Effects of Transport Conditions on Behavioural and Physiological Responses of Horses
Simple Summary
Abstract
1. Introduction
2. Materials and Methods
2.1. Animals
2.2. Experimental Protocol
2.3. Behavioural Parameters
2.4. Gastroscopy
2.5. Haematology and Serum Biochemistry
2.6. Statistical Analysis
2.6.1. Effect of Confinement and Transport Conditions on Behavioural Parameters
2.6.2. Effects of Transport Conditions on Clinical, Laboratory and Gastroscopy Findings
2.6.3. Associations among Behavioural, Clinical, Haematological, and Gastroscopy Parameters
3. Results
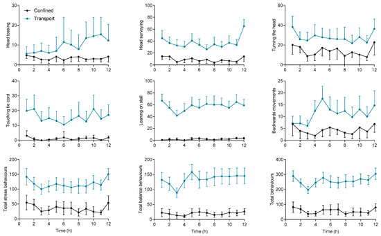
3.1. Effect of Confinement and Transport Conditions on Behavioural Parameters
3.2. Effects of Transport Conditions on Clinical, Laboratory and Gastroscopy Findings
3.3. Associations between Behavioural, Clinical and Gastroscopy Parameters
4. Discussion
5. Conclusions
Supplementary Materials
Author Contributions
Funding
Acknowledgments
Conflicts of Interest
References
- Padalino, B.; Raidal, S.L.; Hall, E.; Knight, P.; Celi, P.; Jeffcott, L.; Muscatello, G. A survey on transport management practices associated with injuries and health problems in horses. PLoS ONE 2016, 11, e0162371. [Google Scholar] [CrossRef] [PubMed]
- Riley, C.; Rogers, C.; Padalino, B. Effects of vehicle type, driver experience and transport management during loading and in-transit on the welfare of road transported horses in New Zealand. N. Z. J. Anim. Sci. Prod. 2018, 78, 92–95. [Google Scholar]
- Padalino, B.; Rogers, C.W.; Guiver, D.; Thompson, K.R.; Riley, C.B. A Survey-based investigation of human factors associated with transport related injuries in horses. Front. Vet. Sci. 2018, 5, 294. [Google Scholar] [CrossRef] [PubMed]
- Roy, R.C.; Cockram, M.S.; Dohoo, I.R.; Riley, C.B. Injuries in horses transported to slaughter in Canada. Can. J. Anim. Sci. 2015, 95, 523–531. [Google Scholar]
- Padalino, B.; Raidal, S.L.; Knight, P.; Celi, P.; Jeffcott, L.; Muscatello, G. Behaviour during transportation predicts stress response and lower airway contamination in horses. PLoS ONE 2018, 13, e0194272. [Google Scholar] [CrossRef]
- Cohen, N.D.; Peloso, J.G. Risk factors for history of previous colic and for chronic, intermittent colic in a population of horses. J. Am. Vet. Med. Assoc. 1996, 208, 697–703. [Google Scholar]
- Padalino, B.; Davis, G.; Raidal, S. Effects of transportation on gastric pH and gastric ulceration in mares. J. Vet. Intern. Med. Accepted.
