Succession Analysis of Gut Microbiota Structure of Participants from Long-Lived Families in Hechi, Guangxi, China
Abstract
:1. Introduction
2. Materials and Methods
2.1. Participant Recruitment and Study Groups
2.2. Sample Collection
2.3. Microbial DNA Extraction and 16S rRNA Gene-Based Illumina MiSeq Sequencing
2.4. Statistical Analysis
3. Results
3.1. Fecal Microbial Community α and β Diversity in Different Age Groups from the Long-Lived Families
3.2. Comparison of Gut Microbiota between the Long-Lived Elderly Group and Offspring Group in Long-Lived Families
3.3. Function Prediction of Gut Microbiota in Long-Lived Families
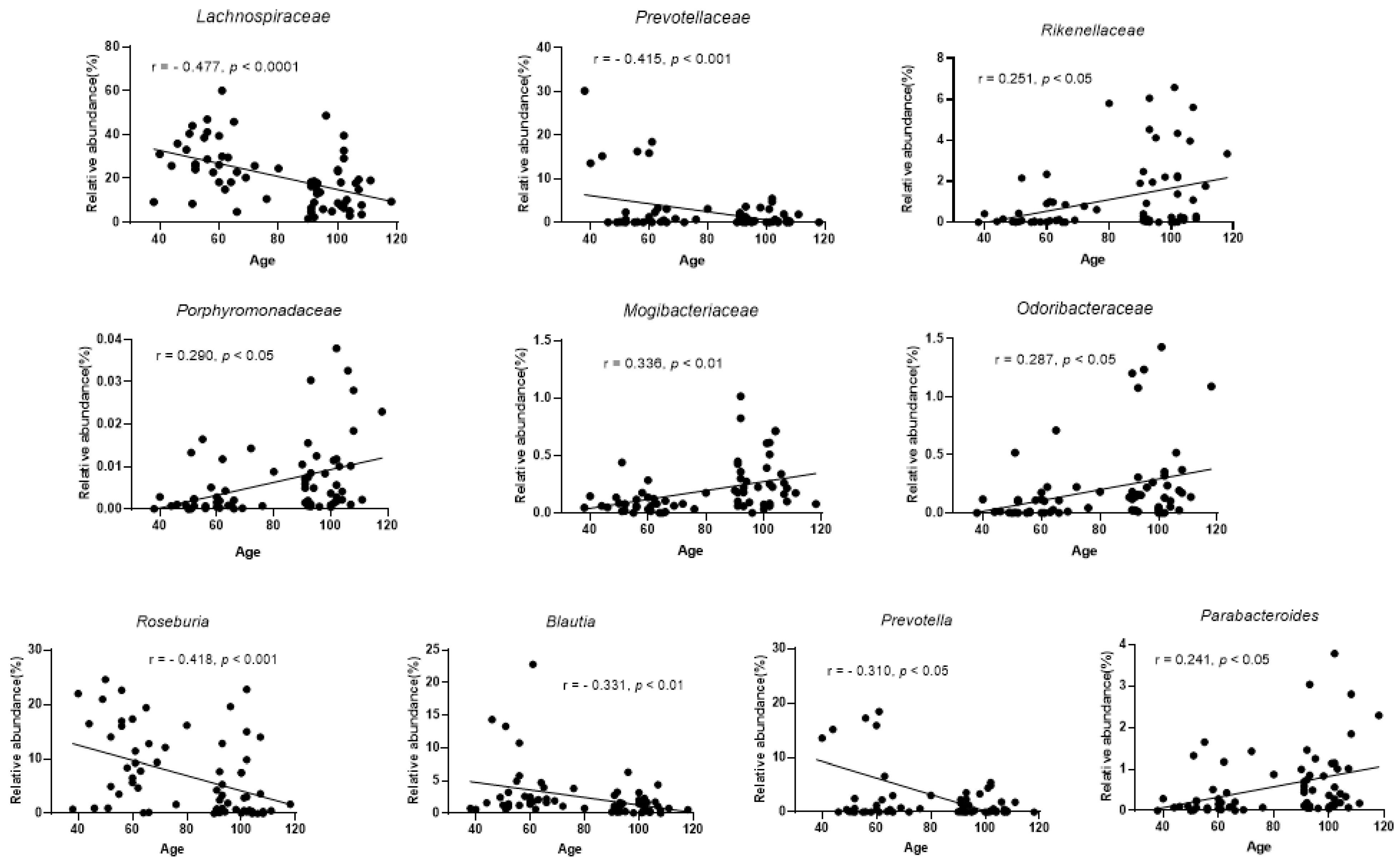
3.4. The Change in Fecal Bacteria Associated with Age in Long-Lived Families
3.5. Comparison of Gut Microbiota between Long-Lived Elderly’s Offspring Group and Matched Control Group
4. Discussion
5. Conclusions
Supplementary Materials
Author Contributions
Funding
Institutional Review Board Statement
Informed Consent Statement
Data Availability Statement
Acknowledgments
Conflicts of Interest
References
- Giuliani, C.; Garagnani, P.; Franceschi, C. Genetics of Human Longevity Within an Eco-Evolutionary Nature-Nurture Framework. Circ. Res. 2018, 123, 745–772. [Google Scholar] [CrossRef] [PubMed]
- Franceschi, C.; Ostan, R.; Santoro, A. Nutrition and Inflammation: Are Centenarians Similar to Individuals on Calorie-Restricted Diets? Annu. Rev. Nutr. 2018, 38, 329–356. [Google Scholar] [CrossRef] [PubMed] [Green Version]
- Clemente, J.C.; Ursell, L.K.; Parfrey, L.W.; Knight, R. The Impact of the Gut Microbiota on Human Health: An Integrative View. Cell 2012, 148, 1258–1270. [Google Scholar] [CrossRef] [Green Version]
- Lynch, S.V.; Pedersen, O. The Human Intestinal Microbiome in Health and Disease. N. Engl. J. Med. 2016, 375, 2369–2379. [Google Scholar] [CrossRef] [Green Version]
- Komanduri, M.; Gondalia, S.; Scholey, A.; Stough, C. The microbiome and cognitive aging: A review of mechanisms. Psychopharmacology 2019, 236, 1559–1571. [Google Scholar] [CrossRef]
- Biagi, E.; Franceschi, C.; Rampelli, S.; Severgnini, M.; Ostan, R.; Turroni, S.; Consolandi, C.; Quercia, S.; Scurti, M.; Monti, D.; et al. Gut Microbiota and Extreme Longevity. Curr. Biol. 2016, 26, 1480–1485. [Google Scholar] [CrossRef] [Green Version]
