Effects of Spartina alterniflora Invasion on Soil Microbial Community Structure and Ecological Functions
Abstract
1. Introduction
2. Materials and Methods
2.1. Sampling Sites Description
2.2. Experimental Design and Soil Sampling
2.3. Soil Properties Analysis
2.4. DNA Extraction and Polymerase Chain Reaction Amplifification
2.5. Information on Illumina HiSeq Data
2.6. Statistical Analysis
3. Results
3.1. Soil Properties between SC, TC, and MC
3.2. Microbial Communities Diversity between SC, TC, and MC
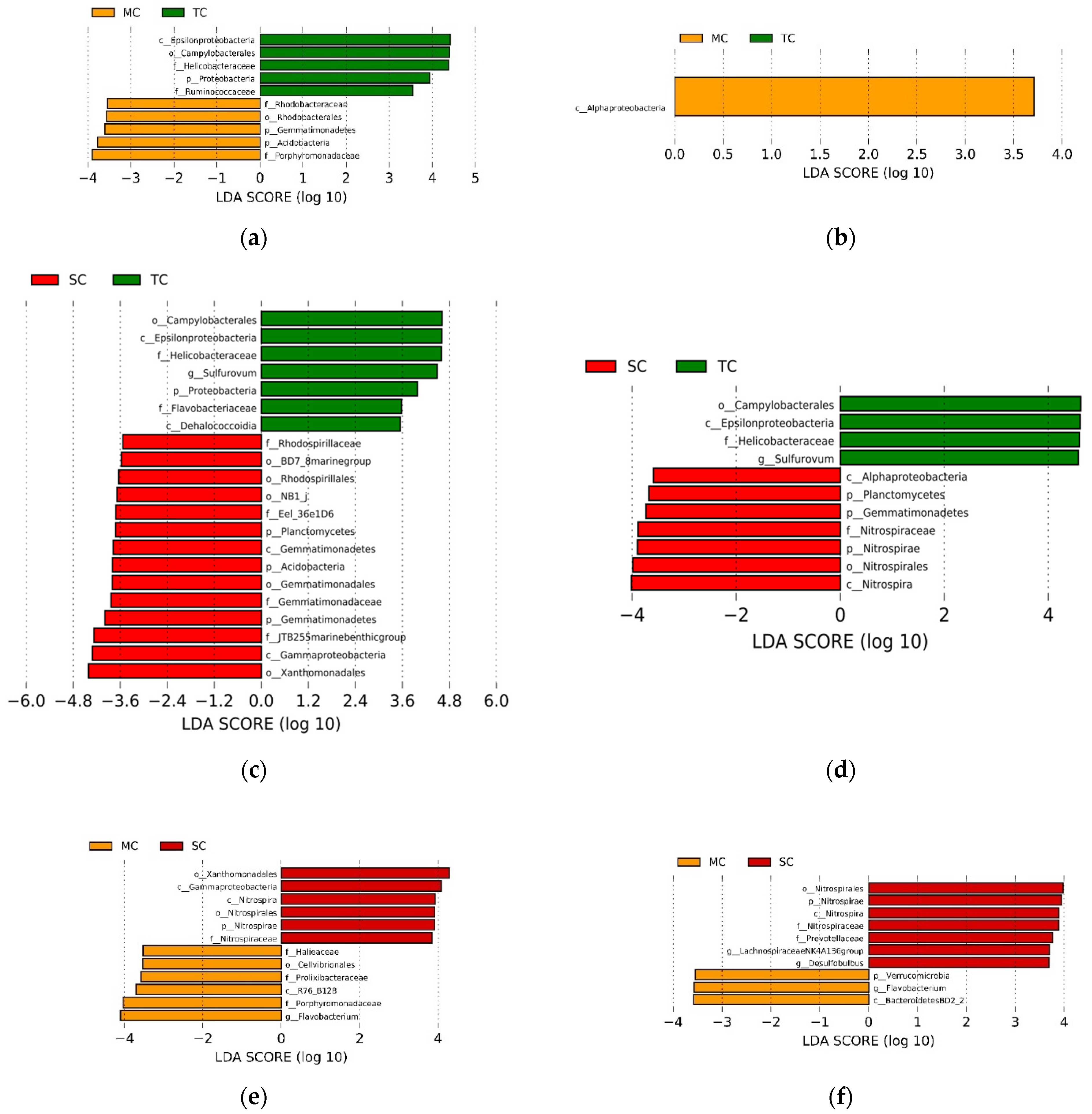
3.3. Bacterial Community Structure at the Taxonomic Level between SC, TC, and MC
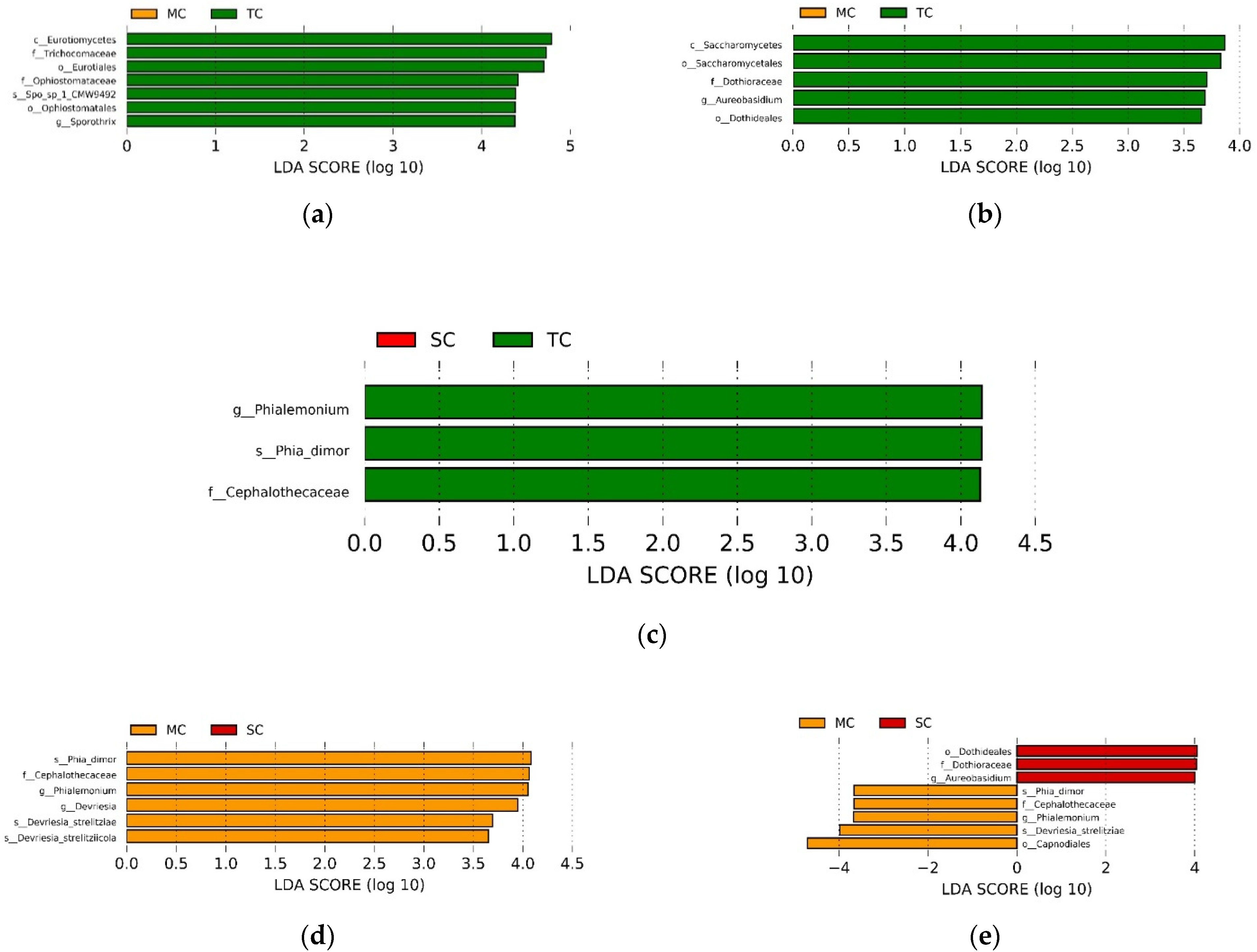
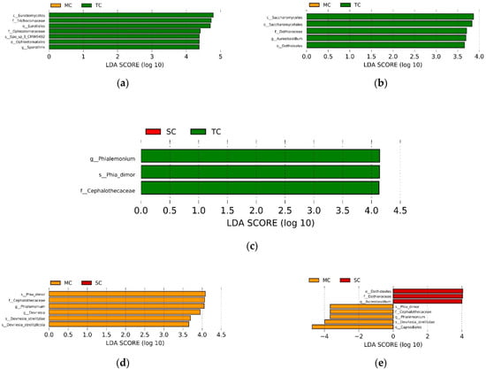
3.4. Fungal Community Structure at the Taxonomic Level between SC, TC and MC
3.5. Microbial Communities Structure at OTUs level
3.6. Potential Metabolic Pathways of Soil Bacteria
3.7. Trophic Modes and Functional Groups of Soil Fungi
4. Discussion
5. Conclusions
Supplementary Materials
Author Contributions
Funding
Data Availability Statement
Acknowledgments
Conflicts of Interest
References
- Alongi, D.M. Present state and future of the world’s mangrove forests. Environ. Conserv. 2002, 29, 331–349. [Google Scholar] [CrossRef]
- Donato, D.C.; Kauffman, J.B.; Murdiyarso, D.; Kurnianto, S.; Stidham, M.; Kanninen, M. Mangroves among the most carbon-rich forests in the tropics. Nat. Geosci. 2011, 4, 293–297. [Google Scholar] [CrossRef]
- Duke, N.C.; Meynecke, J.-O.; Dittmann, S.; Ellison, A.M.; Anger, K.; Berger, U.; Cannicci, S.; Diele, K.; Ewel, K.C.; Field, C.D.; et al. A World Without Mangroves? Science 2007, 317, 41–42. [Google Scholar] [CrossRef] [PubMed]
- Lewis, R.R.; Milbrandt, E.C.; Brown, B.; Krauss, K.W.; Rovai, A.S.; Beever, J.W.; Flynn, L.L. Stress in mangrove forests: Early detection and preemptive rehabilitation are essential for future successful worldwide mangrove forest management. Mar. Pollut. Bull. 2016, 109, 764–771. [Google Scholar] [CrossRef]
- Richards, D.; Friess, D.A. Rates and drivers of mangrove deforestation in Southeast Asia, 2000–2012. Proc. Natl. Acad. Sci. USA 2016, 113, 344–349. [Google Scholar] [CrossRef]