- Marahrens, M.; Kleinschmidt, N.; Di Nardo, A.; Velarde, A.; Fuentes, C.; Truar, A.; Otero, J.L.; Di Fede, E.; Villa, P.D. Risk assessment in animal welfare—Especially referring to animal transport. Prev. Vet. Med. 2011, 102, 157–163. [Google Scholar] [CrossRef]
- Šímová, V.; Večerek, V.; Passantino, A.; Voslářová, E. Pre-transport factors affecting the welfare of cattle during road transport for slaughter—A review. Acta Vet. Brno 2016, 85, 303–318. [Google Scholar] [CrossRef]
- Schwartzkopf-Genswein, K.S.; Faucitano, L.; Dadgar, S.; Shand, P.; González, L.A.; Crowe, T.G. Road transport of cattle, swine and poultry in North America and its impact on animal welfare, carcass and meat quality: A review. Meat Sci. 2012, 92, 227–243. [Google Scholar] [CrossRef]
- Padalino, B. Effects of the different transport phases on equine health status, behavior, and welfare: A review. J. Vet. Behav. Clin. Appl. Res. 2015, 10, 272–282. [Google Scholar] [CrossRef]
- Clark, D.K.; Friend, T.H.; Dellmeier, G. The effect of orientation during trailer transport on heart rate, cortisol and balance in horses. Appl. Anim. Behav. Sci. 1993, 38, 179–189. [Google Scholar] [CrossRef]
- Waran, N.K.; Robertson, V.; Cuddeford, D.; Kokoszko, A.; Marlin, D.J. Effects of transporting horses facing either forwards or backwards on their behaviour and heart rate. Vet. Rec. 1996, 139, 7–11. [Google Scholar] [CrossRef] [PubMed]
- Cregier, S.E. Reducing equine hauling stress. In Proceedings of the International Congress on Applied Ethology in Farm Animals, Kiel, Gwermany, 1 February 1984; pp. 175–178. [Google Scholar]
- Padalino, B.; Maggiolino, A.; Boccaccio, M.; Tateo, A. Effects of different positions during transport on physiological and behavioral changes of horses. J. Vet. Behav. Clin. Appl. Res. 2012, 7, 135–141. [Google Scholar] [CrossRef]
- Whiting, T. Maximum loading density of loose horses. Can. J. Anim. Sci. 1999, 79, 115–118. [Google Scholar] [CrossRef]
- Calabrese, R.; Friend, T.H. Effects of density and rest stops on movement rates of unrestrained horses during transport. J. Equine Vet. Sci. 2009, 29, 782–785. [Google Scholar] [CrossRef]
- National Avian Welfare Alliance (NAWA). Animal Welfare (Transport within New Zealand) Code of Welfare 2011; NAWA: Wellington, New Zealand, 2011.
- Eur-Lex. Available online: http://eur-lex.europa.eu/legal-content/EN/TXT/?uri=uriserv:f83007 (accessed on 1 October 2015).
- Land Transport. Available online: http://www.animalwelfarestandards.net.au/land-transport/ (accessed on 1 October 2015).
- Roberts, T. Staying upright in a moving trailer. Equine Athl. 1990, 3, 1–8. [Google Scholar]
- Raidal, S.L.; Bailey, G.D.; Love, D.N. Effect of transportation on lower respiratory tract contamination and peripheral blood neutrophil function. Aust. Vet. J. 1997, 75, 433–438. [Google Scholar] [CrossRef]
- Practical Guidelines to Assess Fitness for Transport of Equidae. Available online: http://www.fve.org/news/index.php?id=208#208 (accessed on 14 February 2016).
- Padalino, B.; Raidal, S.L.; Carter, N.; Celi, P.; Muscatello, G.; Jeffcott, L.; de Silva, K. Immunological, clinical, haematological and oxidative responses to long distance transportation in horses. Res. Vet. Sci. 2017, 115, 78–87. [Google Scholar] [CrossRef] [PubMed]
- Tateo, A.; Padalino, B.; Boccaccio, M.; Maggiolino, A.; Centoducati, P. Transport stress in horses: Effects of two different distances. J. Vet. Behav. Clin. Appl. Res. 2012, 7, 33–42. [Google Scholar] [CrossRef]
- Young, T.; Creighton, E.; Smith, T.; Hosie, C. A novel scale of behavioural indicators of stress for use with domestic horses. Appl. Anim. Behav. Sci. 2012, 140, 33–43. [Google Scholar] [CrossRef]
- McGreevy, P. Equine Behavior: A Guide for Veterinarians and Equine Scientists; Saunders: New York, NY, USA; Elsevier: Edinburgh, UK, 2012; Volume 2. [Google Scholar]
- McDonnell, S.; Haviland, J. Agonistic ethogram of the equid bachelor band. Appl. Anim. Behav. Sci. 1995, 43, 147–188. [Google Scholar] [CrossRef]
- Pierard, M.; McGreevy, P.; Geers, R. Reliability of a descriptive reference ethogram for equitation science. J. Vet. Behav. 2019, 29, 118–127. [Google Scholar] [CrossRef]
- Waring, G.H. Horse Behavior; Noyes Publications: Park Ridge, NJ, USA; William Andrew Publish: Norwich, NY, USA, 2003; Volume 2. [Google Scholar]
