Methylation Motifs in Promoter Sequences May Contribute to the Maintenance of a Conserved m5C Methyltransferase in Helicobacter pylori
Abstract
1. Introduction
2. Materials and Methods
2.1. Bacterial Strains and Growth Conditions
2.2. Inactivation of Genes Encoding M.HpyGIII H. pylori G27 and M.HpyB128II in H. pylori B128
2.3. Construction of gfp Reporter Genes
2.4. gfp Reporter Gene Assays
2.5. Restriction Digestion Analyses
2.6. Bioinformatic Analysis
3. Results
3.1. Comparison of H. pylori 26695 Promoter Sequences Containing GCGC Motifs
3.2. Activities of Some GCGC-Containing Promoters Are Inhibited in H. pylori G27 Mutant Lacking M.HpyGIII
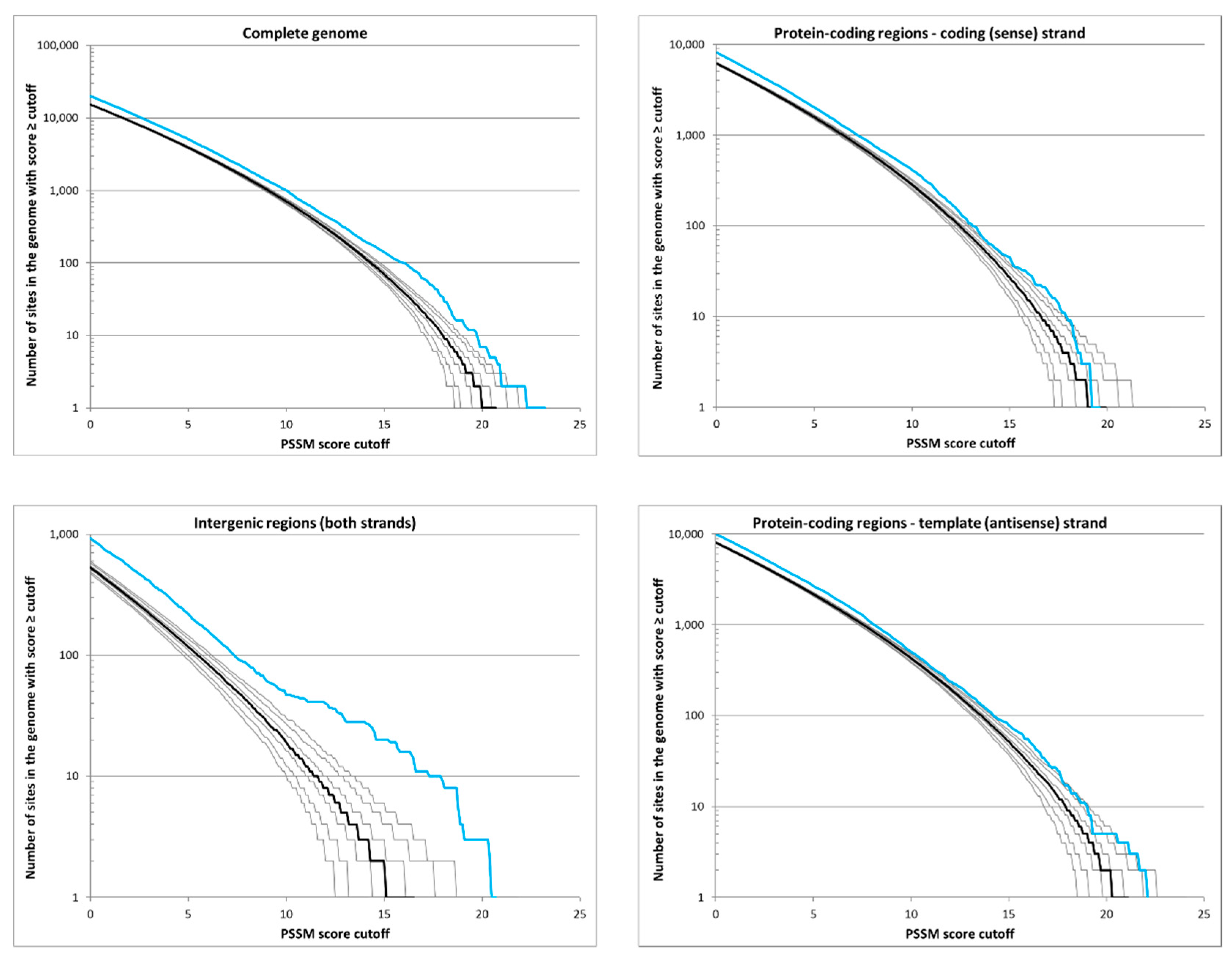
3.3. Potential GCGC-Containing Promoters within Protein-Coding Regions May Have Arisen by Chance in the Absence of Selection
4. Discussion
Supplementary Materials
Author Contributions
Funding
Institutional Review Board Statement
Informed Consent Statement
Data Availability Statement
Acknowledgments
Conflicts of Interest
Appendix A
References
- Parks, D.H.; Chuvochina, M.; Waite, D.W.; Rinke, C.; Skarshewski, A.; Chaumeil, P.A.; Hugenholtz, P. A standardized bacterial taxonomy based on genome phylogeny substantially revises the tree of life. Nat. Biotechnol. 2018, 36, 996–1004. [Google Scholar] [CrossRef] [PubMed]
- Amieva, M.R.; El-Omar, E.M. Host-bacterial interactions in Helicobacter pylori infection. Gastroenterology 2008, 134, 306–323. [Google Scholar] [CrossRef] [PubMed]
- Atherton, J.C.; Blaser, M.J. Coadaptation of Helicobacter pylori and humans: Ancient history, modern implications. J. Clinic. Investig. 2009, 119, 2475–2487. [Google Scholar] [CrossRef]
- Blaser, M.J. Helicobacter pylori: Microbiology of a ‘slow’ bacterial infection. Trends Microbiol. 1993, 1, 255–260. [Google Scholar] [CrossRef]
- Cover, T.L.; Blaser, M.J. Helicobacter pylori and gastroduodenal disease. Annu. Rev. Med. 1992, 43, 135–145. [Google Scholar] [CrossRef] [PubMed]
- Kuipers, E.J. Helicobacter pylori and the risk and management of associated diseases: Gastritis, ulcer disease, atrophic gastritis and gastric cancer. Aliment. Pharmacol. Therapeut. 1997, 11 (Suppl. S1), 71–88. [Google Scholar] [CrossRef]
- Eaton, K.A.; Brooks, C.L.; Morgan, D.R.; Krakowka, S. Essential role of urease in pathogenesis of gastritis induced by Helicobacter pylori in gnotobiotic piglets. Infect. Immun. 1991, 59, 2470–2475. [Google Scholar] [CrossRef] [PubMed]