- Biswas, S.R.; Mallik, A.U.; Choudhury, J.K.; Nishat, A. A unified framework for the restoration of Southeast Asian mangroves—bridging ecology, society and economics. Wetl. Ecol. Manag. 2008, 17, 365–383. [Google Scholar] [CrossRef]
- Craig, M.E.; Pearson, S.M.; Fraterrigo, J.M. Grass invasion effects on forest soil carbon depend on landscape-level land use patterns. Ecology 2015, 96, 2265–2279. [Google Scholar] [CrossRef]
- Valiela, I.; Bowen, J.L.; York, J.K. Mangrove Forests: One of the World’s Threatened Major Tropical Environments. Bioscience 2001, 51, 807–815. [Google Scholar] [CrossRef]
- Biswas, S.R.; Biswas, P.L.; Limon, S.H.; Yan, E.-R.; Xu, M.-S.; Khan, S.I. Plant invasion in mangrove forests worldwide. Ecol. Manag. 2018, 429, 480–492. [Google Scholar] [CrossRef]
- Sun, H.; DeAngelis, D.; Cui, L.; Feng, W.; Wang, Y.; Zhang, J. Soil organic carbon stabilization mechanisms in a subtropical mangrove and salt marsh ecosystems. Sci. Total Environ. 2019, 673, 502–510. [Google Scholar] [CrossRef]
- Cui, X.; Song, W.; Feng, J.; Jia, D.; Guo, J.; Wang, Z.; Wu, H.; Qi, F.; Liang, J.; Lin, G. Increased nitrogen input enhances Kandelia obovata seedling growth in the presence of invasive Spartina alterniflora in subtropical regions of China. Biol. Lett. 2017, 13, 20160760. [Google Scholar] [CrossRef] [PubMed]
- Zhang, Y.; Huang, G.; Wang, W.; Chen, L.; Lin, G. Interactions between mangroves and exotic Spartina in an anthropogenically disturbed estuary in southern China. Ecology 2012, 93, 588–597. [Google Scholar] [CrossRef] [PubMed]
- Liao, C.; Luo, Y.; Jiang, L.; Zhou, X.; Wu, X.; Fang, C.; Chen, J.; Li, B. Invasion of Spartina alterniflora Enhanced Ecosystem Carbon and Nitrogen Stocks in the Yangtze Estuary, China. Ecosystems 2007, 10, 1351–1361. [Google Scholar] [CrossRef]
- Yang, W.; Zhao, H.; Leng, X.; Cheng, X.; An, S. Soil organic carbon and nitrogen dynamics following Spartina alterniflora invasion in a coastal wetland of eastern China. Catena 2017, 156, 281–289. [Google Scholar] [CrossRef]
- Zhang, D.; Hu, Y.; Liu, M. Introduction and Spread of an Exotic Plant, Spartina alterniflora, Along Coastal Marshes of China. Wetlands 2017, 37, 1181–1193. [Google Scholar] [CrossRef]