- Raidal, S.; Andrews, F.; Nielsen, S.; Trope, G. Pharmacokinetic and pharmacodynamic effects of two omeprazole formulations on stomach pH and gastric ulcer scores. Equine Vet. J. 2017, 49, 802–809. [Google Scholar] [CrossRef]
- Andrews, F.; Sifferman, R.; Bernard, W.; Hughes, F.; Holste, J.; Daurio, C.; Alva, R.; Cox, J. Efficacy of omeprazole paste in the treatment and prevention of gastric ulcers in horses. Equine Vet. J. 1999, 31, 81–86. [Google Scholar] [CrossRef]
- Leadon, D.P.; Hodgson, D.R. Transport of horses. In The Athletic Horse: Principles and Practice of Equine Sports Medicine, 2nd ed.; Elsevier-Saunders: Philadelphia, PA, USA; St. Louis, MO, USA, 2014; pp. 155–161. [Google Scholar] [CrossRef]
- Weeks, C.A.; McGreevy, P.; Waran, N.K. Welfare issues related to transport and handling of both trained and unhandled horses and ponies. Equine Vet. Educ. 2012, 24, 423–430. [Google Scholar] [CrossRef]
- McDonnell, S. Practical Field Guide to Horse Behavior: The Equid Ethogram; The Blood-Horse Inc.: New York, NY, USA, 2003. [Google Scholar]
- Cregier, S.E. Best practices: Surface transport of the horse. In Proceedings of Animal Transportation Association; AATA Education Committee: Vancouver, BC, Canada, 2010; pp. 1–29. [Google Scholar]
- Besedovsky, L.; Lange, T.; Haack, M. The sleep-immune crosstalk in health and disease. Physiol. Rev. 2019, 99, 1325–1380. [Google Scholar] [CrossRef]
- Copenhaver, E.A.; Diamond, A.B. The value of sleep on athletic performance, injury, and recovery in the young athlete. Pediatr. Ann. 2017, 46, e106–e111. [Google Scholar] [CrossRef]
- Fullagar, H.H.; Skorski, S.; Duffield, R.; Hammes, D.; Coutts, A.J.; Meyer, T. Sleep and athletic performance: The effects of sleep loss on exercise performance, and physiological and cognitive responses to exercise. Sports Med. 2015, 45, 161–186. [Google Scholar] [CrossRef]
- Codazza, D.; Maffeo, G.; Redaelli, G. Serum enzyme changes and hemato-chemical levels in Thoroughbreds after transport and exercise. J. S. Afr. Vet. Assoc. 1974, 45, 331–335. [Google Scholar]
- Houpt, K.A.; Wickens, C.L. Handling and transport of horses. In Livestock Handling and Transport, 4th ed.; CABI: Boston, MA, USA, 2014; pp. 315–341. [Google Scholar]
- Cockram, M.; Baxter, E.; Smith, L.; Bell, S.; Howard, C.; Prescott, R.; Mitchell, M. Effect of driver behaviour, driving events and road type on the stability and resting behaviour of sheep in transit. Anim. Sci. 2004, 79, 165. [Google Scholar] [CrossRef]
- Fazio, E.; Medica, P.; Cravana, C.; Aveni, F.; Ferlazzo, A. Comparative endocrinological responses to short transportation of Equidae (Equus asinus and Equus caballus). Anim. Sci. J. 2013, 84, 258–263. [Google Scholar] [CrossRef] [PubMed]
- Schmidt, A.; Möstl, E.; Wehnert, C.; Aurich, J.; Müller, J.; Aurich, C. Cortisol release and heart rate variability in horses during road transport. Horm. Behav. 2010, 57, 209–215. [Google Scholar] [CrossRef] [PubMed]
- Tharwat, M.; Al-Sobayil, F. Influence of transportation on the serum concentrations of the cardiac biomarkers troponin I and Creatine Kinase-Myocardial Band (CK-MB) and on cortisol and lactate in horses. J. Equine Vet. Sci. 2014, 34, 662–667. [Google Scholar] [CrossRef]
- Riley, B.C. Mechanical & behavioral responses of horses during non-commercial trailer transport—A pilot study. In Proceedings of the 42nd Animal Transport Assciation Conference, Lisbon, Portugal, 4–6 April 2016. [Google Scholar]
- Woods, J.; Messori, S. Animal transport legislation and conditions of long distance transport. In Proceedings of the CP2 Final Conference, Kurhaus, Merano, Italy, 7 May 2014. [Google Scholar]
- Messori, S.; Ouweltjes, W.; Visser, K.; Dalla Villa, P.; Spoolder, H.; Baltussen, W. Improving horse welfare at transport: Definition of good practices through a Delphi procedure. In Proceedings of the Book of abstracts of the 67th Annual Meeting of the European Federation of Animal Science, Belfast, UK, 29 August–2 September 2016; p. 404. [Google Scholar]
- Consortium of the Animal Transport Guides Project. Guide to Good Practices for the Transport of Horses Destinated for Slaughter. Available online: http://animaltransportguides.eu/wp-content/uploads/2016/05/Animal-Transport-Guides-Horses-2017.pdf (accessed on 3 May 2019).
