA × MSS | ||
| Herbage mass (kg DM/ha) | ||||||||
| Pre-grazing | 2255 | 2330 | 2298 | 2287 | 91.9 | n.s. | n.s. | n.s. |
| Post-grazing | 1430 | 1546 | 1455 | 1521 | 24.2 | <0.05 | n.s. | n.s. |
| Compressed sward height (cm) | ||||||||
| Pre-grazing | 7.9 | 8.2 | 8.1 | 8.1 | 0.4 | n.s. | n.s. | n.s. |
| Post-grazing | 4.4 | 5.0 | 4.6 | 4.8 | 0.1 | <0.05 | n.s. | n.s. |
| Apparent pasture intake | ||||||||
| Intake per hectare | 825 | 784 | 843 | 776 | 70.8 | n.s. | n.s. | n.s. |
| Intake per cow (kg DM/cow.day) | 6.0 | 8.2 | 7.4 | 6.8 | 0.5 | <0.01 | n.s. | n.s. |
| Offered area (m2/ cow.day) | 77.9 | 110.3 | 93.7 | 94.5 | 5.0 | <0.001 | n.s. | n.s. |
| Efficiency of harvesting (%) | 35.2 | 32.6 | 35.5 | 32.5 | 1.7 | n.s. | n.s. | n.s. |
| Canopy Level | DHA (kg DM/cow.day) | SEM | Significance | |
|---|---|---|---|---|
| 17 | 25 | |||
| >20 cm | 2.0 | 4.8 | 0.9 | 0.079 |
| 16–20 cm | 4.1 | 5.7 | 0.7 | 0.082 |
| 12–16 cm | 7.0 | 9.2 | 0.7 | <0.05 |
| 8–12 cm | 11.8 | 12.5 | 0.8 | n.s. |
| 4–8 cm | 19.9 | 16.7 | 1.6 | n.s. |
| <4 cm | 55.2 | 51.1 | 3.6 | n.s. |
| Variable | DHA | MSS | SEM | Significance | ||||
|---|---|---|---|---|---|---|---|---|
| (kg DM/cow.day) | (kg DM/cow.day) | |||||||
| 17 | 25 | 4.5 | 9 | DHA | MSS | DHA × MSS | ||
| Chemical composition | ||||||||
| DM (% of DM) | 12.6 | 12.7 | 12.7 | 12.7 | 0.2 | n.s. | n.s. | n.s. |
| CP (% of DM) | 24.9 | 24.9 | 24.6 | 25.2 | 0.2 | n.s. | n.s. | n.s. |
| NDF (% of DM) | 48.4 | 48.7 | 48.6 | 48.6 | 0.3 | n.s. | n.s. | n.s. |
| Ash (% of DM) | 9.5 | 9.8 | 9.6 | 9.7 | 0.1 | n.s. | n.s. | n.s. |
| ME (MJ /kg DM) | 11.7 | 11.7 | 11.7 | 11.7 | 1.9 | n.s. | n.s. | n.s. |
| Botanical composition (% of DM) | ||||||||
| Lolium perenne | 93.9 | 91.33 | 89.7 | 93.1 | 3.1 | n.s. | n.s. | n.s. |
| Agrostis capillaris | 0.1 | 1.4 | 2.3 | 1.8 | 0.7 | n.s. | n.s. | n.s. |
| Other grasses | 2.3 | 2.22 | 2.1 | 2.9 | 0.9 | n.s. | n.s. | n.s. |
| Trifolium repens | 2.1 | 3.88 | 2.0 | 1.7 | 1.3 | n.s. | n.s. | n.s. |
| Broadleaf species | 1.7 | 1.22 | 2.7 | 0.5 | 0.9 | n.s. | n.s. | n.s. |
| Pasture density (tiller or number of plant per m2) | ||||||||
| Grass species | 8089 | 8859 | 8339 | 8603 | 567.5 | n.s. | n.s. | n.s. |
| Trifolium repens | 161 | 124 | 191 | 94 | 85.0 | n.s. | n.s. | n.s. |
| Broadleaf species | 621 | 473 | 486 | 608 | 177 | n.s. | n.s. | n.s. |
| Plant weight (mg per tiller or plant) | ||||||||
| Grass species | 14.7 | 17.1 | 15.8 | 15.9 | 2.1 | n.s. | n.s. | n.s. |
| Trifolium repens | 7.8 | 9.6 | 8.9 | 8.4 | 0.1 | n.s. | n.s. | n.s. |
| Broadleaf species | 40.2 | 43.4 | 40.9 | 43.4 | 5.0 | n.s. | n.s. | n.s. |
| Morphological Component | DHA | MSS | SEM | Significance | ||||
|---|---|---|---|---|---|---|---|---|
| (kg DM/cow.day) | (kg DM/cow.day) | |||||||
| 17 | 25 | 4.5 | 9 | DHA | MSS | DHA × MSS | ||
| Lamina (% of DM) | ||||||||
| Initial | 90.2 | 88.7 | 91.0 | 87.9 | 1.0 | n.s. | n.s. | n.s. |
