Changes in Invasive Pneumococcal Disease Caused by Streptococcus pneumoniae Serotype 1 following Introduction of PCV10 and PCV13: Findings from the PSERENADE Project
Abstract
1. Introduction
2. Materials and Methods
2.1. Data Collection and Eligibility Criteria
- Site reports annual ST1 IPD incidence data:
- -
- ST1 case counts by age group, and
- -
- Population-based denominators by age group.
- At least 50% of isolates serotyped for included years by age group.
- At least one complete year of data post-PCV10/13 introduction, excluding the year of introduction.
- At least 50% uptake for primary PCV series at 12 months of age in at least one year post-PCV10/13 introduction.
- PCV10 or PCV13 is universally recommended for all infants in the national infant immunization schedule.
- No major changes or biases in surveillance that would affect estimates of ST1 incidence rates.
2.2. Data Analysis
2.2.1. Adjustments for Missing Data
2.2.2. Statistical Analysis
3. Results
3.1. Description of Sites and Included Data
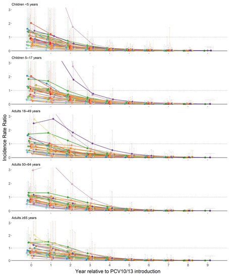
3.2. Impact of PCV10/13 on ST1 Incidence
4. Discussion
5. Conclusions
Supplementary Materials
Author Contributions
Funding
Institutional Review Board Statement
Informed Consent Statement
Data Availability Statement
Acknowledgments
Conflicts of Interest
Disclaimer
Appendix A
| Name | Affiliation |
|---|---|
| Pedro Alarcon | Instituto de Salud Pública de Chile, 7780050 Santiago, Santiago Metropolitan, Chile |
| Samanta C. G. Almeida | National Laboratory for Meningitis and Pneumococcal Infections, Center of Bacteriology, Institute Adolfo Lutz (IAL), São Paulo 01246-902, Brazil |
| Zahin Amin-Chowdhury | Immunisation and Countermeasures Division, Public Health England, NW9 5EQ, London, United Kingdom |
| Michelle Ang | National Public Health Laboratory, National Centre for Infectious Diseases, 308442, Singapore |
| Mária Avdicová | National Reference Centre for Pneumococcal and Haemophilus Diseases, Regional Authority of Public Health, 975 56 Banská Bystrica, Slovak Republic |
| Naor Bar-Zeev | Malawi-Liverpool-Wellcome Trust Clinical Research Programme, P.O. Box 30096, Chichiri, Blantyre 3, Malawi; Johns Hopkins Bloomberg School of Public Health, Baltimore, MD 21205, United States |
| Godfrey Bigogo | Centre for Global Health Research, Kenya Medical Research Institute, P.O. Box: 1578-40100, Kisumu, Kenya |
| Rita Born | Federal Office of Public Health, 3097 Liebefeld, Switzerland |
| Michael G. Bruce | Arctic Investigations Program, Division of Preparedness and Emerging Infections, National Center for Emerging and Zoonotic Infectious Diseases, Centers for Disease Control and Prevention, Anchorage, AK 99508, United States |
| Carrie L. Byington | University of Utah Department of Pediatrics (emeritus), Salt Lake City, UT 84108, United States; University of California Health System, Oakland, CA 94607, United States |
| Kin-Hung Chow | Department of Microbiology and Carol Yu Centre for Infection, The University of Hong Kong, Hong Kong SAR, China |
| Urtnasan Chuluunbat | National Center of Communicable Diseases (NCCD), Ministry of Health, Bayanzurkh district, 13336 Ulaanbaatar, Mongolia |
| Pilar Ciruela | Surveillance and Public Health Emergency Response, Public Health Agency of Catalonia, 08005 Barcelona, Spain; CIBER Epidemiología y Salud Pública, (CIBERESP), 28029 Madrid, Spain |
| Cheryl Cohen | Centre for Respiratory Diseases and Meningitis, National Institute for Communicable Diseases of the National Health Laboratory Service, Sandringham, 2192 Johannesburg, South Africa; School of Public Health, Faculty of Health Sciences, University of the Witwatersrand, Johannesburg, South Africa |
