Mycobacterium tuberculosis Small RNA MTS1338 Confers Pathogenic Properties to Non-Pathogenic Mycobacterium smegmatis
Abstract
1. Introduction
2. Materials and Methods
2.1. Bacterial Strains and Growth Conditions
2.2. Construction of MSmeg Recombinant Strains
2.3. Infection of Macrophages
2.4. RNA Isolation
2.5. cDNA Synthesis and qRT-PCR
2.6. Northern Blotting Analysis
2.7. Measurement of Cytokine Production
2.8. Confocal Microscopy
2.9. Sample Preparation for Proteomics
2.10. Liquid Chromatography with Tandem Mass Spectrometry (LC-MS/MS)
3. Results
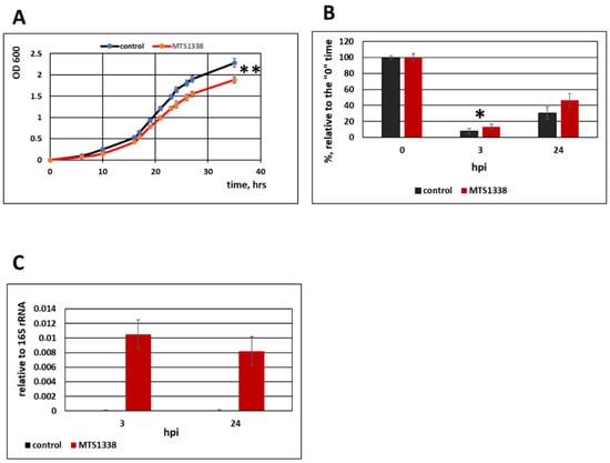
3.1. MTS1338 Inhibited Extracellular Growth of M. smegmatis and Promoted Its Survival in Infected Macrophages
3.2. MTS1338 Expressing in Non-pathogenic Mycobacterium Reduced the Number of Phagolysosomes in Macrophages
3.3. MTS1338 Affected Cytokine Expression in Infected Macrophages
3.4. MTS1338 Regulated the Expression of Proteins Involved in Iron Metabolism and Cell Wall Remodeling
3.4.1. Proteins Unique for the 1338 Strain
3.4.2. Proteins Absent in the MTS1338 Strain
3.5. MTS1338 Promoted Secretion of Proteins Involved in Bacterial Virulence and Cell Wall Permeability
3.5.1. Proteins Unique for the MTS1338 Strain Secretome
3.5.2. Proteins Absent in the MTS1338 Strain Secretome
3.6. Validation of the Proteomic Results by qRT-PCR
4. Discussion
Supplementary Materials
Author Contributions
Funding
Data Availability Statement
Acknowledgments
Conflicts of Interest
References
- Behar, S.M.; Divangahi, M.; Remold, H.G. Evasion of innate immunity by Mycobacterium tuberculosis: Is death an exit strategy? Nat. Rev. Microbiol. 2010, 8, 668–674. [Google Scholar] [CrossRef] [PubMed]
- Ehrt, S.; Schnappinger, D. Mycobacterial survival strategies in the phagosome: Defence against host stresses. Cell Microbiol. 2009, 11, 1170–1178. [Google Scholar] [CrossRef]
- Zondervan, N.A.; van Dam, J.C.J.; Schaap, P.J.; Martins Dos Santos, V.A.P.; Suarez-Diez, M. Regulation of Three Virulence Strategies of Mycobacterium tuberculosis: A Success Story. Int. J. Mol. Sci. 2018, 19, 347. [Google Scholar] [CrossRef]
- Deretic, V.; Singh, S.; Master, S.; Harris, J.; Roberts, E.; Kyei, G.; Davis, A.; de Haro, S.; Naylor, J.; Lee, H.H.; et al. Mycobacterium tuberculosis inhibition of phagolysosome biogenesis and autophagy as a host defence mechanism. Cell Microbiol. 2006, 8, 719–727. [Google Scholar] [CrossRef] [PubMed]
- Vergne, I.; Chua, J.; Lee, H.H.; Lucas, M.; Belisle, J.; Deretic, V. Mechanism of phagolysosome biogenesis block by viable Mycobacterium tuberculosis. Proc. Natl. Acad. Sci. USA 2005, 102, 4033–4038. [Google Scholar] [CrossRef]
- Vergne, I.; Chua, J.; Singh, S.B.; Deretic, V. Cell biology of mycobacterium tuberculosis phagosome. Annu. Rev. Cell Dev. Biol. 2004, 20, 367–394. [Google Scholar] [CrossRef]
- Holmqvist, E.; Wagner, E.G.H. Impact of bacterial sRNAs in stress responses. Biochem. Soc. Trans. 2017, 45, 1203–1212. [Google Scholar] [CrossRef]
- Dutta, T.; Srivastava, S. Small RNA-mediated regulation in bacteria: A growing palette of diverse mechanisms. Gene 2018, 656, 60–72. [Google Scholar] [CrossRef]