- Odamaki, T.; Kato, K.; Sugahara, H.; Hashikura, N.; Takahashi, S.; Xiao, J.-Z.; Abe, F.; Osawa, R. Age-related changes in gut microbiota composition from newborn to centenarian: A cross-sectional study. BMC Microbiol. 2016, 16, 90. [Google Scholar] [CrossRef] [PubMed] [Green Version]
- Han, B.; Sivaramakrishnan, P.; Lin, C.-C.J.; Neve, I.A.; He, J.; Tay, L.W.R.; Sowa, J.N.; Sizovs, A.; Du, G.; Wang, J.; et al. Microbial Genetic Composition Tunes Host Longevity. Cell 2017, 169, 1249–1262.e13. [Google Scholar] [CrossRef] [Green Version]
- Cătoi, A.F.; Corina, A.; Katsiki, N.; Vodnar, D.C.; Andreicuț, A.D.; Stoian, A.P.; Rizzo, M.; Pérez-Martínez, P. Gut microbiota and aging-A focus on centenarians. Biochim. Biophys. Acta Mol. Basis Dis. 2020, 1866, 165765. [Google Scholar] [CrossRef] [PubMed]
- Santoro, A.; Ostan, R.; Candela, M.; Biagi, E.; Brigidi, P.; Capri, M.; Franceschi, C. Gut microbiota changes in the extreme decades of human life: A focus on centenarians. Cell. Mol. Life Sci. 2018, 75, 129–148. [Google Scholar] [CrossRef] [Green Version]
- Finlay, B.B.; Pettersson, S.; Melby, M.; Bosch, T.C.G. The Microbiome Mediates Environmental Effects on Aging. BioEssays 2019, 41, e1800257. [Google Scholar] [CrossRef] [PubMed]
- Conway, J.; A Duggal, N. Ageing of the gut microbiome: Potential influences on immune senescence and inflammageing. Ageing Res. Rev. 2021, 68, 101323. [Google Scholar] [CrossRef]
- Vaiserman, A.M.; Koliada, A.; Marotta, F. Gut microbiota: A player in aging and a target for anti-aging intervention. Ageing Res. Rev. 2017, 35, 36–45. [Google Scholar] [CrossRef] [PubMed]
- Kong, F.; Deng, F.; Li, Y.; Zhao, J. Identification of gut microbiome signatures associated with longevity provides a promising modulation target for healthy aging. Gut Microbes 2019, 10, 210–215. [Google Scholar] [CrossRef]
- Wang, F.; Yu, T.; Huang, G.; Cai, D.; Liang, X.; Su, H.; Zhu, Z.; Li, D.; Yang, Y.; Shen, P.; et al. Gut Microbiota Community and Its Assembly Associated with Age and Diet in Chinese Centenarians. J. Microbiol. Biotechnol. 2015, 25, 1195–1204. [Google Scholar] [CrossRef]
- Kong, F.; Hua, Y.; Zeng, B.; Ning, R.; Li, Y.; Zhao, J. Gut microbiota signatures of longevity. Curr. Biol. 2016, 26, R832–R833. [Google Scholar] [CrossRef] [Green Version]
- Wu, L.; Zeng, T.; Zinellu, A.; Rubino, S.; Kelvin, D.J.; Carru, C.; Thaiss, C.A. A Cross-Sectional Study of Compositional and Functional Profiles of Gut Microbiota in Sardinian Centenarians. Msystems 2019, 4, e00325-19. [Google Scholar] [CrossRef] [PubMed] [Green Version]