| Mary Corcoran | Irish Meningitis and Sepsis Reference Laboratory, Children’s Health Ireland at Temple Street, Rotunda, Dublin 1, D01 XD99, Ireland |
| Geneviève Deceuninck | Quebec University Hospital Research Centre, Québec, QC G1V 4G2, Canada |
| Martina Del Manso | Department of Infectious Diseases, Italian National Institute of Health (Istituto Superiore di Sanità, ISS), 00161 Rome, Italy |
| Idrissa Diawara | Faculty of Sciences and Health Techniques, Mohammed VI University of Health Sciences (UM6SS) of Casablanca, Casablanca, Morocco; National Reference Laboratory, Mohammed VI University of Health Sciences (UM6SS), 82403 Casablanca, Morocco |
| Janepsy Díaz | Instituto de Salud Pública de Chile, 7780050 Santiago, Santiago Metropolitan, Chile |
| Elina Dimina | Centre for disease prevention and control of Latvia, Riga, 1005, Latvia |
| Mignon du Plessis | Centre for Respiratory Diseases and Meningitis, National Institute for Communicable Diseases of the National Health Laboratory Service, Sandringham, 2192 Johannesburg, South Africa |
| Helga Erlendsdottir | Department of Clinical Microbiology, Landspitali—The National University Hospital, Hringbraut, 101 Reykjavik, Iceland |
| Yvonne Galloway | Epidemiology Team, Institute of Environmental Science and Research, Porirua, 5240 Wellington, New Zealand |
| Ryan Gierke | National Center for Immunizations and Respiratory Diseases, Centers for Disease Control and Prevention, Atlanta, GA 30333, United States |
| Noga Givon-Lavi | Pediatric Infectious Disease Unit and Clinical Microbiology Laboratory, Soroka University Medical Center, Ben-Gurion University of the Negev, Beer-Sheva, 8410501, Israel |
| Marcela Guevara | Instituto de Salud Pública de Navarra—IdiSNA, 31003 Pamplona, Navarra, Spain; CIBER Epidemiología y Salud Pública, (CIBERESP), 28029 Madrid, Spain |
| Ilias Hossain | Medical Research Council, The Gambia Unit, Fajara, The Gambia |
| Vicki Krause | Centre for Disease Control, Department of Health and Community Services, Darwin City NT 8000, Australia |
| Pavla Krizova | National Institute of Public Health (NIPH), 100 42, Praha 10, Czech Republic |
| Alicja Kuch | National Reference Centre for Bacterial Meningitis, National Medicines Institute, 00-725 Warsaw, Poland |
| Brigitte Lefebvre | Laboratoire de Santé Publique du Québec, Sainte-Anne-de-Bellevue, Quebec H9X 3R5, Canada |
| Tiia Lepp | Department of Communicable Disease and Control and Health Protection, Public Health Agency of Sweden, 171 82 Solna, Sweden |
| Ioanna Magaziotou | National Public Health Organisation, 15123 Athens, Greece |
| Kazunori Oishi | Toyama Institute of Health, Imizu, 939-0363 Toyama, Japan |
| Stephen I. Pelton | Boston University Schools of Medicine and Public Health, Boston, MA 02118, United States |
| Kate Pennington | Communicable Disease Epidemiology and Surveillance Section, Office of Health Protection, Australian Government Department of Health, 2606 Canberra ACT, Australia |
| Marie-Cecile Ploy | University Hospital Centre Limoges, Regional Observatories for Pneumococci, 87000 Limoges, France |
| Hafizur Rahman | Child Health Research Foundation, Dhaka 1207, Bangladesh |
| Rita Reyburn | Murdoch Children’s Research Institute, Parkville VIC 3052, Australia |
| Leah J. Ricketson | Department of Pediatrics, University of Calgary, and Alberta Health Services, Calgary Alberta T3B 6A8, Canada |
| Juan Carlos Sanz | Laboratorio Regional de Salud Pública, Dirección General de Salud Pública, Comunidad de Madrid, 28053 Madrid, Spain |