- Arnvig, K.; Young, D. Non-coding RNA and its potential role in Mycobacterium tuberculosis pathogenesis. RNA Biol. 2012, 9, 427–436. [Google Scholar] [CrossRef] [PubMed]
- Moores, A.; Riesco, A.B.; Schwenk, S.; Arnvig, K.B. Expression, maturation and turnover of DrrS, an unusually stable, DosR regulated small RNA in Mycobacterium tuberculosis. PLoS ONE 2017, 12, e0174079. [Google Scholar] [CrossRef]
- Ignatov, D.V.; Salina, E.G.; Fursov, M.V.; Skvortsov, T.A.; Azhikina, T.L.; Kaprelyants, A.S. Dormant non-culturable Mycobacterium tuberculosis retains stable low-abundant mRNA. BMC Genom. 2015, 16, 954. [Google Scholar] [CrossRef] [PubMed]
- Salina, E.G.; Grigorov, A.; Skvortsova, Y.; Majorov, K.; Bychenko, O.; Ostrik, A.; Logunova, N.; Ignatov, D.; Kaprelyants, A.; Apt, A.; et al. MTS1338, a Small Mycobacterium tuberculosis RNA, Regulates Transcriptional Shifts Consistent with Bacterial Adaptation for Entering into Dormancy and Survival within Host Macrophages. Front. Cell Infect. Microbiol. 2019, 9, 405. [Google Scholar] [CrossRef]
- Ostrik, A.; Salina, E.; Skvortsova, Y.; Grigorov, A.; Bychenko, O.; Kaprelyants, A.; Azhikina, T. Small RNAs of Mycobacterium tuberculosis in Adaptation to Host-Like Stress Conditions in vitro. Appl. Biochem. Microbiol. 2020, 56, 381–386. [Google Scholar] [CrossRef]
- Jorgensen, M.G.; Pettersen, J.S.; Kallipolitis, B.H. sRNA-mediated control in bacteria: An increasing diversity of regulatory mechanisms. Biochim. Biophys. Acta Gene Regul. Mech. 2020, 1863, 194504. [Google Scholar] [CrossRef] [PubMed]
- Ul Haq, I.; Muller, P.; Brantl, S. Intermolecular Communication in Bacillus subtilis: RNA-RNA, RNA-Protein and Small Protein-Protein Interactions. Front. Mol. Biosci. 2020, 7, 178. [Google Scholar] [CrossRef] [PubMed]
- Arriaga-Guerrero, A.L.; Hernandez-Luna, C.E.; Rigal-Leal, J.; Robles-Gonzalez, R.J.; Gonzalez-Escalante, L.A.; Silva-Ramirez, B.; Mercado-Hernandez, R.; Vargas-Villarreal, J.; Bermudez de Leon, M.; Penuelas-Urquides, K. LipF increases rifampicin and streptomycin sensitivity in a Mycobacterium tuberculosis surrogate. BMC Microbiol. 2020, 20, 132. [Google Scholar] [CrossRef] [PubMed]
- Maan, P.; Kumar, A.; Kaur, J.; Kaur, J. Rv1288, a Two Domain, Cell Wall Anchored, Nutrient Stress Inducible Carboxyl-Esterase of Mycobacterium tuberculosis, Modulates Cell Wall Lipid. Front. Cell Infect. Microbiol. 2018, 8, 421. [Google Scholar] [CrossRef]
- Shiloh, M.U.; Champion, P.A. To catch a killer. What can mycobacterial models teach us about Mycobacterium tuberculosis pathogenesis? Curr. Opin. Microbiol. 2010, 13, 86–92. [Google Scholar] [CrossRef]
- Sweeney, K.A.; Dao, D.N.; Goldberg, M.F.; Hsu, T.; Venkataswamy, M.M.; Henao-Tamayo, M.; Ordway, D.; Sellers, R.S.; Jain, P.; Chen, B.; et al. A recombinant Mycobacterium smegmatis induces potent bactericidal immunity against Mycobacterium tuberculosis. Nat. Med. 2011, 17, 1261–1268. [Google Scholar] [CrossRef]
- Bettencourt, P.; Pires, D.; Carmo, N.; Anes, E. Application of confocal microscopy for quantification of intracellular mycobacteria in macrophages. Microsc. Sci. Technol. Appl. Educ. 2010, 614. [Google Scholar] [CrossRef]