- Eaton, K.A.; Morgan, D.R.; Krakowka, S. Motility as a factor in the colonisation of gnotobiotic piglets by Helicobacter pylori. J. Med. Microbiol. 1992, 37, 123–127. [Google Scholar] [CrossRef]
- Harris, A.G.; Wilson, J.E.; Danon, S.J.; Dixon, M.F.; Donegan, K.; Hazell, S.L. Catalase (KatA) and KatA-associated protein (KapA) are essential to persistent colonization in the Helicobacter pylori SS1 mouse model. Microbiology 2003, 149, 665–672. [Google Scholar] [CrossRef] [PubMed]
- Krebes, J.; Morgan, R.D.; Bunk, B.; Sproer, C.; Luong, K.; Parusel, R.; Anton, B.P.; Konig, C.; Josenhans, C.; Overmann, J.; et al. The complex methylome of the human gastric pathogen Helicobacter pylori. Nucleic Acids Res. 2014, 42, 2415–2432. [Google Scholar] [CrossRef]
- Roberts, R.J.; Vincze, T.; Posfai, J.; Macelis, D. REBASE—A database for DNA restriction and modification: Enzymes, genes and genomes. Nucleic Acids Res. 2015, 43, D298–D299. [Google Scholar] [CrossRef]
- Vasu, K.; Nagaraja, V. Diverse functions of restriction-modification systems in addition to cellular defense. Microbiol. Mol. Biol. Rev. 2013, 77, 53–72. [Google Scholar] [CrossRef]
- Loenen, W.A.; Dryden, D.T.; Raleigh, E.A.; Wilson, G.G.; Murray, N.E. Highlights of the DNA cutters: A short history of the restriction enzymes. Nucleic Acids Res. 2014, 42, 3–19. [Google Scholar] [CrossRef] [PubMed]
- Low, D.A.; Casadesus, J. Clocks and switches: Bacterial gene regulation by DNA adenine methylation. Curr. Opin. Microbiol. 2008, 11, 106–112. [Google Scholar] [CrossRef]
- Wion, D.; Casadesus, J. N6-methyl-adenine: An epigenetic signal for DNA-protein interactions. Nat. Rev. Microbiol. 2006, 4, 183–192. [Google Scholar] [CrossRef]
- Tsuda, M.; Karita, M.; Nakazawa, T. Genetic transformation in Helicobacter pylori. Microbiol. Immunol. 1993, 37, 85–89. [Google Scholar] [CrossRef]
- Cheng, X. DNA modification by methyltransferases. Curr. Opin. Struct. Biol. 1995, 5, 4–10. [Google Scholar] [CrossRef]
- Furuta, Y.; Namba-Fukuyo, H.; Shibata, T.F.; Nishiyama, T.; Shigenobu, S.; Suzuki, Y.; Sugano, S.; Hasebe, M.; Kobayashi, I. Methylome diversification through changes in DNA methyltransferase sequence specificity. PLoS Genet. 2014, 10, e1004272. [Google Scholar] [CrossRef] [PubMed]
- Lee, W.C.; Anton, B.P.; Wang, S.; Baybayan, P.; Singh, S.; Ashby, M.; Chua, E.G.; Tay, C.Y.; Thirriot, F.; Loke, M.F.; et al. The complete methylome of Helicobacter pylori UM032. BMC Genom. 2015, 16, 424. [Google Scholar] [CrossRef]