| Kevin Scott | Bacterial Respiratory Infection Service, Scottish Microbiology Reference Laboratory, NHS GG&C, G31 2ER Glasgow, United Kingdom |
| Catherine G. Sutcliffe | Johns Hopkins Bloomberg School of Public Health, Baltimore, MD 21205, United States |
| Koh Cheng Thoon | KK Women’s and Children’s Hospital, 229899, Singapore |
| Maija Toropainen | Department of Health Security, Finnish Institute for Health and Welfare, 00271 Helsinki, Finland |
| Georgina Tzanakaki | National Meningitis Reference Laboratory, National School of Public Health Athens, Athens, Greece |
| Palle Valentiner-Branth | Infectious Disease Epidemiology and Prevention, Statens Serum Institut, DK-2300 Copenhagen S, Denmark |
| Nina M. van Sorge | Medical Microbiology and Infection Prevention, Netherlands Reference Laboratory for Bacterial Meningitis, Amsterdam University Medical Centers, location AMC, University of Amsterdam, 1105 AZ Amsterdam, The Netherlands |
| Emmanuelle Varon | National Reference Centre for Pneumococci, Centre Hospitalier Intercommunal de Créteil, 94000 Créteil, France |
| Didrik F. Vestrheim | Department of Infection Control and Vaccine, Norwegian Institute of Public Health, 0456 Oslo, Norway |
| Toronto Invasive Bacterial Diseases Network | |
| PSERENADE Technical Advisory Group |
| Thomas Cherian |
| William P. Hausdorff |
| Marc Lipsitch |
| Shabir A. Madhi |
| Elizabeth Miller |
| Catherine Satzke |
| Cynthia G. Whitney |
| World Health Organization |
| Katherine L. O’Brien |
| Jenny A. Walldorf |
| Johns Hopkins University |
| Yunfeng Cao |
| Peggy Gross |
| Donna Hesson |
| Ananya Kumar |
| Kate Perepezko |
| Meagan E. Peterson |
| Francesca Schiaffino Salazar |
| Daniel Stephens |
| Yangyupei Yang |
| EpiConcept |
| Camelia Savulescu |
| European Centre for Disease Prevention and Control |
| Edoardo Colzani |
| Pan American Health Organization |
| Lúcia Helena de Oliveira |
| Dirección General de Salud Pública, Comunidad de Madrid, Spain |
| Luis García Comas |
| Maria Ordobás Gavín |
| Department of Infectious Diseases, Italian National Institute of Health (Istituto Superiore di Sanità, ISS), Rome, Italy |
| Flavia Riccardo |
| Department of Microbiology, Faculty of Medicine and Pharmacy, Hassan II University of Casablanca, Casablanca, Morocco; Bacteriology-Virology and Hospital Hygiene Laboratory, Ibn Rochd University Hospital Centre, Casablanca, Morocco |
| Néhémie Nzoyikorera |
| Surveillance and Public Health Emergency Response, Public Health Agency of Catalonia, Barcelona, Spain |
| Sonia Broner |
| Conchita Izquierdo |
| Australian National Notifiable Diseases Surveillance data were provided by the Office of Health Protection, Australian Government Department of Health, on behalf of the Communicable Diseases Network Australia and the Enhanced Invasive Pneumococcal Disease Surveillance Working Group. |
References
- Wahl, B.; O’Brien, K.L.; Greenbaum, A.; Majumder, A.; Liu, L.; Chu, Y.; Lukšić, I.; Nair, H.; McAllister, D.A.; Campbell, H.; et al. Burden of Streptococcus Pneumoniae and Haemophilus Influenzae Type b Disease in Children in the Era of Conjugate Vaccines: Global, Regional, and National Estimates for 2000–15. Lancet Glob. Health 2018, 6, e744–e757. [Google Scholar] [CrossRef]
- Troeger, C.; Blacker, B.; Khalil, I.A.; Rao, P.C.; Cao, J.; Zimsen, S.R.M.; Albertson, S.B.; Deshpande, A.; Farag, T.; Abebe, Z.; et al. Estimates of the Global, Regional, and National Morbidity, Mortality, and Aetiologies of Lower Respiratory Infections in 195 Countries, 1990–2016: A Systematic Analysis for the Global Burden of Disease Study 2016. Lancet Infect. Dis. 2018, 18, 1191–1210. [Google Scholar] [CrossRef]