- Rustad, T.R.; Roberts, D.M.; Liao, R.P.; Sherman, D.R. Isolation of mycobacterial RNA. Methods Mol. Biol. 2009, 465, 13–21. [Google Scholar]
- Ruijter, J.M.; Ramakers, C.; Hoogaars, W.M.; Karlen, Y.; Bakker, O.; van den Hoff, M.J.; Moorman, A.F. Amplification efficiency: Linking baseline and bias in the analysis of quantitative PCR data. Nucleic Acids Res. 2009, 37, e45. [Google Scholar] [CrossRef]
- Kovalchuk, S.I.; Jensen, O.N.; Rogowska-Wrzesinska, A. FlashPack: Fast and Simple Preparation of Ultrahigh-performance Capillary Columns for LC-MS. Mol Cell Proteom. 2019, 18, 383–390. [Google Scholar] [CrossRef] [PubMed]
- Ma, B.; Zhang, K.; Hendrie, C.; Liang, C.; Li, M.; Doherty-Kirby, A.; Lajoie, G. PEAKS: Powerful software for peptide de novo sequencing by tandem mass spectrometry. Rapid Commun. Mass. Spectrom. 2003, 17, 2337–2342. [Google Scholar] [CrossRef] [PubMed]
- Perez-Riverol, Y.; Csordas, A.; Bai, J.; Bernal-Llinares, M.; Hewapathirana, S.; Kundu, D.J.; Inuganti, A.; Griss, J.; Mayer, G.; Eisenacher, M.; et al. The PRIDE database and related tools and resources in 2019: Improving support for quantification data. Nucleic Acids Res. 2019, 47, D442–D450. [Google Scholar] [CrossRef]
- Anes, E.; Peyron, P.; Staali, L.; Jordao, L.; Gutierrez, M.G.; Kress, H.; Hagedorn, M.; Maridonneau-Parini, I.; Skinner, M.A.; Wildeman, A.G. Dynamic life and death interactions between Mycobacterium smegmatis and J774 macrophages. Cell. Microbiol. 2006, 8, 939–960. [Google Scholar] [CrossRef] [PubMed]
- Cortes, T.; Schubert, O.T.; Banaei-Esfahani, A.; Collins, B.C.; Aebersold, R.; Young, D.B. Delayed effects of transcriptional responses in Mycobacterium tuberculosis exposed to nitric oxide suggest other mechanisms involved in survival. Sci. Rep. 2017, 7, 8208. [Google Scholar] [CrossRef] [PubMed]
- Ramon-Garcia, S.; Ng, C.; Jensen, P.R.; Dosanjh, M.; Burian, J.; Morris, R.P.; Folcher, M.; Eltis, L.D.; Grzesiek, S.; Nguyen, L.; et al. WhiB7, an Fe-S-dependent transcription factor that activates species-specific repertoires of drug resistance determinants in actinobacteria. J. Biol. Chem. 2013, 288, 34514–34528. [Google Scholar] [CrossRef]
- Lee, H.N.; Ji, C.J.; Lee, H.H.; Park, J.; Seo, Y.S.; Lee, J.W.; Oh, J.I. Roles of three FurA paralogs in the regulation of genes pertaining to peroxide defense in Mycobacterium smegmatis mc(2) 155. Mol. Microbiol. 2018, 108, 661–682. [Google Scholar] [CrossRef]
- Manganelli, R. Sigma Factors: Key Molecules in Mycobacterium tuberculosis Physiology and Virulence. Microbiol. Spectr. 2014, 2. [Google Scholar] [CrossRef]
- Rodrigue, S.; Provvedi, R.; Jacques, P.E.; Gaudreau, L.; Manganelli, R. The sigma factors of Mycobacterium tuberculosis. FEMS Microbiol. Rev. 2006, 30, 926–941. [Google Scholar] [CrossRef] [PubMed]
- Ouellet, H.; Johnston, J.B.; Ortiz de Montellano, P.R. The Mycobacterium tuberculosis cytochrome P450 system. Arch. Biochem. Biophys. 2010, 493, 82–95. [Google Scholar] [CrossRef]
- Etienne, G.; Malaga, W.; Laval, F.; Lemassu, A.; Guilhot, C.; Daffe, M. Identification of the polyketide synthase involved in the biosynthesis of the surface-exposed lipooligosaccharides in mycobacteria. J. Bacteriol. 2009, 191, 2613–2621. [Google Scholar] [CrossRef]