- Kim, B.-S.; Choi, C.W.; Shin, H.; Jin, S.-P.; Bae, J.-S.; Han, M.; Seo, E.Y.; Chun, J.; Chung, J.H. Comparison of the Gut Microbiota of Centenarians in Longevity Villages of South Korea with Those of Other Age Groups. J. Microbiol. Biotechnol. 2019, 29, 429–440. [Google Scholar] [CrossRef]
- Tuikhar, N.; Keisam, S.; Labala, R.K.; Ramakrishnan, P.; Arunkumar, M.C.; Ahmed, G.; Biagi, E.; Jeyaram, K. Comparative analysis of the gut microbiota in centenarians and young adults shows a common signature across genotypically non-related populations. Mech. Ageing Dev. 2019, 179, 23–35. [Google Scholar] [CrossRef] [PubMed]
- Cai, D.; Zhao, S.; Li, D.; Chang, F.; Tian, X.; Huang, G.; Zhu, Z.; Liu, D.; Dou, X.; Li, S.; et al. Nutrient intake is as-sociated with longevity characterization by metabolites and element profiles of healthy centenarians. Nutrients 2016, 8, 564. [Google Scholar] [CrossRef] [Green Version]
- Turnbaugh, P.J.; Hamady, M.; Yatsunenko, T.; Cantarel, B.L.; Duncan, A.; Ley, R.E.; Sogin, M.L.; Jones, W.J.; Roe, B.A.; Affourtit, J.P.; et al. A core gut microbiome in obese and lean twins. Nature 2009, 457, 480–484. [Google Scholar] [CrossRef] [PubMed] [Green Version]
- Brown, C.T.; Davis-Richardson, A.G.; Giongo, A.; Gano, K.A.; Crabb, D.B.; Mukherjee, N.; Casella, G.; Drew, J.; Ilonen, J.; Knip, M.; et al. Gut Microbiome Metagenomics Analysis Suggests a Functional Model for the Development of Autoimmunity for Type 1 Diabetes. PLoS ONE 2011, 6, e25792. [Google Scholar] [CrossRef] [PubMed] [Green Version]
- Tavella, T.; Rampelli, S.; Guidarelli, G.; Bazzocchi, A.; Gasperini, C.; Pujos-Guillot, E.; Comte, B.; Barone, M.; Biagi, E.; Candela, M.; et al. Elevated gut microbiome abundance of Christensenellaceae, Porphyromonadaceae and Rikenellaceae is associated with reduced visceral adipose tissue and healthier metabolic profile in Italian elderly. Gut Microbes 2021, 13, 1880221. [Google Scholar] [CrossRef] [PubMed]
- A Tutelyan, V.; A Makhova, A.; Pogozheva, A.V.; Shikh, E.V.; Elizarova, E.V.; A Khotimchenko, S. Lipoic acid: Physiological role and prospects for clinical application. Vopr. Pitan. 2019, 88, 6–11. [Google Scholar] [PubMed]