- Hausdorff, W.P.; Feikin, D.R.; Klugman, K.P. Epidemiological Differences among Pneumococcal Serotypes. Lancet Infect. Dis. 2005, 5, 83–93. [Google Scholar] [CrossRef]
- Ritchie, N.D.; Mitchell, T.J.; Evans, T.J. What Is Different about Serotype 1 Pneumococci? Future Microbiol. 2011, 7, 33–46. [Google Scholar] [CrossRef] [PubMed]
- Ganaie, F.; Saad, J.S.; McGee, L.; van Tonder, A.J.; Bentley, S.D.; Lo, S.W.; Gladstone, R.A.; Turner, P.; Keenan, J.D.; Breiman, R.F.; et al. A New Pneumococcal Capsule Type, 10D, Is the 100th Serotype and Has a Large Cps Fragment from an Oral Streptococcus. mBio 2020, 11. [Google Scholar] [CrossRef]
- Johnson, H.L.; Deloria-Knoll, M.; Levine, O.S.; Stoszek, S.K.; Hance, L.F.; Reithinger, R.; Muenz, L.R.; O’Brien, K.L. Systematic Evaluation of Serotypes Causing Invasive Pneumococcal Disease among Children Under Five: The Pneumococcal Global Serotype Project. PLoS Med. 2010, 7, e1000348. [Google Scholar] [CrossRef] [PubMed]
- Brueggemann, A.B.; Peto, T.E.A.; Crook, D.W.; Butler, J.C.; Kristinsson, K.G.; Spratt, B.G. Temporal and Geographic Stability of the Serogroup-Specific Invasive Disease Potential of Streptococcus Pneumoniae in Children. J. Infect. Dis. 2004, 190, 1203–1211. [Google Scholar] [CrossRef] [PubMed]
- Bricio-Moreno, L.; Chaguza, C.; Yahya, R.; Shears, R.K.; Cornick, J.E.; Hokamp, K.; Yang, M.; Neill, D.R.; French, N.; Hinton, J.C.D.; et al. Lower Density and Shorter Duration of Nasopharyngeal Carriage by Pneumococcal Serotype 1 (ST217) May Explain Its Increased Invasiveness over Other Serotypes. mBio 2020, 11. [Google Scholar] [CrossRef]
- Ladhani, S.N.; Collins, S.; Djennad, A.; Sheppard, C.L.; Borrow, R.; Fry, N.K.; Andrews, N.J.; Miller, E.; Ramsay, M.E. Rapid Increase in Non-Vaccine Serotypes Causing Invasive Pneumococcal Disease in England and Wales, 2000-17: A Prospective National Observational Cohort Study. Lancet Infect. Dis. 2018, 18, 441–451. [Google Scholar] [CrossRef]
- Hammitt, L.L.; Etyang, A.O.; Morpeth, S.C.; Ojal, J.; Mutuku, A.; Mturi, N.; Moisi, J.C.; Adetifa, I.M.; Karani, A.; Akech, D.O.; et al. Effect of Ten-Valent Pneumococcal Conjugate Vaccine on Invasive Pneumococcal Disease and Nasopharyngeal Carriage in Kenya: A Longitudinal Surveillance Study. Lancet Lond. Engl. 2019, 393, 2146–2154. [Google Scholar] [CrossRef]
- Harboe, Z.B.; Dalby, T.; Weinberger, D.M.; Benfield, T.; Mølbak, K.; Slotved, H.C.; Suppli, C.H.; Konradsen, H.B.; Valentiner-Branth, P. Impact of 13-Valent Pneumococcal Conjugate Vaccination in Invasive Pneumococcal Disease Incidence and Mortality. Clin. Infect. Dis. 2014, 59, 1066–1073. [Google Scholar] [CrossRef]
- Cook, H.M.; Giele, C.M.; Jayasinghe, S.H.; Wakefield, A.; Krause, V.L. An Outbreak of Serotype-1 Sequence Type 306 Invasive Pneumococcal Disease in an Australian Indigenous Population. Commun. Dis. Intell. 2020, 44. [Google Scholar] [CrossRef] [PubMed]
- Leimkugel, J.; Adams Forgor, A.; Gagneux, S.; Pflüger, V.; Flierl, C.; Awine, E.; Naegeli, M.; Dangy, J.; Smith, T.; Hodgson, A.; et al. An Outbreak of Serotype 1 Streptococcus Pneumoniae Meningitis in Northern Ghana with Features That Are Characteristic of Neisseria Meningitidis Meningitis Epidemics. J. Infect. Dis. 2005, 192, 192–199. [Google Scholar] [CrossRef]
- Yaro, S.; Lourd, M.; Traoré, Y.; Njanpop-Lafourcade, B.-M.; Sawadogo, A.; Sangare, L.; Hien, A.; Ouedraogo, M.S.; Sanou, O.; Parent du Châtelet, I.; et al. Epidemiological and Molecular Characteristics of a Highly Lethal Pneumococcal Meningitis Epidemic in Burkina Faso. Clin. Infect. Dis. Off. Publ. Infect. Dis. Soc. Am. 2006, 43, 693–700. [Google Scholar] [CrossRef]
