Degradation of Hydrocarbons and Heavy Metal Reduction by Marine Bacteria in Highly Contaminated Sediments
Abstract
1. Introduction
2. Materials and Methods
2.1. Sediment Sampling
2.2. Bacterial Strain Isolation
- -
- The first appears as white/yellow with a smooth circular raised form.
- -
- The second appears with a white colour with smooth flat margins.
- -
- The third appears with a white colour, with rough, circular, irregular flat margins.
- -
- The fourth appears with a light yellow colour, with a circular convex form and entire margins.
- -
- The fifth appears with a cream colour, with a rough and elevated form, with regular margins.
2.3. Identification of Bacterial Isolates
2.4. Experimental Setup
2.5. Hydrocarbons and Heavy Metal Analyses
2.6. Statistical Analysis
3. Results
3.1. Identification of Bacterial Taxa
3.2. Hydrocarbon Removal
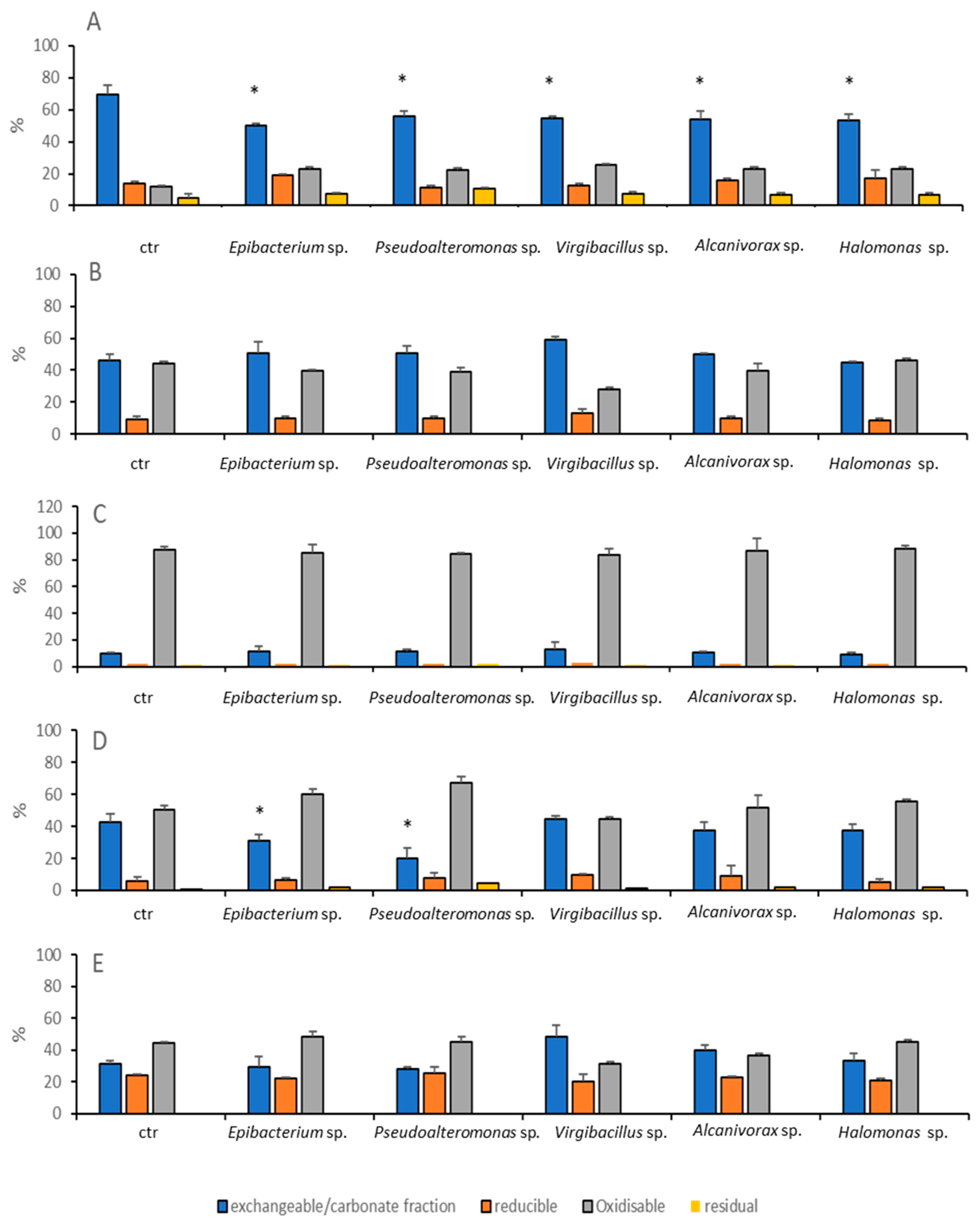
3.3. Heavy Metal Immobilization
4. Discussion
5. Conclusions
Author Contributions
Funding
Acknowledgments
Conflicts of Interest
References
- Wuana, R.A.; Okieimen, F.E. Heavy Metals in Contaminated Soil: A Review of Sources, Chemistry, Risks and Best Available Strategies for Remediation. ISRN Ecol. 2011, 2011, 1–20. [Google Scholar] [CrossRef]
- Salem, D.M.; Khaled, A.; El Nemr, A. Assessment of pesticides and polychlorinated biphenyls (PCBs) in sediments of the Egyptian Mediterranean Coast. Egypt. J. Aquat. Res. 2013, 39, 141–152. [Google Scholar] [CrossRef]
- Buah-Kwofie, A.; Humphries, M.S.; Pillay, L. Bioaccumulation and risk assessment of organochlorine pesticides in fish from a global biodiversity hotspot: iSimangaliso Wetland Park, South Africa. Sci. Total Environ. 2018, 621, 273–281. [Google Scholar] [CrossRef] [PubMed]
- Zheng, B.; Zhao, X.; Liu, L.; Li, Z.; Lei, K.; Zhang, L.; Qin, Y.; Gan, Z.; Gao, S.; Jiao, L. Effects of hydrodynamics on the distribution of trace persistent organic pollutants and macrobenthic communities in Bohai Bay. Chemosphere 2011, 84, 336–341. [Google Scholar] [CrossRef]
- Yedjou, C.G.; Tchounwou, P.B. In-vitro cytotoxic and genotoxic effects of arsenic trioxide on human leukemia (HL-60) cells using the MTT and alkaline single cell gel electrophoresis (Comet) assays. Mol. Cell. Biochem. 2007, 301, 123–130. [Google Scholar] [CrossRef]
- Tchounwou, P.B.; Ishaque, A.B.; Schneider, J. Cytotoxicity and transcriptional activation of stress genes in human liver carcinoma cells (HepG2) exposed to cadmium chloride. Mol. Cell. Biochem. 2001, 222, 21–28. [Google Scholar] [CrossRef]