- Feng, J.; Zhou, J.; Wang, L.; Cui, X.; Ning, C.; Wu, H.; Zhu, X.; Lin, G. Effects of short-term invasion of Spartina alterniflora and the subsequent restoration of native mangroves on the soil organic carbon, nitrogen and phosphorus stock. Chemosphere 2017, 184, 774–783. [Google Scholar] [CrossRef]
- Wang, D.; Huang, W.; Liang, R.; Li, F. Effects of Spartina alterniflora Invasion on Soil Quality in Coastal Wetland of Beibu Gulf of South China. PLoS ONE 2016, 11, e0168951. [Google Scholar] [CrossRef]
- Gao, G.F.; Li, P.F.; Shen, Z.J.; Qin, Y.Y.; Zhang, X.M.; Ghoto, K. Exotic Spartina alterniflora invasion increases CH4 while reduces CO2 emissions from mangrove wetland soils in southeastern China. Sci. Rep. 2018, 8, 9243. [Google Scholar] [CrossRef]
- Su, Z.; Qiu, G.; Fan, H.; Li, M.; Fang, C. Changes in carbon storage and macrobenthic communities in a mangrove-seagrass ecosystem after the invasion of smooth cordgrass in southern China. Mar. Pollut. Bull. 2020, 152, 110887. [Google Scholar] [CrossRef]
- Zheng, J.; Li, J.; Lan, Y.; Liu, S.; Zhou, L.; Luo, Y.; Liu, J.; Zeyan, W. Effects of Spartina alterniflora invasion on Kandelia candel rhizospheric bacterial community as determined by high-throughput sequencing analysis. J. Soils Sediments 2018, 19, 332–344. [Google Scholar] [CrossRef]
- Gao, G.-F.; Li, P.-F.; Zhong, J.-X.; Shen, Z.-J.; Chen, J.; Li, Y.-T.; Isabwe, A.; Zhu, X.-Y.; Ding, Q.-S.; Zhang, S.; et al. Spartina alterniflora invasion alters soil bacterial communities and enhances soil N2O emissions by stimulating soil denitrification in mangrove wetland. Sci. Total. Environ. 2019, 653, 231–240. [Google Scholar] [CrossRef] [PubMed]
- Morris, S.J.; Blackwood, C.B. Chapter 10—The Ecology of the Soil Biota and their Function. Soil Microbiol. Ecol. Biochem. 2015, 273–309. [Google Scholar]
- Zhong, W.; Gu, T.; Wang, W.; Zhang, B.; Lin, X.; Huang, Q.; Shen, W. The effects of mineral fertilizer and organic manure on soil microbial community and diversity. Plant. Soil 2010, 326, 511–522. [Google Scholar] [CrossRef]
- Bachelot, B.; Uriarte, M.; Zimmerman, J.K.; Thompson, J.; Leff, J.W.; Asiaii, A.; Koshner, J.; McGuire, K. Long-lasting effects of land use history on soil fungal communities in second-growth tropical rain forests. Ecol. Appl. 2016, 26, 1881–1895. [Google Scholar] [CrossRef]