- Proulx, J.; Déry, S.; Jetté, L.; Ismaël, J.; Libman, M.; De Wals, P. Pneumonia Epidemic Caused by a Virulent Strain of Streptococcus Pneumoniae Serotype 1 in Nunavik, Quebec. Can. Commun. Dis. Rep. 2002, 28, 129–131. [Google Scholar] [PubMed]
- Von Gottberg, A.; de Gouveia, L.; Tempia, S.; Quan, V.; Meiring, S.; von Mollendorf, C.; Madhi, S.A.; Zell, E.R.; Verani, J.R.; O’Brien, K.L.; et al. Effects of Vaccination on Invasive Pneumococcal Disease in South Africa. N. Engl. J. Med. 2014, 371, 1889–1899. [Google Scholar] [CrossRef] [PubMed]
- Angoulvant, F.; Levy, C.; Grimprel, E.; Varon, E.; Lorrot, M.; Biscardi, S.; Minodier, P.; Dommergues, M.A.; Hees, L.; Gillet, Y.; et al. Early Impact of 13-Valent Pneumococcal Conjugate Vaccine on Community-Acquired Pneumonia in Children. Clin. Infect. Dis. 2014, 58, 918–924. [Google Scholar] [CrossRef]
- Camilli, R.; D’Ambrosio, F.; Del Grosso, M.; Pimentel de Araujo, F.; Caporali, M.G.; Del Manso, M.; Gherardi, G.; D’Ancona, F.; Pantosti, A. Impact of Pneumococcal Conjugate Vaccine (PCV7 and PCV13) on Pneumococcal Invasive Diseases in Italian Children and Insight into Evolution of Pneumococcal Population Structure. Vaccine 2017, 35, 4587–4593. [Google Scholar] [CrossRef] [PubMed]
- Ciruela, P.; Izquierdo, C.; Broner, S.; Muñoz-Almagro, C.; Hernández, S.; Ardanuy, C.; Pallarés, R.; Domínguez, A.; Jané, M.; Esteva, C.; et al. The Changing Epidemiology of Invasive Pneumococcal Disease after PCV13 Vaccination in a Country with Intermediate Vaccination Coverage. Vaccine 2018, 36, 7744–7752. [Google Scholar] [CrossRef]
- Andrews, N.J.; Waight, P.A.; Burbidge, P.; Pearce, E.; Roalfe, L.; Zancolli, M.; Slack, M.; Ladhani, S.N.; Miller, E.; Goldblatt, D. Serotype-Specific Effectiveness and Correlates of Protection for the 13-Valent Pneumococcal Conjugate Vaccine: A Postlicensure Indirect Cohort Study. Lancet Infect. Dis. 2014, 14, 839–846. [Google Scholar] [CrossRef]
- Mackenzie, G.A.; Hill, P.C.; Jeffries, D.J.; Hossain, I.; Uchendu, U.; Ameh, D.; Ndiaye, M.; Adeyemi, O.; Pathirana, J.; Olatunji, Y.; et al. Effect of the Introduction of Pneumococcal Conjugate Vaccination on Invasive Pneumococcal Disease in The Gambia: A Population-Based Surveillance Study. Lancet Infect. Dis. 2016, 16, 703–711. [Google Scholar] [CrossRef]
- Kwambana-Adams, B.A.; Asiedu-Bekoe, F.; Sarkodie, B.; Afreh, O.K.; Kuma, G.K.; Owusu-Okyere, G.; Foster-Nyarko, E.; Ohene, S.-A.; Okot, C.; Worwui, A.K.; et al. An Outbreak of Pneumococcal Meningitis among Older Children (≥5 Years) and Adults after the Implementation of an Infant Vaccination Programme with the 13-Valent Pneumococcal Conjugate Vaccine in Ghana. BMC Infect. Dis. 2016, 16. [Google Scholar] [CrossRef] [PubMed]
- Bozio, C.H.; Abdul-Karim, A.; Abenyeri, J.; Abubakari, B.; Ofosu, W.; Zoya, J.; Ouattara, M.; Srinivasan, V.; Vuong, J.T.; Opare, D.; et al. Continued Occurrence of Serotype 1 Pneumococcal Meningitis in Two Regions Located in the Meningitis Belt in Ghana Five Years after Introduction of 13-Valent Pneumococcal Conjugate Vaccine. PLoS ONE 2018, 13, e0203205. [Google Scholar] [CrossRef]
- Kambiré, D.; Soeters, H.M.; Ouédraogo-Traoré, R.; Medah, I.; Sangaré, L.; Yaméogo, I.; Sawadogo, G.; Ouédraogo, A.-S.; Ouangraoua, S.; McGee, L.; et al. Early Impact of 13-Valent Pneumococcal Conjugate Vaccine on Pneumococcal Meningitis—Burkina Faso, 2014–2015. J. Infect. 2018, 76, 270–279. [Google Scholar] [CrossRef]