- Patlolla, A.K.; Barnes, C.; Yedjou, C.; Velma, V.R.; Tchounwou, P.B. Oxidative Stress, DNA Damage, and Antioxidant Enzyme Activity Induced by Hexavalent Chromium in Sprague-Dawley Rats. Environ. Toxicol. 2009, 26, 146–152. [Google Scholar] [CrossRef]
- Yedjou, C.G.; Tchounwou, P.B. N-acetyl-L-cysteine affords protection against lead-induced cytotoxicity and oxidative stress in human liver carcinoma (HepG2) cells. Int. J. Environ. Res. Public Health 2007, 4, 132–137. [Google Scholar] [CrossRef]
- Sutton, D.J.; Tchounwou, P.B.; Ninashvili, N.; Shen, E. Mercury induces cytotoxicity and transcriptionally activates stress genesin human liver carcinoma (HepG 2) cells. Int. J. Mol. Sci. 2002, 3, 965–984. [Google Scholar] [CrossRef]
- Wang, S.; Shi, X. Molecular mechanisms of metal toxicity and carcinogenesis. Mol. Cell. Biochem. 2001, 222, 3–9. [Google Scholar] [CrossRef]
- Beyersmann, D.; Hartwig, A. Carcinogenic metal compounds: Recent insight into molecular and cellular mechanisms. Arch. Toxicol. 2008, 82, 493–512. [Google Scholar] [CrossRef] [PubMed]
- Kim, H.S.; Kim, Y.J.; Seo, Y.R. An Overview of Carcinogenic Heavy Metal: Molecular Toxicity Mechanism and Prevention. J. Cancer Prev. 2015, 20, 232–240. [Google Scholar] [CrossRef] [PubMed]
- Brockerhoff, E.G.; Barbaro, L.; Castagneyrol, B.; Forrester, D.I.; Gardiner, B.; González-Olabarria, J.R.; Lyver, P.O.B.; Meurisse, N.; Oxbrough, A.; Taki, H.; et al. Forest biodiversity, ecosystem functioning and the provision of ecosystem services. Biodivers. Conserv. 2017, 26, 3005–3035. [Google Scholar] [CrossRef]
- Crini, G.; Lichtfouse, E. Wastewater treatment: An overview. In Green Adsorbents for Pollutant Removal; Springer Nature: London, UK, 2018; Volume 18, pp. 1–22. [Google Scholar]
- Ahalya, N.; Ramachandra, T.V.; Kanamadi, R.D. Biosorption of Heavy Metals. Res. J. Chem. Environ. 2003, 7, 71–79. [Google Scholar]
- Junior Letti, L.A.; Destéfanis Vítola, F.M.; Vinícius de Melo Pereira, G.; Karp, S.G.; Pedroni Medeiros, A.B.; Ferreira da Costa, E.S.; Bissoqui, L.; Soccol, C.R. Solid-State Fermentation for the Production of Mushrooms. In Current Developments in Biotechnology and Bioengineering; Elsevier: Amsterdam, The Netherlands, 2018; pp. 285–318. ISBN 9780444639905. [Google Scholar]
- Megharaj, M.; Naidu, R. Soil and brownfield bioremediation. Microb. Biotechnol. 2017, 10, 1244–1249. [Google Scholar] [CrossRef]