- Chapman, S.K.; Newman, G.S. Biodiversity at the plant–soil interface: Microbial abundance and community structure respond to litter mixing. Oecologia 2009, 162, 763–769. [Google Scholar] [CrossRef]
- Chu, P.K.; Wang, S.; Zeng, D.H. Effects of Single Chinese Fir and Mixed Leaf Litters on Soil Chemical, Microbial Properties and Soil Enzyme Activities. Plant. Soil 2006, 282, 379–386. [Google Scholar] [CrossRef]
- Leff, J.W.; Jones, S.E.; Prober, S.M.; Barberán, A.; Borer, E.T.; Firn, J.L.; Harpole, W.S.; Hobbie, S.E.; Hofmockel, K.S.; Knops, J.M.H.; et al. Consistent responses of soil microbial communities to elevated nutrient inputs in grasslands across the globe. Proc. Natl. Acad. Sci. USA 2015, 112, 10967–10972. [Google Scholar] [CrossRef]
- Feng, M.; Adams, J.M.; Fan, K.; Shi, Y.; Sun, R.; Wang, D.; Guo, X.; Chu, H. Long-term fertilization influences community assembly processes of soil diazotrophs. Soil Biol. Biochem. 2018, 126, 151–158. [Google Scholar] [CrossRef]
- Anderson, T.; Joergensen, R.G. Relationship between SIR and FE estimates of microbial biomass C in deciduous forest soils at different pH. Soil Biol. Biochem. 1997, 29, 1033–1042. [Google Scholar] [CrossRef]
- Rastogi, M.; Singh, S.; Pathak, D.S. Emission of carbon dioxide from soil. Curr. Sci. 2002, 82, 510–517. [Google Scholar]
- Yang, W.; Zhang, D.; Cai, X.; Xia, L.; Luo, Y.; Cheng, X.; An, S. Significant alterations in soil fungal communities along a chronosequence of Spartina alterniflora invasion in a Chinese Yellow Sea coastal wetland. Sci. Total Environ. 2019, 693, 133548. [Google Scholar] [CrossRef] [PubMed]
- Beest, M.T.; Stevens, N.; Han, O.; Van Der Putten, W.H. Plant–soil feedback induces shifts in biomass allocation in the invasive plant Chromolaena odorata. J. Ecol. 2009, 97, 1281–1290. [Google Scholar] [CrossRef]
- Jordan, N.; Larson, D.L.; Huerd, S.C. Soil modification by invasive plants: Effects on native and invasive species of mixed-grass prairies. Biol. Invasion 2007, 10, 177–190. [Google Scholar] [CrossRef]