- Deloria-Knoll, M.; Bennett, J.C.; Garcia Quesada, M.; Kagucia, E.W.; Peterson, M.E.; Feikin, D.R.; Cohen, A.L.; Hetrich, M.K.; Yangyupei, Y.; Sinkevitch, J.N.; et al. Global Landscape Review of Serotype-Specific Invasive Pneumococcal Disease Surveillance among Countries Using PCV10/13: The Pneumococcal Serotype Replacement and Distribution Estimation (PSERENADE) Project. Microorganisms 2021, in press. [Google Scholar]
- Hadfield, J.D. MCMC Methods for Multi-Response Generalized Linear Mixed Models: The MCMCglmm R Package. J. Stat. Softw. 2010, 33, 1–22. [Google Scholar] [CrossRef]
- World Health Organization. Strategic Advisory Group of Experts on Immunization Yellow Book; World Health Organization Department of Immunization, Vaccines and Biologicals (IVB): Geneva, Switzerland, 2020; p. 8. [Google Scholar]
- Traore, Y.; Tameklo, T.A.; Njanpop-Lafourcade, B.-M.; Lourd, M.; Yaro, S.; Niamba, D.; Drabo, A.; Mueller, J.E.; Koeck, J.-L.; Gessner, B.D. Incidence, Seasonality, Age Distribution, and Mortality of Pneumococcal Meningitis in Burkina Faso and Togo. Clin. Infect. Dis. 2009, 48, S181–S189. [Google Scholar] [CrossRef]
- Klugman, K.P.; Madhi, S.A.; Adegbola, R.A.; Cutts, F.; Greenwood, B.; Hausdorff, W.P. Timing of Serotype 1 Pneumococcal Disease Suggests the Need for Evaluation of a Booster Dose. Vaccine 2011, 29, 3372–3373. [Google Scholar] [CrossRef] [PubMed]
- Tsaban, G.; Ben-Shimol, S. Indirect (Herd) Protection, Following Pneumococcal Conjugated Vaccines Introduction: A Systematic Review of the Literature. Vaccine 2017, 35, 2882–2891. [Google Scholar] [CrossRef]
- World Health Organization. Pneumococcal Conjugate Vaccines in Infants and Children under 5 Years of Age: WHO Position Paper. Wkly. Epidemiol. Rec. 2019, 94, 85–104. [Google Scholar]



| Mean PCV10/13 Uptake (%) | Included in ST1 Analysis | Surveillance Years Pre- and Post-PCV10/13 (n) | Proportion ST1 IPD Cases from CSF (%) | |||||||||
|---|---|---|---|---|---|---|---|---|---|---|---|---|
| Site | PCV10 Period | PCV13 Period | PCV10/13 Schedule | PCV7 Use | PCV10/13 Catch-Up | Primary Series * | WUENIC PCV3 *** | 0–17 Years | ≥18 Years | ST1 Cases Included in Analysis (n) | ||
| Finland | 2010– | -- | 2 + 1 | N | N | 95 | 90 | Y | Y | 46 | Pre: 6 Post: 8 | 4.3 |
| Iceland | 2011– | -- | 2 + 1 | N | N | 97 | 89 | Y | Y | 22 | Pre: 16 Post: 8 | 0.0 |
| Latvia | 2012– | -- | 2 + 1 | Y | N | 91 | 83 | N b | Y; ≥50y | 5 | Pre: 0 Post: 7 | 20.0 |
| Slovenia | 2015–2019 | 2019– | 2 + 1 | N | N | 55 | 55 | Y | Y | 259 | Pre: 6 Post: 4 | 0.0 |
| Netherlands | 2011– | -- | 3 + 1/2 + 1 | Y | N | 95 | 94 | Y | Y | 642 | Pre: 7 Post: 8 | 2.2 |
| Asembo, Kenya | 2011– | -- | 3 + 0 | N | Y | 86 | 78 | Y | Y; 18–49y | 43 | Pre: 1 Post: 8 | NA |
| Kilifi, Kenya | 2011– | -- | 3 + 0 | N | Y | 82 | 78 | Y | Y; 18–64y | 204 | Pre: 11 Post: 6 | 19.6 |
| Japan | -- | 2013– | 3 + 1 | Y | N | 94 ** | 98 | Y | Y; ≥65y | 11 | Pre: 4 Post: 5 | 0.0 |
| ABCs, USA | -- | 2010– | 3 + 1 | Y | Y | 88 | 93 | Y | Y | 664 | Pre: 12 Post: 8 | 0.6 |
| Alaska, USA | -- | 2010– | 3 + 1 | Y | Y | 83 | 93 | Y | Y | 92 | Pre: 19 Post: 8 | 0.0 |
| Massachusetts, USA | -- | 2010– | 3 + 1 | Y | Y | 94 | 93 | Y; <5y | NA | 1 | Pre: 8 Post: 8 | 0.0 |
| Southwest, USA (Indigenous) | -- | 2010– | 3 + 1 | Y | Y | 82 | 93 | Y | Y | 180 | Pre: 15 Post: 9 | 2.2 |
| Alberta, Canada | -- | 2010– | 2 + 1 | Y | N | 88 ** | 77 | Y; <5y | Y | 16 | Pre: 10 Post: 8 | 0.0 |
| Denmark | -- | 2010– | 2 + 1 | Y | N | 91 ** | 93 | Y | Y | 2089 | Pre: 10 Post: 9 | 2.2 |
| France | -- | 2010– | 2 + 1 | Y | N | 93 | 91 | Y | Y | 1346 | Pre: 9 Post: 9 | 5.9 |
| Ireland | -- | 2010– | 2 + 1 | Y | N | 91 | 91 | Y | Y | 58 | Pre: 3 Post: 8 | 0.0 |