- Cregier, S.E. Reducing equine hauling stress: A review. J. Equine Vet. Sci. 1982, 2, 186–198. [Google Scholar] [CrossRef]
- Smith, B.L.; Jones, J.H.; Carlson, G.; Pascoe, J. Body position and direction preferences in horses during road transport. Equine Vet. J. 1994, 26, 374–377. [Google Scholar] [CrossRef]
- Cregier, S.E. Alleviating road transit stress on horses. Anim. Regul. Stud. 1981, 3, 223–227. [Google Scholar]
- Kusunose, R.; Torikai, K. Behavior of untethered horses during vehicle transport. J. Equine Sci. 1996, 7, 21–26. [Google Scholar] [CrossRef]
- Gibbs, A.; Friend, T. Horse preference for orientation during transport and the effect of orientation on balancing ability. Appl. Anim. Behav. Sci. 1999, 63, 1–9. [Google Scholar] [CrossRef]
- Lebelt, D.; Zanella, A.; Unshelm, J. Physiological correlates associated with cribbing behaviour in horses: Changes in thermal threshold, heart rate, plasma β-endorphin and serotonin. Equine Vet. J. 1998, 30, 21–27. [Google Scholar] [CrossRef]
- Mansmann, R.A.; Woodie, B. Equine transportation problems and some preventives: A review. J. Equine Vet. J. 1995, 15, 141–144. [Google Scholar] [CrossRef]
- Malmkvist, J.; Poulsen, J.M.; Luthersson, N.; Palme, R.; Christensen, J.W.; Søndergaard, E. Behaviour and stress responses in horses with gastric ulceration. Appl. Anim. Behav. Sci. 2012, 142, 160–167. [Google Scholar] [CrossRef]
- Sykes, B.; Hewetson, M.; Hepburn, R.; Luthersson, N.; Tamzali, Y. European college of equine internal medicine consensus statement—Equine gastric ulcer syndrome in adult horses. J. Vet. Intern. Med. 2015, 29, 1288–1299. [Google Scholar] [CrossRef] [PubMed]






| Behaviour | Description |
|---|---|
| Behavioural events related to stress (Expressed as frequency) (n/20 min) | |
| Biting neighbour | The horse bites the neighbour |
| Explorative behaviour/sniffing | The horse sniffs around, it sniffs some area of the truck/box |
| Head Surveying | Head scanning through forty-five degrees or more, ears pricked up pointing forwards and stationary for 3 s or more (adapted from [26]) |
| Head tossing/shaking | The horse shakes its head suddenly, violently and frequently [5] |
| Chewing/licking | Opening of mouth with extension and retraction of tongue, lip smacking without tongue extension, lateral jaw movements involving partial opening of the lips [27] |
| Licking the truck/wall | The horse licks part of the truck/box (wall, stall rails) |
| Pawing | One front leg is lifted from the ground slightly, then extended quickly in a forward direction, followed by a movement backward, dragging the toe against the floor in a digging motion [28] |
| Scratching | Rubbing any part of the body against part of the stock/truck (Adapted from [26] |
| Stereotypy | The persistent repetition of a behaviour for no obvious purpose [27] |
| Touching tie cord | The horse touches the rubber cord with which he is tied [5] in the truck or in the stocks |
| Turning the head | The horse turns his head and neck to the right or to the left appearing to look at his flank |
| Total stress-related behaviours | Sum of the behavioural events related to stress |