- Quadri, L.E. Biosynthesis of mycobacterial lipids by polyketide synthases and beyond. Crit. Rev. Biochem. Mol. Biol. 2014, 49, 179–211. [Google Scholar] [CrossRef]
- Goosens, V.J.; Monteferrante, C.G.; van Dijl, J.M. The Tat system of Gram-positive bacteria. Biochim. Biophys. Acta 2014, 1843, 1698–1706. [Google Scholar] [CrossRef]
- Walters, S.B.; Dubnau, E.; Kolesnikova, I.; Laval, F.; Daffe, M.; Smith, I. The Mycobacterium tuberculosis PhoPR two-component system regulates genes essential for virulence and complex lipid biosynthesis. Mol. Microbiol. 2006, 60, 312–330. [Google Scholar] [CrossRef]
- Asensio, J.G.; Maia, C.; Ferrer, N.L.; Barilone, N.; Laval, F.; Soto, C.Y.; Winter, N.; Daffé, M.; Gicquel, B.; Martín, C. The virulence-associated two-component PhoP-PhoR system controls the biosynthesis of polyketide-derived lipids in Mycobacterium tuberculosis. J. Biol. Chem. 2006, 281, 1313–1316. [Google Scholar] [CrossRef]
- Kaur, J.; Kaur, J. Rv0518, a nutritive stress inducible GDSL lipase of Mycobacterium tuberculosis, enhanced intracellular survival of bacteria by cell wall modulation. Int. J. Biol. Macromol. 2019, 135, 180–195. [Google Scholar] [CrossRef]
- Rhoades, E.R.; Archambault, A.S.; Greendyke, R.; Hsu, F.F.; Streeter, C.; Byrd, T.F. Mycobacterium abscessus Glycopeptidolipids mask underlying cell wall phosphatidyl-myo-inositol mannosides blocking induction of human macrophage TNF-alpha by preventing interaction with TLR2. J. Immunol. 2009, 183, 1997–2007. [Google Scholar] [CrossRef]
- Slayden, R.A.; Knudson, D.L.; Belisle, J.T. Identification of cell cycle regulators in Mycobacterium tuberculosis by inhibition of septum formation and global transcriptional analysis. Microbiology 2006, 152, 1789–1797. [Google Scholar] [CrossRef]
- Goehring, N.W.; Beckwith, J. Diverse paths to midcell: Assembly of the bacterial cell division machinery. Curr. Biol. 2005, 15, R514–R526. [Google Scholar] [CrossRef]
- Downing, K.J.; Mischenko, V.V.; Shleeva, M.O.; Young, D.I.; Young, M.; Kaprelyants, A.S.; Apt, A.S.; Mizrahi, V. Mutants of Mycobacterium tuberculosis lacking three of the five rpf-like genes are defective for growth in vivo and for resuscitation in vitro. Infect. Immun. 2005, 73, 3038–3043. [Google Scholar] [CrossRef]
- Russell-Goldman, E.; Xu, J.; Wang, X.; Chan, J.; Tufariello, J.M. A Mycobacterium tuberculosis Rpf double-knockout strain exhibits profound defects in reactivation from chronic tuberculosis and innate immunity phenotypes. Infect. Immun. 2008, 76, 4269–4281. [Google Scholar] [CrossRef]
- Chen, J.M.; Zhang, M.; Rybniker, J.; Boy-Rottger, S.; Dhar, N.; Pojer, F.; Cole, S.T. Mycobacterium tuberculosis EspB binds phospholipids and mediates EsxA-independent virulence. Mol. Microbiol. 2013, 89, 1154–1166. [Google Scholar] [CrossRef] [PubMed]
- Karbalaei Zadeh Babaki, M.; Soleimanpour, S.; Rezaee, S.A. Antigen 85 complex as a powerful Mycobacterium tuberculosis immunogene: Biology, immune-pathogenicity, applications in diagnosis, and vaccine design. Microb Pathog 2017, 112, 20–29. [Google Scholar] [CrossRef]