| Israel | -- | 2010– | 2 + 1 | Y | N | 95 | 93 | Y | Y | 677 | Pre: 8 Post: 8 | 3.4 |
| Italy | -- | 2010– | 2 + 1 | Y | N | 86 ** | 87 | Y | Y | 193 | Pre: 0 Post: 9 | 6.7 |
| Norway | -- | 2011– | 2 + 1 | Y | N | 93 | 93 | Y | Y | 637 | Pre: 7 Post: 7 | 1.4 |
| Singapore | -- | 2011– | 2 + 1 | Y | Y | 84 | 74 | N d | Y; ≥50y | 8 | Pre: 2 Post: 8 | 0.0 |
| South Africa | -- | 2011– | 2 + 1 | Y | Y | 77 ** | 77 | Y | Y | 3292 | Pre: 6 Post: 8 | 38.2 |
| Madrid, Spain | -- | 2010– | 2 + 1 | Y | N | 98 | 93 | Y | Y | 479 | Pre: 3 Post: 9 | 0.8 |
| Switzerland | -- | 2010– | 2 + 1 | Y | Y | 79 ** | 77 | Y | Y | 436 | Pre: 8 Post: 7 | 0.5 |
| England, UK | -- | 2010– | 2 + 1 | Y | N | 94 | 92 | Y | Y | 4214 | Pre: 10 Post: 10 | 1.5 |
| Scotland, UK | -- | 2010– | 2 + 1 | Y | N | 97 | 92 | Y | Y | 578 | Pre: 10 Post: 9 | NA |
| Germany | -- | 2009– | 3 + 1/2 + 1 | Y | N | 85 | 93 | Y | Y | 760 | Pre: 5 Post: 9 | 4.1 |
| Catalonia, Spain | -- | 2010–2015 a 2016– | 3 + 1/2 + 1 | Y a | N | 70 | 93 | Y | Y | 1111 | Pre: 4 Post: 8 | 1.5 |
| Navarra, Spain | -- | 2010–2015 a 2016– | 3 + 1/2 + 1 | Y a | N | 71 | 93 | Y | Y | 93 | Pre: 9 Post: 9 | 0.0 |
| Australia (Non-Indigenous) | -- | 2011– | 3 + 0 | Y | Y | 92 | 92 | Y | Y | 371 | Pre: 9 Post: 7 | 0.8 |
| Basse, The Gambia | -- | 2011– | 3 + 0 | Y | N | 77 | 95 | Y | N b | 71 | Pre: 2 Post: 7 | 1.4 |
| Blantyre District, Malawi | -- | 2011– | 3 + 0 | N | Y | 92 | 88 | Y | Y | 229 | Pre: 5 Post: 7 | 55.5 |
| Northern Territory, Australia | 2009–2011 | 2011– | 3 + 1 | Y | Y | 88 | 92 | Y | Y | 97 | Pre: 16 Post: 8 | 1.0 |
| Quebec-Nunavik, Canada | 2009–2010 | 2011– | 3 + 1 | Y | N | 97 | 75 | Y; <5y | N c | 1 | Pre: 9 Post: 10 | 0.0 |
| Hong Kong | 2010–2011 | 2011- | 3 + 1 | Y | N | 98 | -- | N d | Y; 18–49y | 1 | Pre: 0 Post: 5 | 0.0 |
| New Zealand | 2011–2014 2017– | 2014–2017 | 3 + 1 | Y | N | 93 | 93 | Y | Y | 334 | Pre: 9 Post: 8 | 0.6 |
| Belgium | 2015–2019 | 2011–2015 2019– | 2 + 1 | Y | N | 95 ** | 94 | Y | NA | 872 | Pre: 5 Post: 8 | 1.3 |
| Poland | 2017– | 2017– e | 2 + 1 | N | N | 94 | 60 | Y | N b | 69 | Pre: 9 Post: 2 | 4.3 |
| Quebec (excluding Nunavik), Canada | 2009–2010 2018– | 2011–2018 | 2 + 1 | Y | N | 97 | 75 | Y | Y | 43 | Pre: 8 Post: 10 | 0.0 |
| Metropolitan Region, Chile | 2011–2015 | 2016– | 2 + 1 | Y | N | 97 | 88 | Y | Y | 437 | Pre: 9 Post: 8 | 2.7 |
| Non-Metropolitan Regions, Chile | 2011–2017 | 2017– | 2 + 1 | N | N | 97 | 89 | Y | Y | 69 | Pre: 0 Post: 7 | 0.0 |
| Grand Casablanca, Morocco | 2012– | 2010–2012 | 2 + 1 | N | N | 91 | 90 | Y | Y; 18–49y | 29 | Pre: 4 Post: 7 | 37.9 |
| Slovakia | 2011– | 2011– | 2 + 1 | Y | Y | 97 | 97 | Y | Y | 20 | Pre: 0 Post: 7 | 5.0 |
| Sweden | 2010– | 2010–2019 | 2 + 1 | Y | N | 97 ** | 97 | Y | Y | 84 | Pre: 1 Post: 5 | NA |
| Ontario, Canada | 2009–2010 | 2010– | 3 + 1/2 + 1 | Y | Y | 72 ** | 79 | N d | Y | 9 | Pre: 3 Post: 9 | 0.00 |
| Czech Republic | 2010– | 2010– | 3 + 1/2 + 1 | N | N | 74 ** | -- | Y | Y | 227 | Pre: 2 Post: 8 | 2.2 |
| Year Post-PCV10/13 Introduction | ||||||||||
|---|---|---|---|---|---|---|---|---|---|---|
| 0 * | 1 | 2 | 3 | 4 | 5 | 6 | 7 | 8 | 9 | |
| Children <5 Years | ||||||||||
| Nnumber of Sites a | 37 | 37 | 36 | 36 | 35 | 34 | 33 | 27 | 10 | 3 |
| IRR (95% CI) | 1.09 (0.92–1.29) | 0.57 (0.48–0.67) | 0.29 (0.25–0.35) | 0.15 (0.13–0.18) | 0.08 (0.07–0.09) | 0.05 (0.04–0.05) | 0.03 (0.02–0.03) | 0.02 (0.02–0.02) | 0.01 (0.01–0.02) | 0.01 (0.01–0.01) |
| Children 5–17 Years | ||||||||||
| Number of Sites a | 34 | 34 | 33 | 33 | 32 | 31 | 30 | 24 | 9 | 2 |