- Kumar, V.; Kumar, M.; Prasad, R. Microbial Action on Hydrocarbons; Springer: Berlin, Germany, 2019; ISBN 9789811318405. [Google Scholar]
- Catania, V.; Santisi, S.; Signa, G.; Vizzini, S.; Mazzola, A.; Cappello, S.; Yakimov, M.M.; Quatrini, P. Intrinsic bioremediation potential of a chronically polluted marine coastal area. Mar. Pollut. Bull. 2015, 99, 138–149. [Google Scholar] [CrossRef]
- Romano, E.; Bergamin, L.; Ausili, A.; Pierfranceschi, G.; Maggi, C.; Sesta, G.; Gabellini, M. The impact of the Bagnoli industrial site (Naples, Italy) on sea-bottom environment. Chemical and textural features of sediments and the related response of benthic foraminifera. Mar. Pollut. Bull. 2009, 59, 245–256. [Google Scholar] [CrossRef] [PubMed]
- Bertocci, I.; Dell’Anno, A.; Musco, L.; Gambi, C.; Saggiomo, V.; Cannavacciuolo, M.; Lo Martire, M.; Passarelli, A.; Zazo, G.; Danovaro, R. Multiple human pressures in coastal habitats: Variation of meiofaunal assemblages associated with sewage discharge in a post-industrial area. Sci. Total Environ. 2019, 655, 1218–1231. [Google Scholar] [CrossRef]
- Anetor, J.I.; Wanibuchi, H.; Fukushima, S. Arsenic exposure and its health effects and risk of cancer in developing countries: Micronutrients as host defence. Asian Pac. J. Cancer Prev. 2007, 8, 13–23. [Google Scholar]
- Jaishankar, M.; Tseten, T.; Anbalagan, N.; Mathew, B.B.; Beeregowda, K.N. Toxicity, mechanism and health effects of some heavy metals. Interdiscip. Toxicol. 2014, 7, 60–72. [Google Scholar] [CrossRef]
- Reysenbach, A.L.; Pace, N.R. Reliable amplification of hyperthermophilic archaeal 16S rRNA genes by the polymerase chain reaction. In Archaea—A Laboratory Manual: Thermophiles; Cold Spring Harbor Laboratory Press: New York, NY, USA, 1994; pp. 101–105. [Google Scholar]
- Kumar, S.; Stecher, G.; Tamura, K. MEGA7: Molecular Evolutionary Genetics Analysis Version 7.0 for Bigger Datasets. Mol. Biol. Evol. 2016, 33, 1870–1874. [Google Scholar] [CrossRef] [PubMed]
- Dell’ Anno, F. Marine Biotechnologies for the Decontamination and Restoration of Degraded Marine Habitats. Ph.D. Thesis, The Open University, Milton Keynes, UK, 2020. [Google Scholar]
- EPA U.S. Method 6020B Inductively Coupled Plasma-Mass Spectrometry; EPA: Washington, DC, USA, 2014; pp. 1–33.
- EPA U.S. Method 8270E: Semivolatile Organic Compounds by GC/MS; EPA: Washington, DC, USA, 2014; pp. 1–64.