- Kremer, L.; Maughan, W.N.; Wilson, R.A.; Dover, L.G.; Besra, G.S. The M. tuberculosis antigen 85 complex and mycolyltransferase activity. Lett. Appl. Microbiol. 2002, 34, 233–237. [Google Scholar] [CrossRef] [PubMed]
- Puech, V.; Guilhot, C.; Perez, E.; Tropis, M.; Armitige, L.Y.; Gicquel, B.; Daffe, M. Evidence for a partial redundancy of the fibronectin-binding proteins for the transfer of mycoloyl residues onto the cell wall arabinogalactan termini of Mycobacterium tuberculosis. Mol. Microbiol. 2002, 44, 1109–1122. [Google Scholar] [CrossRef] [PubMed]
- Niederweis, M. Nutrient acquisition by mycobacteria. Microbiology 2008, 154, 679–692. [Google Scholar] [CrossRef]
- Stephan, J.; Bender, J.; Wolschendorf, F.; Hoffmann, C.; Roth, E.; Mailander, C.; Engelhardt, H.; Niederweis, M. The growth rate of Mycobacterium smegmatis depends on sufficient porin-mediated influx of nutrients. Mol. Microbiol. 2005, 58, 714–730. [Google Scholar] [CrossRef]
- Beltan, E.; Horgen, L.; Rastogi, N. Secretion of cytokines by human macrophages upon infection by pathogenic and non-pathogenic mycobacteria. Microb. Pathog. 2000, 28, 313–318. [Google Scholar] [CrossRef]
- Bohsali, A.; Abdalla, H.; Velmurugan, K.; Briken, V. The non-pathogenic mycobacteria M. smegmatis and M. fortuitum induce rapid host cell apoptosis via a caspase-3 and TNF dependent pathway. BMC Microbiol. 2010, 10, 237. [Google Scholar] [CrossRef]
- Feng, Z.; Bai, X.; Wang, T.; Garcia, C.; Bai, A.; Li, L.; Honda, J.R.; Nie, X.; Chan, E.D. Differential Responses by Human Macrophages to Infection With Mycobacterium tuberculosis and Non-tuberculous Mycobacteria. Front. Microbiol. 2020, 11, 116. [Google Scholar] [CrossRef]
- Van Snick, J. Interleukin-6: An overview. Annu Rev. Immunol 1990, 8, 253–278. [Google Scholar] [CrossRef]
- Nagabhushanam, V.; Solache, A.; Ting, L.M.; Escaron, C.J.; Zhang, J.Y.; Ernst, J.D. Innate inhibition of adaptive immunity: Mycobacterium tuberculosis-induced IL-6 inhibits macrophage responses to IFN-gamma. J. Immunol. 2003, 171, 4750–4757. [Google Scholar] [CrossRef] [PubMed]
- Daffé, M.; Marrakchi, H. Unraveling the Structure of the Mycobacterial Envelope. Microbiol. Spectr. 2019, 7, 7. [Google Scholar] [CrossRef]
- Dulberger, C.L.; Rubin, E.J.; Boutte, C.C. The mycobacterial cell envelope—a moving target. Nat. Rev. Microbiol. 2020, 18, 47–59. [Google Scholar] [CrossRef]
- Garcia-Vilanova, A.; Chan, J.; Torrelles, J.B. Underestimated Manipulative Roles of Mycobacterium tuberculosis Cell Envelope Glycolipids During Infection. Front. Immunol. 2019, 10, 2909. [Google Scholar] [CrossRef]
- Belisle, J.T.; Vissa, V.D.; Sievert, T.; Takayama, K.; Brennan, P.J.; Besra, G.S. Role of the major antigen of Mycobacterium tuberculosis in cell wall biogenesis. Science 1997, 276, 1420–1422. [Google Scholar] [CrossRef]
- Behr, M.A.; Divangahi, M. Freund’s adjuvant, NOD2 and mycobacteria. Curr. Opin. Microbiol. 2015, 23, 126–132. [Google Scholar] [CrossRef]