- Srikhanta, Y.N.; Gorrell, R.J.; Steen, J.A.; Gawthorne, J.A.; Kwok, T.; Grimmond, S.M.; Robins-Browne, R.M.; Jennings, M.P. Phasevarion mediated epigenetic gene regulation in Helicobacter pylori. PLoS ONE 2011, 6, e27569. [Google Scholar] [CrossRef]
- Vale, F.F.; Megraud, F.; Vitor, J.M. Geographic distribution of methyltransferases of Helicobacter pylori: Evidence of human host population isolation and migration. BMC Microbiol. 2009, 9, 193. [Google Scholar] [CrossRef]
- Estibariz, I.; Overmann, A.; Ailloud, F.; Krebes, J.; Josenhans, C.; Suerbaum, S. The core genome m5C methyltransferase JHP1050 (M.Hpy99III) plays an important role in orchestrating gene expression in Helicobacter pylori. Nucleic Acids Res. 2019, 47, 2336–2348. [Google Scholar] [CrossRef] [PubMed]
- Lin, L.F.; Posfai, J.; Roberts, R.J.; Kong, H. Comparative genomics of the restriction-modification systems in Helicobacter pylori. Proc. Natl. Acad. Sci. USA 2001, 98, 2740–2745. [Google Scholar] [CrossRef] [PubMed]
- Vitkute, J.; Stankevicius, K.; Tamulaitiene, G.; Maneliene, Z.; Timinskas, A.; Berg, D.E.; Janulaitis, A. Specificities of eleven different DNA methyltransferases of Helicobacter pylori strain 26695. J. Bacteriol. 2001, 183, 443–450. [Google Scholar] [CrossRef] [PubMed]
- Kumar, R.; Mukhopadhyay, A.K.; Ghosh, P.; Rao, D.N. Comparative transcriptomics of H. pylori strains AM5, SS1 and their hpyAVIBM deletion mutants: Possible roles of cytosine methylation. PLoS ONE 2012, 7, e42303. [Google Scholar] [CrossRef]
- Kahramanoglou, C.; Prieto, A.I.; Khedkar, S.; Haase, B.; Gupta, A.; Benes, V.; Fraser, G.M.; Luscombe, N.M.; Seshasayee, A.S. Genomics of DNA cytosine methylation in Escherichia coli reveals its role in stationary phase transcription. Nat. Commun. 2012, 3, 886. [Google Scholar] [CrossRef]
- Militello, K.T.; Simon, R.D.; Qureshi, M.; Maines, R.; VanHorne, M.L.; Hennick, S.M.; Jayakar, S.K.; Pounder, S. Conservation of Dcm-mediated cytosine DNA methylation in Escherichia coli. FEMS Microbiol. Lett. 2012, 328, 78–85. [Google Scholar] [CrossRef]
- Militello, K.T.; Mandarano, A.H.; Varechtchouk, O.; Simon, R.D. Cytosine DNA methylation influences drug resistance in Escherichia coli through increased sugE expression. FEMS Microbiol. Lett. 2014, 350, 100–106. [Google Scholar] [CrossRef]
- Chao, M.C.; Zhu, S.; Kimura, S.; Davis, B.M.; Schadt, E.E.; Fang, G.; Waldor, M.K. A cytosine methyltransferase modulates the cell envelope stress response in the cholera pathogen. PLoS Genet. 2015, 11, e1005666. [Google Scholar] [CrossRef]