| IRR (95% CI) | 1.06 (0.88–1.28) | 0.67 (0.55–0.80) | 0.41 (0.34–0.49) | 0.24 (0.20–0.29) | 0.14 (0.11–0.16) | 0.08 (0.06–0.09) | 0.04 (0.04–0.05) | 0.03 (0.02–0.03) | 0.01 (0.01–0.02) | 0.01 (0.01–0.01) |
| Adults 18–49 Years | ||||||||||
| Numbers of Sites a | 29 | 29 | 29 | 29 | 28 | 28 | 27 | 22 | 9 | 2 |
| IRR (95% CI) | 0.94 (0.73–1.22) | 0.57 (0.44–0.74) | 0.34 0.26–0.44) | 0.20 (0.15–0.25) | 0.11 (0.09–0.14) | 0.06 (0.05–0.08) | 0.03 (0.03–0.04) | 0.02 (0.01–0.02) | 0.01 (0.01–0.01) | 0.01 (0.00–0.01) |
| Adults 50–64 Years | ||||||||||
| Number of Sites a | 29 | 29 | 29 | 29 | 27 | 27 | 27 | 22 | 9 | 2 |
| IRR (95% CI) | 0.85 (0.70–1.04) | 0.54 (0.44–0.65) | 0.33 (0.27–0.40) | 0.19 (0.15–0.23) | 0.10 (0.08–0.12) | 0.06 (0.05–0.07) | 0.03 (0.03–0.04) | 0.02 (0.02–0.02) | 0.01 (0.01–0.01) | 0.01 (0.01–0.01) |
| Adults ≥65 Years | ||||||||||
| Number of Sites a | 28 | 28 | 28 | 28 | 27 | 27 | 27 | 22 | 9 | 2 |
| IRR (95% CI) | 0.82 (0.68–0.99) | 0.56 (0.46–0.67) | 0.36 (0.30–0.43) | 0.20 (0.17–0.24) | 0.10 (0.08–0.12) | 0.05 (0.04–0.06) | 0.03 (0.02–0.03) | 0.02 (0.01–0.02) | 0.01 (0.01–0.01) | 0.01 (0.00–0.01) |
| All ages | ||||||||||
| Number of Sites a | 39 | 39 | 38 | 38 | 37 | 36 | 35 | 29 | 11 | 3 |
| IRR (95% CI) | 0.98 (0.79–1.21) | 0.57 (0.47–0.71) | 0.33 (0.27–0.40) | 0.18 (0.15–0.22) | 0.10 (0.08–0.12) | 0.05 (0.04–0.06) | 0.03 (0.02–0.04) | 0.02 (0.01–0.02) | 0.01 (0.01–0.01) | 0.01 (0.01–0.01) |
Publisher’s Note: MDPI stays neutral with regard to jurisdictional claims in published maps and institutional affiliations. |
© 2021 by the authors. Licensee MDPI, Basel, Switzerland. This article is an open access article distributed under the terms and conditions of the Creative Commons Attribution (CC BY) license (http://creativecommons.org/licenses/by/4.0/).
Share and Cite
Bennett, J.C.; Hetrich, M.K.; Garcia Quesada, M.; Sinkevitch, J.N.; Deloria Knoll, M.; Feikin, D.R.; Zeger, S.L.; Kagucia, E.W.; Cohen, A.L.; Ampofo, K.; et al. Changes in Invasive Pneumococcal Disease Caused by Streptococcus pneumoniae Serotype 1 following Introduction of PCV10 and PCV13: Findings from the PSERENADE Project. Microorganisms 2021, 9, 696. https://doi.org/10.3390/microorganisms9040696
Bennett JC, Hetrich MK, Garcia Quesada M, Sinkevitch JN, Deloria Knoll M, Feikin DR, Zeger SL, Kagucia EW, Cohen AL, Ampofo K, et al. Changes in Invasive Pneumococcal Disease Caused by Streptococcus pneumoniae Serotype 1 following Introduction of PCV10 and PCV13: Findings from the PSERENADE Project. Microorganisms. 2021; 9(4):696. https://doi.org/10.3390/microorganisms9040696
Chicago/Turabian StyleBennett, Julia C., Marissa K. Hetrich, Maria Garcia Quesada, Jenna N. Sinkevitch, Maria Deloria Knoll, Daniel R. Feikin, Scott L. Zeger, Eunice W. Kagucia, Adam L. Cohen, Krow Ampofo, and et al. 2021. "Changes in Invasive Pneumococcal Disease Caused by Streptococcus pneumoniae Serotype 1 following Introduction of PCV10 and PCV13: Findings from the PSERENADE Project" Microorganisms 9, no. 4: 696. https://doi.org/10.3390/microorganisms9040696
APA StyleBennett, J. C., Hetrich, M. K., Garcia Quesada, M., Sinkevitch, J. N., Deloria Knoll, M., Feikin, D. R., Zeger, S. L., Kagucia, E. W., Cohen, A. L., Ampofo, K., Brandileone, M.-C. C., Bruden, D., Camilli, R., Castilla, J., Chan, G., Cook, H., Cornick, J. E., Dagan, R., Dalby, T., ... the PSERENADE Team. (2021). Changes in Invasive Pneumococcal Disease Caused by Streptococcus pneumoniae Serotype 1 following Introduction of PCV10 and PCV13: Findings from the PSERENADE Project. Microorganisms, 9(4), 696. https://doi.org/10.3390/microorganisms9040696