| Behavioural events related to balance (Expressed as frequency) (n/20 min) | |
| Backward movements | The horse steps backward |
| Forward movement | The horse steps forward |
| Lateral movements | The horse steps sideways |
| Leaning on stall rails | The horse gently leans laterally against one of the two stall rails of the stock or of the bay |
| Loss of balance/dashing on the partitions | The horse losses his balance and crashes/bumps on one stall rails |
| Total balance-related behaviours | Sum of the behavioural events related to balance |
| Other behavioural events (Expressed as frequency) (n/20 min) | |
| Interaction with neighbours | The horse interacts with one of his neighbours through the stall rails, they sniff each other |
| Stand on three limbs | The horse is standing on 3 or 4 limbs without moving in any direction [29] |
| Body stretching | Rigid extension of the limbs and arching of the neck and back [26] |
| Yawning | An involuntary sequence consisting of mouth opening, deep inspiration, brief apnoea, and slow expiration [30] |
| Total behavioural events | Sum of all behavioural events |
| Behaviour | Single Bay | Wide Bay | Stock | p Value |
|---|---|---|---|---|
| Backward movement | 14.9 ± 4.9 A | 5.2 ± 5.1 B | 4.3 ± 6.8 A,B | 0.002 |
| Biting | 4.1 ± 0.7 A | 0 ± 1.1 B | 0 ± 0.8 B | <0.001 |
| Explorative behaviour | 1.2 ± 0.7 | 2.6 ± 0.8 | 2.1 ± 0.9 | ns |
| Forward movements | 13.7 ± 5.6 A | 4.0 ± 5.8 B | 4.9 ± 7.7 A,B | 0.007 |
| Scratching | 2.4 ± 0.5 | 1.8 ± 0.9 | 1.9 ± 0.6 | ns |
| Head surveying | 35.5 ± 3.5 A | 43.1 ± 5.4 A | 6.9 ± 3.7 B | <0.001 |
| Head tossing | 10.1 ± 1.4 A | 7.7 ± 2.2 | 4.3 ± 1.5 B | 0.006 |
| Interaction | 9.8 ± 3.2 | 8.5 ± 3.6 | 4.47 ± 4.2 | ns |
| Lateral movements | 38.3 ± 10.9 | 38.3 ± 11.2 | 8.3 ± 15.3 | ns |
| Leaning on the stall rails | 62.9 ± 3.6 A | 43.0 ± 5.5 B | 2.5 ± 3.7 C | <0.001 |
| Licking | 21.9 ± 6.4 | 16.8 ± 6.7 | 2.5 ± 8.8 | ns |
| Loss of balance | 19.9 ± 5.2 A,a | 6.6 ± 5.4 B | 0 ± 7.2 b | <0.001 |
| Pawing | 0.5 ± 0.5 | 1.1 ± 0.7 | 1.1 ± 0.5 | ns |
| Touching the tie cord | 17.1 ± 2.4 A | 10.9 ± 3.6 a | 0 ± 2.5 B,b | <0.001 |
| Turning the head | 27.6 ± 3.9 A | 28.1 ± 5.9 | 17.7 ± 4.0 B | <0.001 |
| Total behaviour | 278.5 ± 21.5 A | 217.5 ± 24.7 B | 59.1 ±28.7 C | <0.001 |
| Total stress | 119.0 ± 7.2 A | 112.2 ± 10.2 A | 35.6 ± 7.3 B | <0.001 |
| Total balance | 148.7 ± 13.9 A | 96.2 ± 15.5 B | 18.2 ± 18.7 C | <0.001 |
| Behaviour | Rear Facing | Forward Facing | Stocks | p-Value |
|---|---|---|---|---|
| Backward movement | 5.3 ± 4.8 A | 15.1 ± 4.9 B | 4.3 ± 6.7 | <0.001 |
| Biting | 2.1 ± 2.2 | 1.9 ± 2.1 | 0.1 ± 3.0 | ns |
| Explorative behaviour | 2.6 ± 0.8 | 1.3 ± 0.8 | 2.1 ± 1.0 | ns |
| Forward movements | 3.6 ± 4.7 A | 14.5 ± 4.8 B | 4.8 ± 6.6 | <0.001 |
| Scratching | 2.4 ± 0.6 | 2.0 ± 0.7 | 1.8 ± 0.6 | ns |
| Head surveying | 39.6 ± 4.1 A | 36.1 ± 4.3 A | 7.8 ± 4.7 B | <0.001 |
| Head tossing | 9.5 ± 1.4 A | 9.2 ± 1.7 A | 4.1 ± 1.5 B | <0.001 |
| Interaction | 6.4 ± 1.3 A,a | 12.2 ± 1.4 B | 4.1 ± 1.3 A,b | 0.000 |