- Mehta, N.S.; Benoit, S.L.; Mysore, J.; Maier, R.J. In vitro and in vivo characterization of alkyl hydroperoxide reductase mutant strains of Helicobacter hepaticus. Biochim. Biophys. Acta 2007, 1770, 257–265. [Google Scholar] [CrossRef]
- Sharma, C.M.; Hoffmann, S.; Darfeuille, F.; Reignier, J.; Findeiss, S.; Sittka, A.; Chabas, S.; Reiche, K.; Hackermuller, J.; Reinhardt, R.; et al. The primary transcriptome of the major human pathogen Helicobacter pylori. Nature 2010, 464, 250–255. [Google Scholar] [CrossRef]
- Heuermann, D.; Haas, R. A stable shuttle vector system for efficient genetic complementation of Helicobacter pylori strains by transformation and conjugation. Mol. Gen. Genet. 1998, 257, 519–528. [Google Scholar] [CrossRef]
- Mrázek, J. Analysis of distribution indicates diverse functions of simple sequence repeats in Mycoplasma genomes. Mol. Biol. Evol. 2006, 23, 1370–1385. [Google Scholar] [CrossRef] [PubMed][Green Version]
- Aoyama, T.; Takanami, M. Essential structure of E. coli promoter II. Effect of the sequences around the RNA start point on promoter function. Nucleic Acids Res. 1985, 13, 4085–4096. [Google Scholar] [CrossRef][Green Version]
- Jeong, W.; Kang, C. Start site selection at lacUV5 promoter affected by the sequence context around the initiation sites. Nucleic Acids Res. 1994, 22, 4667–4672. [Google Scholar] [CrossRef] [PubMed]
- Vvedenskaya, I.O.; Vahedian-Movahed, H.; Zhang, Y.; Taylor, D.M.; Ebright, R.H.; Nickels, B.E. Interactions between RNA polymerase and the core recognition element are a determinant of transcription start site selection. Proc. Natl. Acad. Sci. USA 2016, 113, E2899–E2905. [Google Scholar] [CrossRef]
- Walker, K.A.; Osuna, R. Factors affecting start site selection at the Escherichia coli fis promoter. J. Bacteriol. 2002, 184, 4783–4791. [Google Scholar] [CrossRef] [PubMed][Green Version]
- Winkelman, J.T.; Vvedenskaya, I.O.; Zhang, Y.; Zhang, Y.; Bird, J.G.; Taylor, D.M.; Gourse, R.L.; Ebright, R.H.; Nickels, B.E. Multiplexed protein-DNA cross-linking: Scrunching in transcription start site selection. Science 2016, 351, 1090–1093. [Google Scholar] [CrossRef] [PubMed]
- Crooks, G.E.; Hon, G.; Chandonia, J.M.; Brenner, S.E. WebLogo: A sequence logo generator. Genome Res. 2004, 14, 1188–1190. [Google Scholar] [CrossRef] [PubMed]