- Hunter, R.L.; Armitige, L.; Jagannath, C.; Actor, J.K. TB research at UT-Houston--a review of cord factor: New approaches to drugs, vaccines and the pathogenesis of tuberculosis. Tuberculosis (Edinb) 2009, 89, S18–S25. [Google Scholar] [CrossRef]
- Hunter, R.L.; Olsen, M.; Jagannath, C.; Actor, J.K. Trehalose 6,6′-dimycolate and lipid in the pathogenesis of caseating granulomas of tuberculosis in mice. Am. J. Pathol. 2006, 168, 1249–1261. [Google Scholar] [CrossRef]
- Hunter, R.L.; Olsen, M.R.; Jagannath, C.; Actor, J.K. Multiple roles of cord factor in the pathogenesis of primary, secondary, and cavitary tuberculosis, including a revised description of the pathology of secondary disease. Ann. Clin. Lab. Sci. 2006, 36, 371–386. [Google Scholar]
- Marrakchi, H.; Laneelle, M.A.; Daffe, M. Mycolic acids: Structures, biosynthesis, and beyond. Chem. Biol. 2014, 21, 67–85. [Google Scholar] [CrossRef]
- Indrigo, J.; Hunter, R.L.; Actor, J.K. Cord factor trehalose 6,6′-dimycolate (TDM) mediates trafficking events during mycobacterial infection of murine macrophages. Microbiology 2003, 149, 2049–2059. [Google Scholar] [CrossRef] [PubMed]
- Sharbati-Tehrani, S.; Stephan, J.; Holland, G.; Appel, B.; Niederweis, M.; Lewin, A. Porins limit the intracellular persistence of Mycobacterium smegmatis. Microbiology 2005, 151, 2403–2410. [Google Scholar] [CrossRef]
- Mailaender, C.; Reiling, N.; Engelhardt, H.; Bossmann, S.; Ehlers, S.; Niederweis, M. The MspA porin promotes growth and increases antibiotic susceptibility of both Mycobacterium bovis BCG and Mycobacterium tuberculosis. Microbiology 2004, 150, 853–864. [Google Scholar] [CrossRef]
- McDonough, J.A.; McCann, J.R.; Tekippe, E.M.; Silverman, J.S.; Rigel, N.W.; Braunstein, M. Identification of functional Tat signal sequences in Mycobacterium tuberculosis proteins. J. Bacteriol. 2008, 190, 6428–6438. [Google Scholar] [CrossRef]
- Zhang, L.; Hendrickson, R.C.; Meikle, V.; Lefkowitz, E.J.; Ioerger, T.R.; Niederweis, M. Comprehensive analysis of iron utilization by Mycobacterium tuberculosis. PLoS Pathog. 2020, 16, e1008337. [Google Scholar] [CrossRef]
- Pandey, R.; Rodriguez, G.M. IdeR is required for iron homeostasis and virulence in Mycobacterium tuberculosis. Mol. Microbiol. 2014, 91, 98–109. [Google Scholar] [CrossRef]
- Kurthkoti, K.; Amin, H.; Marakalala, M.J.; Ghanny, S.; Subbian, S.; Sakatos, A.; Livny, J.; Fortune, S.M.; Berney, M.; Rodriguez, G.M. The Capacity of Mycobacterium tuberculosis to Survive Iron Starvation Might Enable It to Persist in Iron-Deprived Microenvironments of Human Granulomas. mBio 2017, 8, e01092-17. [Google Scholar] [CrossRef]
- Siegrist, M.S.; Steigedal, M.; Ahmad, R.; Mehra, A.; Dragset, M.S.; Schuster, B.M.; Philips, J.A.; Carr, S.A.; Rubin, E.J. Mycobacterial Esx-3 requires multiple components for iron acquisition. mBio 2014, 5, e01073-14. [Google Scholar] [CrossRef] [PubMed]




| Accession, UniProt | Unique Peptides, Average | Protein | Gene | MTb Ortholog | Functional Category According to Mycobrowser |
|---|---|---|---|---|---|
| A0QY05 | 7 | SGNH_hydro domain-containing protein | MSMEG_3489 | Rv0518 | Cell wall and cell processes |