- Levine, J.M.; Pachepsky, E.; Kendall, B.E.; Yelenik, S.G.; Lambers, J.H.R. Plant-soil feedbacks and invasive spread. Ecol. Lett. 2006, 9, 1005–1014. [Google Scholar] [CrossRef]
- Yang, W.; Yan, Y.; Jiang, F.; Leng, X.; Cheng, X.; An, S. Response of the soil microbial community composition and biomass to a short-term Spartina alterniflora invasion in a coastal wetland of eastern China. Plant. Soil 2016, 408, 443–456. [Google Scholar] [CrossRef]
- Yang, W.; Jeelani, N.; Zhu, Z. Alterations in soil bacterial community in relation to Spartina alterniflora Loisel. invasion chronosequence in the eastern Chinese coastal wetlands. Appl. Soil Ecol. 2018, 135, 38–43. [Google Scholar] [CrossRef]
- Xia, F.; Zeleke, J.; Sheng, Q.; Wu, J.H.; Quan, Z.X. Communities of ammonia oxidizers at different stages ofSpartina alterniflorainvasion in salt marshes of Yangtze River estuary. J. Microbiol. 2015, 53, 311–320. [Google Scholar] [CrossRef]
- Likens, G.E. Long-Term Studies in Ecology || Space-for-Time Substitution as an Alternative to Long-Term Studies. Ecology 1989, 110–135. [Google Scholar] [CrossRef]
- Chen, G.; Gao, M.; Pang, B.; Chen, S.; Ye, Y. Top-meter soil organic carbon stocks and sources in restored mangrove forests of different ages. Ecol. Manag. 2018, 422, 87–94. [Google Scholar] [CrossRef]
- Zhang, J.; Kobert, K.; Flouri, T.; Stamatakis, A. PEAR: A fast and accurate Illumina Paired-End reAd mergeR. Bioinformatics 2014, 30, 614–620. [Google Scholar] [CrossRef]
- Ahn, J.; Sinha, R.; Pei, Z.; Dominianni, C.; Wu, J.; Shi, J.; Goedert, J.J.; Hayes, R.B.; Yang, L. Human Gut Microbiome and Risk for Colorectal Cancer. J. Natl. Cancer Inst. 2013, 105, 1907–1911. [Google Scholar]
- Caporaso, J.G.; Kuczynski, J.; Stombaugh, J.; Bittinger, K.; Bushman, F.D.; Costello, E.K.; Fierer, N.; Peña, A.G.; Goodrich, J.K.; Gordon, J.I.; et al. QIIME allows analysis of high-throughput community sequencing data. Nat. Methods 2010, 7, 335–336. [Google Scholar] [CrossRef] [PubMed]
- Vasileiadis, S.; Puglisi, E.; Arena, M.; Cappa, F.; Cocconcelli, P.S.; Trevisan, M. Soil Bacterial Diversity Screening Using Single 16S rRNA Gene V Regions Coupled with Multi-Million Read Generating Sequencing Technologies. PLoS ONE 2012, 7, e42671. [Google Scholar] [CrossRef]