- Bono, A.C.; Hartman, C.E.; Solaimanpour, S.; Tong, H.; Porwollik, S.; McClelland, M.; Frye, J.G.; Mrázek, J.; Karls, A.C. Novel DNA binding and regulatory activities for σ54 (RpoN) in Salmonella enterica serovar Typhimurium 14028s. J. Bacteriol. 2017, 199, e00816-16. [Google Scholar] [CrossRef]
- Bonocora, R.P.; Smith, C.; Lapierre, P.; Wade, J.T. Genome-scale mapping of Escherichia coli σ54 reveals widespread, conserved intragenic binding. PLoS Genet. 2015, 11, e1005552. [Google Scholar] [CrossRef]
- Fitzgerald, D.M.; Smith, C.; Lapierre, P.; Wade, J.T. The evolutionary impact of intragenic FliA promoters in proteobacteria. Mol. Microbiol. 2018, 108, 361–378. [Google Scholar] [CrossRef] [PubMed]
- Ishihama, A.; Shimada, T.; Yamazaki, Y. Transcription profile of Escherichia coli: Genomic SELEX search for regulatory targets of transcription factors. Nucleic Acids Res. 2016, 44, 2058–2074. [Google Scholar] [CrossRef] [PubMed]
- Minch, K.J.; Rustad, T.R.; Peterson, E.J.; Winkler, J.; Reiss, D.J.; Ma, S.; Hickey, M.; Brabant, W.; Morrison, B.; Turkarslan, S.; et al. The DNA-binding network of Mycobacterium tuberculosis. Nat. Commun. 2015, 6, 5829. [Google Scholar] [CrossRef] [PubMed]
- Samuels, D.J.; Frye, J.G.; Porwollik, S.; McClelland, M.; Mrázek, J.; Hoover, T.R.; Karls, A.C. Use of a promiscuous, constitutively-active bacterial enhancer-binding protein to define the σ54 (RpoN) regulon of Salmonella Typhimurium LT2. BMC Genom. 2013, 14, 602. [Google Scholar] [CrossRef]
- Mrázek, J.; Karls, A.C. In silico simulations of occurrence of transcription factor binding sites in bacterial genomes. BMC Evol. Biol. 2019, 19, 67. [Google Scholar] [CrossRef] [PubMed]
- Stead, C.M.; Beasley, A.; Cotter, R.J.; Trent, M.S. Deciphering the unusual acylation pattern of Helicobacter pylori lipid A. J. Bacteriol. 2008, 190, 7012–7021. [Google Scholar] [CrossRef]
- Dantas Machado, A.C.; Zhou, T.; Rao, S.; Goel, P.; Rastogi, C.; Lazarovici, A.; Bussemaker, H.J.; Rohs, R. Evolving insights on how cytosine methylation affects protein-DNA binding. Brief. Funct. Genom. 2015, 14, 61–73. [Google Scholar] [CrossRef] [PubMed]
- Fisher, E.F.; Caruthers, M.H. Studies on gene control regions XII. The functional significance of a lac operator constitutive mutation. Nucleic Acids Res. 1979, 7, 401–416. [Google Scholar] [CrossRef][Green Version]
- Rohs, R.; Jin, X.; West, S.M.; Joshi, R.; Honig, B.; Mann, R.S. Origins of specificity in protein-DNA recognition. Annu. Rev. Biochem. 2010, 79, 233–269. [Google Scholar] [CrossRef]