- Madar, Z.; Stark, A.H.; Ilan, E.; Timar, B.; Borenshtein, D. Alpha-Lipoic Acid Inhibits Glycogen Synthesis and Modifies Glucose Metabolism and Signaling Pathways in Soleus Muscles from Healthy Rats. Prev. Nutr. Food Sci. 2002, 7, 113–118. [Google Scholar] [CrossRef]
- La Reau, A.J.; Suen, G. The Ruminococci: Key symbionts of the gut ecosystem. J. Microbiol. 2018, 56, 199–208. [Google Scholar] [CrossRef]
- Zhao, L.; Zhang, F.; Ding, X.; Wu, G.; Lam, Y.Y.; Wang, X.; Fu, H.; Xue, X.; Lu, C.; Ma, J.; et al. Gut bacteria selectively promoted by dietary fibers alleviate type 2 diabetes. Science 2018, 359, 1151–1156. [Google Scholar] [CrossRef] [Green Version]
- Zhang, Q.; Yu, H.; Xiao, X.; Hu, L.; Xin, F.; Yu, X. Inulin-type fructan improves diabetic phenotype and gut microbiota profiles in rats. PeerJ 2018, 6, e4446. [Google Scholar] [CrossRef]
- Vacca, M.; Celano, G.; Calabrese, F.M.; Portincasa, P.; Gobbetti, M.; De Angelis, M. The Controversial Role of Human Gut Lachnospiraceae. Microorganisms 2020, 8, 573. [Google Scholar] [CrossRef]
- Kameyama, K.; Itoii, K. Intestinal colonization by a Lachnospiraceae bacterium contributes to the development of diabetes in obese mice. Microbes Environ. 2014, 29, 427–430. [Google Scholar] [CrossRef] [Green Version]
- Wu, L.; Zeng, T.; Deligios, M.; Milanesi, L.; Langille, M.G.I.; Zinellu, A.; Rubino, S.; Carru, C.; Kelvin, D.J. Age-Related Variation of Bacterial and Fungal Communities in Different Body Habitats across the Young, Elderly, and Centenarians in Sardinia. Msphere 2020, 5, e00558-19. [Google Scholar] [CrossRef] [PubMed] [Green Version]
- Sato, Y.; Atarashi, K.; Plichta, D.R.; Arai, Y.; Sasajima, S.; Kearney, S.M.; Suda, W.; Takeshita, K.; Sasaki, T.; Okamoto, S.; et al. Novel bile acid biosynthetic pathways are enriched in the microbiome of cen-tenarians. Nature 2021, 599, 458–464. [Google Scholar] [CrossRef] [PubMed]
- Shin, N.-R.; Whon, T.W.; Bae, J.-W. Proteobacteria: Microbial signature of dysbiosis in gut microbiota. Trends Biotechnol. 2015, 33, 496–503. [Google Scholar] [CrossRef] [PubMed]
- Kaliannan, K.; Wang, B.; Li, X.-Y.; Kim, K.-J.; Kang, J.X. A host-microbiome interaction mediates the opposing effects of omega-6 and omega-3 fatty acids on metabolic endotoxemia. Sci. Rep. 2015, 5, 11276. [Google Scholar] [CrossRef] [Green Version]