| Lateral movements | 26.8 ± 2.1 A | 48.9 ± 2.4 B | 8.0 ± 2.1 C | <0.001 |
| Leaning on the stall rails | 56.2 ± 9.2 A | 51.1 ±9.3 A | 1.2 ± 12.4 B | 0.001 |
| Licking | 13.5 ±2.7 A | 25.9 ± 2.8 B | 2.1 ±3.4 C | <0.001 |
| Loss of balance | 18.6 ± 6.5 A | 8.3 ± 6.5 B | 0 ± 9.2 | <0.001 |
| Pawing | 0.9 ± 0.5 | 0.4 ± 0.6 | 1.2 ± 0.5 | ns |
| Touching the tie cord | 15.4 ± 2.8 A | 14.3 ± 3.1 A | 0 ± 3.3 B | <0.001 |
| Turning the head | 28.1 ± 3.4 A | 27.9 ± 3.7 A | 18.0 ± 3.4 B | <0.001 |
| Total behaviour | 230.7 ± 30.4 A | 269.2 ± 30.7 B | 57.8 ±41.7 C | <0.001 |
| Total stress | 115.2 ± 6.5 A | 121.0 ± 7.4 A | 34.7 ± 6.5 B | <0.001 |
| Total balance | 109.4 ± 26.9 A | 135.2 ± 27.1 B,a | 18.0 ± 37.5 b | 0.002 |
| Behavioural Parameters | ∆ HR | ∆ RT | Decrease in GI Activity Score | ∆ CK | ∆ AST | T1 SQ Score |
|---|---|---|---|---|---|---|
| Lateral movement | p = 0.001 r = 0.524 | p = 0.015 r = 0.399 | p = 0.041 r = 0.357 | p = 0.056 r = 0.32 | ||
| Leaning | p = 0.002 r = 0.587 | p < 0.001 r = 0.692 | p = 0.040 r = 0.357 | p = 0.000 r = 0.611 | p < 0.001 r = 0.544 | |
| Loss of balance | p < 0.001 r = 0.590 | p < 0.001 r = 0.762 | p < 0.001 r = 0.630 | p < 0.001 r = 0.704 | ||
| Licking | p = 0.004 r = 0.468 | p = 0.001 r = 0.525 | p = 0.009 r = 0.426 | p = 0.004 r = 0.479 | p = 0.016 r = 0.398 | |
| Interaction | p = 0.044 r = 0.337 | p = 0.013 r = 0.408 | ||||
| Head surveying | p = 0.002 r = 0.486 | p < 0.001 r = 0.572 | p = 0.005 r = 0.469 | p = 0.046 r = 0.335 | ||
| Head tossing | p = 0.026 r = -0.372 | |||||
| Total stress behaviour | p < 0.001 r = 0.657 | p = 0.009 r = 0.427 | p = 0.040 r = 0.353 | p < 0.001 r = 0.718 | p = 0.010 r = 0.424 | |
| Total balance behaviour | p = 0.001 r = 0.595 | p = 0.043 r = 0.349 | p = 0.000 r = 0.571 | p = 0.001 r = 0.509 | ||
| Total behaviour | p < 0.001 r = 0.675 | p = 0.027 r = 0.383 | p <0.001 r = 0.705 | p = 0.001 r = 0.515 |
| Variable | Estimate | SE | OR | 95% CI | p |
|---|---|---|---|---|---|
| HR | 0.071 | 0.03 | 1.0 | 1.01–1.14 | 0.021 |
| RT | 1.688 | 0.74 | 5.4 | 1.26–23.10 | 0.023 |
| Loss of balance | 0.006 | 0.00 | 1.0 | 1.0–1.01 | 0.031 |
© 2020 by the authors. Licensee MDPI, Basel, Switzerland. This article is an open access article distributed under the terms and conditions of the Creative Commons Attribution (CC BY) license (http://creativecommons.org/licenses/by/4.0/).
Share and Cite
Padalino, B.; Raidal, S.L. Effects of Transport Conditions on Behavioural and Physiological Responses of Horses. Animals 2020, 10, 160. https://doi.org/10.3390/ani10010160
Padalino B, Raidal SL. Effects of Transport Conditions on Behavioural and Physiological Responses of Horses. Animals. 2020; 10(1):160. https://doi.org/10.3390/ani10010160
Chicago/Turabian StylePadalino, Barbara, and Sharanne L Raidal. 2020. "Effects of Transport Conditions on Behavioural and Physiological Responses of Horses" Animals 10, no. 1: 160. https://doi.org/10.3390/ani10010160
APA StylePadalino, B., & Raidal, S. L. (2020). Effects of Transport Conditions on Behavioural and Physiological Responses of Horses. Animals, 10(1), 160. https://doi.org/10.3390/ani10010160