| Middle | 73.4 | 79.1 | 73.6 | 78.9 | 2.1 | n.s. | n.s. | n.s. |
| Final | 69.6 | 73.8 | 71.7 | 71.6 | 2.2 | n.s. | n.s. | n.s. |
| Sheath (% of DM) | ||||||||
| Initial | 2.7 | 3.2 | 2.6 | 3.2 | 0.4 | n.s. | n.s. | n.s. |
| Middle | 5.1 | 7.3 | 7.4 | 5.0 | 0.6 | n.s. | n.s. | n.s. |
| Final | 8.7 | 6.3 | 7.8 | 7.3 | 0.9 | n.s. | n.s. | n.s. |
| Dead material (% of DM) | ||||||||
| Initial | 7.1 | 8.1 | 6.4 | 8.9 | 0.8 | n.s. | n.s. | n.s. |
| Middle | 21.5 | 13.6 | 19.0 | 16.1 | 1.9 | n.s. | n.s. | n.s. |
| Final | 21.7 | 19.9 | 20.5 | 21.1 | 1.7 | n.s. | n.s. | n.s. |
| Variable | DHA | MSS | SEM | Significance | ||||
|---|---|---|---|---|---|---|---|---|
| (kg DM/cow.day) | (kg DM/cow.day) | |||||||
| 17 | 25 | 4.5 | 9 | DHA | MSS | DHA × MSS | ||
| Leaf production rate (days/lamina) | 15.14 | 13.23 | 14.74 | 13.64 | 1.33 | n.s. | n.s. | n.s. |
| Tiller production rate (days/tiller) | 23.86 | 19.11 | 20.60 | 22.34 | 0.76 | <0.001 | n.s. | n.s. |
| Lamina growth (cm/day) | 0.34 | 0.50 | 0.40 | 0.43 | 0.02 | <0.001 | n.s. | n.s. |
| Pasture growth (kg DM/ha/day) | 29.32 | 37.44 | 31.22 | 32.45 | 2.05 | <0.001 | n.s. | n.s. |
| Variable | DHA | MSS | SEM | Significance | ||||
|---|---|---|---|---|---|---|---|---|
| (kg of DM/cow.day) | (kg DM/cow.day) | |||||||
| 17 | 25 | 4.5 | 9 | DHA | MSS | DHA × MSS | ||
| Milk production (kg/day) | 21.99 | 23.18 | 22.53 | 22.64 | 0.15 | <0.001 | n.s. | n.s. |
| Milk fat (%) | 4.13 | 3.87 | 4.02 | 3.97 | 0.09 | <0.01 | n.s. | n.s. |
| Milk protein (%) | 3.26 | 3.34 | 3.29 | 3.32 | 0.04 | <0.05 | n.s. | n.s. |
© 2019 by the authors. Licensee MDPI, Basel, Switzerland. This article is an open access article distributed under the terms and conditions of the Creative Commons Attribution (CC BY) license (http://creativecommons.org/licenses/by/4.0/).
Share and Cite
Merino, V.M.; Balocchi, O.A.; Rivero, M.J.; Pulido, R.G. Short-Term Effect of Daily Herbage Allowance Restriction on Pasture Condition and the Performance of Grazing Dairy Cows during Autumn. Animals 2020, 10, 62. https://doi.org/10.3390/ani10010062
Merino VM, Balocchi OA, Rivero MJ, Pulido RG. Short-Term Effect of Daily Herbage Allowance Restriction on Pasture Condition and the Performance of Grazing Dairy Cows during Autumn. Animals. 2020; 10(1):62. https://doi.org/10.3390/ani10010062
Chicago/Turabian StyleMerino, Verónica M., Oscar A. Balocchi, M. Jordana Rivero, and Rubén G. Pulido. 2020. "Short-Term Effect of Daily Herbage Allowance Restriction on Pasture Condition and the Performance of Grazing Dairy Cows during Autumn" Animals 10, no. 1: 62. https://doi.org/10.3390/ani10010062
APA StyleMerino, V. M., Balocchi, O. A., Rivero, M. J., & Pulido, R. G. (2020). Short-Term Effect of Daily Herbage Allowance Restriction on Pasture Condition and the Performance of Grazing Dairy Cows during Autumn. Animals, 10(1), 62. https://doi.org/10.3390/ani10010062