- De La Fuente, M.; Franchi, L.; Araya, D.; Díaz-Jiménez, D.; Olivares, M.; Álvarez-Lobos, M.; Golenbock, D.; González, M.-J.; López-Kostner, F.; Quera, R.; et al. Escherichia coli isolates from inflammatory bowel diseases patients survive in macrophages and activate NLRP3 inflammasome. Int. J. Med. Microbiol. 2014, 304, 384–392. [Google Scholar] [CrossRef] [PubMed] [Green Version]
- Yu, X.; Wu, X.; Qiu, L.; Wang, D.; Gan, M.; Chen, X.; Wei, H.; Xu, F. Analysis of the intestinal microbial community structure of healthy and long-living elderly residents in Gaotian Village of Liuyang City. Appl. Microbiol. Biotechnol. 2015, 99, 9085–9095. [Google Scholar] [CrossRef]
- Tuomanen, E. Microbial inhabitants of humans—Their ecology and role in health and disease. Science 2005, 308, 635. [Google Scholar] [CrossRef]






| Parameters | Research Groups | Control Group | |||
|---|---|---|---|---|---|
| LCN Group | LEA Group | UEA Group | |||
| Centenarian (LC) (n = 20) | Nonagenarian (LN) (n = 18) | Elderly (LE) (n = 15) | Adult (LA) (n = 16) | Elderly and Adult (n = 29) | |
| Age | 104 ± 4 (100–118) | 93 ± 2 (90–98) | 66 ± 6 (60–80) | 50 ± 6 (38–58) | 58 ± 15 (28–82) | 
| Female/Male | 18/2 | 15/3 | 6/9 | 8/8 | 15/14 | 
| Height (cm) | 141.5 ± 6.2 | 145.4 ± 8.4 | 156.3 ± 10.3 | 157.9 ± 6.4 | 160.4 ± 7.4 | 
| Weight (kg) | 39.1 ± 4.9 | 39.7 ± 6.4 | 53.5 ± 14.0 | 58.1 ± 10.3 | 61.8 ± 7.6 | 
| Body mass index (BMI, kg/m2) | 19.4 ± 2.2 | 18.8 ± 2.4 | 21.1 ± 3.8 | 23.2 ± 3.2 | 22.7 ± 2.9 | 
| Taxa | Mean Relative Abundance (%) | Log2 Fold Change 1 | p-Value (BH Corrected) | |
|---|---|---|---|---|
| LCN | LEA | |||
| Firmicutes | ||||
| Christensenellaceae | 1.21 | 0.34 | 1.85 | 0.0001 | 
| Christensenellaceae_Christensenella | 0.02 | 0.00096 | 4.36 | 0.002 | 
| Lachnospiraceae | 14.66 | 28.46 | −0.96 | 0.0001 | 
| Lachnospiraceae_Roseburia | 4.04 | 10.42 | −1.37 | 0.0032 | 
| Lachnospiraceae_Blautia | 1.28 | 3.88 | −1.59 | 0.004 | 
| Lachnospiraceae_Epulopiscium | 0.065 | 0.00043 | 7.25 | 0.011 | 
| Ruminococcaceae_Oscillospira | 5.02 | 0.97 | 2.37 | 0.0002 | 
| Ruminococcaceae_Anaerotruncus | 0.034 | 0.01 | 1.74 | 0.008 | 
| Ruminococcaceae_Butyricicoccus | 0.19 | 0.55 | −1.53 | 0.002 | 
| Ruminococcaceae_Faecalibacterium | 4.64 | 11.98 | −1.37 | 0.051 | 
| Clostridiaceae_Sarcina | 0.038 | 0.00054 | 6.12 | 0.012 | 
| Mogibacteriaceae | 0.29 | 0.089 | 1.68 | 0.0005 | 
| Dehalobacteriaceae | 0.018 | 0.0041 | 2.12 | 0.009 | 
| Dehalobacteriaceae_Dehalobacterium | 0.018 | 0.004 | 2.16 | 0.011 | 