- Wang, Q.; Garrity, G.M.; Tiedje, J.M.; Cole, J.R. Naive Bayesian classifier for rapid assignment of rRNA sequences into the new bacterial taxonomy. Appl. Environ. Microbiol. 2007, 73, 5261–5267. [Google Scholar] [CrossRef]
- Heberle, H.; Meirelles, G.V.; da Silva, F.R.; Telles, G.P.; Minghim, R. InteractiVenn: A web-based tool for the analysis of sets through Venn diagrams. BMC Bioinform. 2015, 16, 169. [Google Scholar] [CrossRef]
- Segata, N.; Izard, J.; Waldron, L.; Gevers, D.; Miropolsky, L.; Garrett, W.S.; Huttenhower, C. Metagenomic biomarker discovery and explanation. Genome Biol. 2011, 12, R60. [Google Scholar] [CrossRef]
- Dixon, P. VEGAN, a package of R functions for community ecology. J. Veg. Sci. 2003, 14, 927–930. [Google Scholar] [CrossRef]
- Aßhauer, K.P.; Wemheuer, B.; Daniel, R.; Meinicke, P. Tax4Fun: Predicting functional profiles from metagenomic 16S rRNA data. Bioinformatics 2015, 17, 17. [Google Scholar] [CrossRef]
- Nguyen, N.H.; Song, Z.; Bates, S.T.; Branco, S.; Tedersoo, L.; Menke, J.; Schilling, J.S.; Kennedy, P.G. FUNGuild: An open annotation tool for parsing fungal community datasets by ecological guild. Fungal Ecol. 2016, 20, 241–248. [Google Scholar] [CrossRef]
- Zhang, Q.; Peng, J.; Chen, Q.; Yang, X.; Hong, Y.; Su, J. Abundance and composition of denitrifiers in response to Spartina alterniflora invasion in estuarine sediment. Can. J. Microbiol. 2013, 59, 825–836. [Google Scholar] [CrossRef]
- Janssen, P.H.; Starkenburg, S.R.; Chain, P.S.G.; Sayavedra-Soto, L.A.; Hauser, L.; Land, M.L.; Larimer, F.W.; Malfatti, S.A.; Klotz, M.G.; Bottomley, P.J.; et al. Identifying the Dominant Soil Bacterial Taxa in Libraries of 16S rRNA and 16S rRNA Genes. Appl. Environ. Microbiol. 2006, 72, 2050–2063. [Google Scholar] [CrossRef] [PubMed]
- Saddler, G.S.; Bradbury, J.F. Xanthomonadalesord. nov. Bergey’s Man. Syst. Archaea Bact. 2005, 63–122. [Google Scholar] [CrossRef]
- Riley, R.; Salamov, A.A.; Brown, D.W.; Nagy, L.G.; Floudas, D.; Held, B.W.; Levasseur, A.; Lombard, V.; Morin, E.; Otillar, R.; et al. Extensive sampling of basidiomycete genomes demonstrates inadequacy of the white-rot/brown-rot paradigm for wood decay fungi. Proc. Natl. Acad. Sci. USA 2014, 111, 9923–9928. [Google Scholar] [CrossRef] [PubMed]