| Gene | Promoter Type | Promoter Sequence 1 |
|---|---|---|
| gfp reporter genes expressed at moderate to high levels | ||
| icd | primary | ATTCAAAAAAAAGATTTTTAGGGGTTATATAGTATTTTTGCGCTAGTATAGTTACTCA |
| hpg27_846 | primary | TCCACTCAAACCCCTTATAACGCTTAAACCAAATCGCTTGCGCTATAATGAGCTGATA |
| jhp0160 | primary | TCATATTGATAAGCTTACTATATAAGATTAAGGGACTTTGCGCTTAAATACCCCTTAA |
| gfp reporter genes expressed at undetectable to low levels | ||
| cah | primary | ACCAATCTATTTTTTGTAACTGCGGTCATTGTTTATTGAGCGCTAGAATTAATTGCTT |
| hpg27_865 | antisense | GTGAGGTTGGTCATCATGTAACTTCTGTCTTGGTAATTAGCGCTAAAATCGCCATCTG |
| kgtP | antisense | TGAAAAACCCTAGCATAAAAACTAAAAAAGCTGAGATGAGCGCTAGAGTAGGGTCATT |
| Location/Orientation of Motifs | Coding Regions | Intergenic/Partial Overlap | ||
|---|---|---|---|---|
| Sense | Antisense | Sense | Antisense | |
| number motifs | 106 | 125 | 42 | 14 |
| number motifs associated with TSS | 18 | 25 | 26 | 1 |
Publisher’s Note: MDPI stays neutral with regard to jurisdictional claims in published maps and institutional affiliations. |
© 2021 by the authors. Licensee MDPI, Basel, Switzerland. This article is an open access article distributed under the terms and conditions of the Creative Commons Attribution (CC BY) license (https://creativecommons.org/licenses/by/4.0/).
Share and Cite
Meng, B.; Epp, N.; Wijaya, W.; Mrázek, J.; Hoover, T.R. Methylation Motifs in Promoter Sequences May Contribute to the Maintenance of a Conserved m5C Methyltransferase in Helicobacter pylori. Microorganisms 2021, 9, 2474. https://doi.org/10.3390/microorganisms9122474
Meng B, Epp N, Wijaya W, Mrázek J, Hoover TR. Methylation Motifs in Promoter Sequences May Contribute to the Maintenance of a Conserved m5C Methyltransferase in Helicobacter pylori. Microorganisms. 2021; 9(12):2474. https://doi.org/10.3390/microorganisms9122474
Chicago/Turabian StyleMeng, Bowen, Naomi Epp, Winsen Wijaya, Jan Mrázek, and Timothy R. Hoover. 2021. "Methylation Motifs in Promoter Sequences May Contribute to the Maintenance of a Conserved m5C Methyltransferase in Helicobacter pylori" Microorganisms 9, no. 12: 2474. https://doi.org/10.3390/microorganisms9122474
APA StyleMeng, B., Epp, N., Wijaya, W., Mrázek, J., & Hoover, T. R. (2021). Methylation Motifs in Promoter Sequences May Contribute to the Maintenance of a Conserved m5C Methyltransferase in Helicobacter pylori. Microorganisms, 9(12), 2474. https://doi.org/10.3390/microorganisms9122474