| A0QV35 | 3,7 | Putative D-alanyl-D-alanine carboxypeptidase Dacb2 (Penicillin-binding protein) | MSMEG_2433 | Rv2911 | Cell wall and cell processes |
| A0QRU0 | 3 | Uncharacterized protein | MSMEG_1237 | no | |
| A0R773 | 2,7 | Sugar ABC transporter substrate-binding protein | MSMEG_6804 | no | |
| A0QQ67 | 2,7 | GH16 domain-containing protein | MSMEG_0645 | no | |
| A0R639 | 2,3 | Septum_form domain-containing protein | MSMEG_6414 | Rv3835 | Cell wall and cell processes |
| A0R445 | 2,3 | Secreted protein | MSMEG_5700 | Rv0867c | Cell wall and cell processes |
| A0QQY6 | 2,3 | Uncharacterized protein | MSMEG_0921 | Rv0477 | Cell wall and cell processes |
| A0QP20 | 2,3 | MHB domain-containing protein | MSMEG_0243 | no | |
| A0QNK4 | 2,3 | Antigen MTB48 ESX-1 secreted protein B PE domain | MSMEG_0076 | Rv3881c | Cell wall and cell processes |
| Accession, UniProt | Unique Peptides, Average | Protein | Gene | MTb Ortholog | Functional Category According to Mycobrowser |
|---|---|---|---|---|---|
| I7G354 | 5,0 | Secreted antigen 85-C FbpC | MSMEG_3580 | Rv0129c | Lipid metabolism |
| A0QR29 | 3,3 | Porin MspA | MSMEG_0965 | no | |
| A0QRM0 | 3 | UPF0234 protein | MSMEG_1165 | Rv0566c | Conserved hypotheticals |
| A0R4A7 | 3 | DUF732 domain-containing protein | MSMEG_5766 | no | |
| A0QV51 | 2,7 | Methylmalonate-semialdehyde dehydrogenase | MSMEG_2449 | no | |
| A0R061 | 2,3 | HesB/YadR/YfhF family protein | MSMEG_4272 | Rv2204c | Conserved hypotheticals |
Publisher’s Note: MDPI stays neutral with regard to jurisdictional claims in published maps and institutional affiliations. |
© 2021 by the authors. Licensee MDPI, Basel, Switzerland. This article is an open access article distributed under the terms and conditions of the Creative Commons Attribution (CC BY) license (http://creativecommons.org/licenses/by/4.0/).
Share and Cite
Bychenko, O.; Skvortsova, Y.; Ziganshin, R.; Grigorov, A.; Aseev, L.; Ostrik, A.; Kaprelyants, A.; Salina, E.G.; Azhikina, T. Mycobacterium tuberculosis Small RNA MTS1338 Confers Pathogenic Properties to Non-Pathogenic Mycobacterium smegmatis. Microorganisms 2021, 9, 414. https://doi.org/10.3390/microorganisms9020414
Bychenko O, Skvortsova Y, Ziganshin R, Grigorov A, Aseev L, Ostrik A, Kaprelyants A, Salina EG, Azhikina T. Mycobacterium tuberculosis Small RNA MTS1338 Confers Pathogenic Properties to Non-Pathogenic Mycobacterium smegmatis. Microorganisms. 2021; 9(2):414. https://doi.org/10.3390/microorganisms9020414
Chicago/Turabian StyleBychenko, Oksana, Yulia Skvortsova, Rustam Ziganshin, Artem Grigorov, Leonid Aseev, Albina Ostrik, Arseny Kaprelyants, Elena G. Salina, and Tatyana Azhikina. 2021. "Mycobacterium tuberculosis Small RNA MTS1338 Confers Pathogenic Properties to Non-Pathogenic Mycobacterium smegmatis" Microorganisms 9, no. 2: 414. https://doi.org/10.3390/microorganisms9020414
APA StyleBychenko, O., Skvortsova, Y., Ziganshin, R., Grigorov, A., Aseev, L., Ostrik, A., Kaprelyants, A., Salina, E. G., & Azhikina, T. (2021). Mycobacterium tuberculosis Small RNA MTS1338 Confers Pathogenic Properties to Non-Pathogenic Mycobacterium smegmatis. Microorganisms, 9(2), 414. https://doi.org/10.3390/microorganisms9020414