- Egidi, E.; Delgado-Baquerizo, M.; Plett, J.M.; Wang, J.; Eldridge, D.J.; Bardgett, R.D.; Maestre, F.T.; Singh, B.K. A few Ascomycota taxa dominate soil fungal communities worldwide. Nat. Commun. 2019, 10, 2369. [Google Scholar] [CrossRef] [PubMed]
- Clemmensen, K.E.; Finlay, R.D.; Dahlberg, A.; Stenlid, J.; Wardle, D.A.; Lindahl, B.D. Carbon sequestration is related to mycorrhizal fungal community shifts during long-term succession in boreal forests. New Phytol. 2015, 205, 1525–1536. [Google Scholar] [CrossRef]
- Chen, Y.-L.; Xu, T.-L.; Veresoglou, S.D.; Hu, H.-W.; Hao, Z.-P.; Hu, Y.-J.; Liu, L.; Deng, Y.; Rillig, M.C.; Chen, B.-D. Plant diversity represents the prevalent determinant of soil fungal community structure across temperate grasslands in northern China. Soil Biol. Biochem. 2017, 110, 12–21. [Google Scholar] [CrossRef]
- Sterkenburg, E.; Bahr, A.; Brandström Durling, M.; Clemmensen, K.E.; Lindahl, B.D. Changes in fungal communities along a boreal forest soil fertility gradient. New Phytol. 2015, 207, 1145–1158. [Google Scholar] [CrossRef]
- Lopes-Bezerra, L.M.; Mora-Montes, H.M.; Zhang, Y.; Niño-Vega, G.A.; Rodrigues, A.M.; De Camargo, Z.P.; De Hoog, S. Sporotrichosis between 1898 and 2017: The evolution of knowledge on a changeable disease and on emerging etiological agents. Med. Mycol. 2018, 56, S126–S143. [Google Scholar] [CrossRef]
- Osherov, A.; Schwammenthal, E.; Kuperstein, R.; Strahilevitz, J.; Feinberg, M.S. Phialemonium curvatum Prosthetic Valve Endocarditis with an Unusual Echocardiographic Presentation. Echocardiography 2006, 23, 503–505. [Google Scholar] [CrossRef]
- Wang, X.; Zhang, Z.; Yu, Z.; Shen, G.; Cheng, H.; Tao, S. Composition and diversity of soil microbial communities in the alpine wetland and alpine forest ecosystems on the Tibetan Plateau. Sci. Total Environ. 2020, 747, 141358. [Google Scholar] [CrossRef]





| Soil Layer | Plant Community | Chao1 | Sobs | Shannon | Simpson (10−2) |
|---|---|---|---|---|---|
| 0–15 cm | SC | 2654.3 ± 173.5 a | 2224.8 ± 139.1 a | 9.5 ± 0.1 a | 99.6 ± 0.1 a |
| TC | 2722.9 ± 22.2 a | 2194.6 ± 11.8 a | 9.2 ± 0.2 a | 99.4 ± 0.2 a | |