| Proteobacteria | ||||
| Desulfovibrionaceae | 0.44 | 0.23 | 0.92 | 0.017 | 
| Oxalobacteraceae | 0.012 | 0.0039 | 1.59 | 0.009 | 
| Oxalobacteraceae_Oxalobacter | 0.12 | 0.0038 | 1.64 | 0.011 | 
| Peptococcaceae | 0.019 | 0.0089 | 1.09 | 0.038 | 
| Bacteroidetes | ||||
| Odoribacteraceae | 0.29 | 0.097 | 1.57 | 0.010 | 
| Odoribacteraceae_Odoribacter | 0.16 | 0.032 | 2.27 | 0.022 | 
| Porphyromonadaceae | 0.90 | 0.33 | 1.43 | 0.009 | 
| Porphyromonadaceae_Porphyromonas | 0.87 | 0.0016 | 5.75 | 0.003 | 
| Porphyromonadaceae_Parabacteroides | 0.80 | 0.32 | 1.34 | 0.004 | 
| Rikenellaceae | 1.57 | 0.57 | 1.46 | 0.037 | 
| Verrucomicrobia | 3.7 | 0.85 | 2.12 | 0.050 | 
| Euryarchaeota | 0.012 | 0.00067 | 4.16 | 0.014 | 
| Methanobacteriaceae | 0.012 | 0.00076 | 4.00 | 0.009 | 
| Methanobrevibacter_Methanobrevibacter | 0.012 | 0.00081 | 3.92 | 0.011 | 
| Lentisphaerae | 0.0058 | 0.003 | 0.95 | 0.049 | 
| Synergistetes | 0.16 | 0.038 | 2.07 | 0.048 | 
| Publisher’s Note: MDPI stays neutral with regard to jurisdictional claims in published maps and institutional affiliations. | 
© 2021 by the authors. Licensee MDPI, Basel, Switzerland. This article is an open access article distributed under the terms and conditions of the Creative Commons Attribution (CC BY) license (https://creativecommons.org/licenses/by/4.0/).
Share and Cite
Ren, M.; Li, H.; Fu, Z.; Li, Q. Succession Analysis of Gut Microbiota Structure of Participants from Long-Lived Families in Hechi, Guangxi, China. Microorganisms 2021, 9, 2524. https://doi.org/10.3390/microorganisms9122524
Ren M, Li H, Fu Z, Li Q. Succession Analysis of Gut Microbiota Structure of Participants from Long-Lived Families in Hechi, Guangxi, China. Microorganisms. 2021; 9(12):2524. https://doi.org/10.3390/microorganisms9122524
Chicago/Turabian StyleRen, Minhong, He Li, Zhen Fu, and Quanyang Li. 2021. "Succession Analysis of Gut Microbiota Structure of Participants from Long-Lived Families in Hechi, Guangxi, China" Microorganisms 9, no. 12: 2524. https://doi.org/10.3390/microorganisms9122524
APA StyleRen, M., Li, H., Fu, Z., & Li, Q. (2021). Succession Analysis of Gut Microbiota Structure of Participants from Long-Lived Families in Hechi, Guangxi, China. Microorganisms, 9(12), 2524. https://doi.org/10.3390/microorganisms9122524
 
         
                                                

 
       