| MC | 2673.7 ± 53.3 a | 2170.4 ± 76.9 a | 9.3 ± 0.2 a | 99.5 ± 0.2 a | |
| 15–30 cm | SC | 2796.5 ± 75.5 a | 2322.1 ± 68.4 a | 9.5 ± 0.1 a | 99.6 ± 0.1 a |
| TC | 2560.4 ± 51.0 b | 2074.6 ± 29.2 b | 8.9 ± 0.3 b | 99.1 ± 0.6 a | |
| MC | 2633.3 ± 126.6 ab | 2123.9 ± 93.9 ab | 9.1 ± 0.1 ab | 99.3 ± 0.3 a |
| Soil Layer | Plant Community | Chao1 | Sobs | Shannon | Simpson (10−2) |
|---|---|---|---|---|---|
| 0–15 cm | SC | 251.0 ± 62.1 | 242.6 ± 54.0 | 4.7 ± 1.5 | 79.0 ± 25.2 |
| TC | 306.2 ± 177.4 | 290.0 ± 178.1 | 5.8 ± 0.7 | 95.8 ± 2.0 | |
| MC | 461.9 ± 178.1 | 446.6 ± 168.7 | 6.2 ± 0.5 | 95.4 ± 2.1 | |
| 15–30 cm | SC | 257.8 ± 7.9 | 246.7 ± 14.0 | 5.1 ± 0.9 | 85.6 ± 12.7 |
| TC | 325.5 ± 120.3 | 317.6 ± 114.6 | 6.5 ± 0.3 | 96.5 ± 1.9 | |
| MC | 282.2 ± 118.7 | 264.3 ± 122.9 | 5.2 ± 2.5 | 89.0 ± 15.3 |
Publisher’s Note: MDPI stays neutral with regard to jurisdictional claims in published maps and institutional affiliations. |
© 2021 by the authors. Licensee MDPI, Basel, Switzerland. This article is an open access article distributed under the terms and conditions of the Creative Commons Attribution (CC BY) license (http://creativecommons.org/licenses/by/4.0/).
Share and Cite
Cao, M.; Cui, L.; Sun, H.; Zhang, X.; Zheng, X.; Jiang, J. Effects of Spartina alterniflora Invasion on Soil Microbial Community Structure and Ecological Functions. Microorganisms 2021, 9, 138. https://doi.org/10.3390/microorganisms9010138
Cao M, Cui L, Sun H, Zhang X, Zheng X, Jiang J. Effects of Spartina alterniflora Invasion on Soil Microbial Community Structure and Ecological Functions. Microorganisms. 2021; 9(1):138. https://doi.org/10.3390/microorganisms9010138
Chicago/Turabian StyleCao, Minmin, Lina Cui, Huimin Sun, Xiaomian Zhang, Xiang Zheng, and Jiang Jiang. 2021. "Effects of Spartina alterniflora Invasion on Soil Microbial Community Structure and Ecological Functions" Microorganisms 9, no. 1: 138. https://doi.org/10.3390/microorganisms9010138
APA StyleCao, M., Cui, L., Sun, H., Zhang, X., Zheng, X., & Jiang, J. (2021). Effects of Spartina alterniflora Invasion on Soil Microbial Community Structure and Ecological Functions. Microorganisms, 9(1), 138. https://doi.org/10.3390/microorganisms9010138