- Quevauviller, P. Operationally defined extraction procedures for soil and sediment analysis. II. Certified reference materials. Trends Anal. Chem. 1998, 17, 632–642. [Google Scholar] [CrossRef]
- Hammer, O.; Harper, D.A.; Ryan, P. PAST: Paleontological Statistics Software Package for Education and Data Analysis. Palaeontol. Electron. 2001, 4, 9. [Google Scholar]
- Neifar, M.; Chouchane, H.; Najjari, A.; El Hidri, D.; Mahjoubi, M.; Ghedira, K.; Naili, F.; Soufi, L.; Raddadi, N.; Sghaier, H.; et al. Genome analysis provides insights into crude oil degradation and biosurfactant production by extremely halotolerant Halomonas desertis G11 isolated from Chott El-Djerid salt-lake in Tunisian desert. Genomics 2019, 111, 1802–1814. [Google Scholar] [CrossRef]
- Kadri, T.; Magdouli, S.; Rouissi, T.; Brar, S.K. Ex-situ biodegradation of petroleum hydrocarbons using Alcanivorax borkumensis enzymes. Biochem. Eng. J. 2018, 132, 279–287. [Google Scholar] [CrossRef]
- Hedlund, B.P.; Staley, J.T. Isolation and characterization of Pseudoalteromonas strains with divergent polycyclic aromatic hydrocarbon catabolic properties. Environ. Microbiol. 2006, 8, 178–182. [Google Scholar] [CrossRef]
- Kothari, V. Presence of Catechol Metabolizing Enzymes in Virgibacillus Salarius. J. Environ. Conserv. Res. 2013, 1, 29. [Google Scholar] [CrossRef]
- Nuñal, S.N.; Santander-de Leon, S.M.S.; Hongyi, W.; Regal, A.A.; Yoshikawa, T.; Okunishi, S.; Maeda, H. Hydrocarbon degradation and bacterial community responses during remediation of sediment artificially contaminated with heavy oil. Biocontrol Sci. 2017, 22, 187–203. [Google Scholar] [CrossRef][Green Version]
- Potts, L.D.; Perez Calderon, L.J.; Gontikaki, E.; Keith, L.; Gubry-Rangin, C.; Anderson, J.A.; Witte, U. Effect of spatial origin and hydrocarbon composition on bacterial consortia community structure and hydrocarbon biodegradation rates. FEMS Microbiol. Ecol. 2018, 94, 1–12. [Google Scholar] [CrossRef]
- Zhao, B.; Wang, H.; Mao, X.; Li, R. Biodegradation of phenanthrene by a halophilic bacterial consortium under aerobic conditions. Curr. Microbiol. 2009, 58, 205–210. [Google Scholar] [CrossRef]
- Cheffi, M.; Hentati, D.; Chebbi, A.; Mhiri, N.; Sayadi, S.; Marqués, A.M.; Chamkha, M. Isolation and characterization of a newly naphthalene-degrading Halomonas pacifica, strain Cnaph3: Biodegradation and biosurfactant production studies. 3 Biotech 2020, 10, 1–15. [Google Scholar] [CrossRef]
- Waikhom, D.; Ngasotter, S.; Soniya Devi, L.; Devi, S.; Singh, A.S. Role of Microbes in Petroleum Hydrocarbon Degradation in the Aquatic Environment: A Review. Int. J. Curr. Microbiol. Appl. Sci. 2020, 9, 2990-2903. [Google Scholar] [CrossRef]
- Izzo, S.A.; Quintana, S.; Espinosa, M.; Babay, P.A.; Peressutti, S.R. First Characterization of PAH-degrading bacteria from Río de la Plata and high-resolution melting: An encouraging step toward bioremediation. Environ. Technol. 2019, 40, 1250–1261. [Google Scholar] [CrossRef] [PubMed]
- Liu, X.X.; Hu, X.; Cao, Y.; Pang, W.J.; Huang, J.Y.; Guo, P.; Huang, L. Biodegradation of Phenanthrene and Heavy Metal Removal by Acid-Tolerant Burkholderia fungorum FM-2. Front. Microbiol. 2019, 10, 1–13. [Google Scholar] [CrossRef] [PubMed]
- Iohara, K.; Iiyama, R.; Nakamura, K.; Silver, S.; Sakai, M.; Takeshita, M.; Furukawa, K. The mer operon of a mercury-resistant Pseudoalteromonas haloplanktis strain isolated from Minamata Bay, Japan. Appl. Microbiol. Biotechnol. 2001, 56, 736–741. [Google Scholar] [CrossRef] [PubMed]
- Hochstein, R.; Zhang, Q.; Sadowsky, M.J.; Forbes, V.E. The deposit feeder Capitella teleta has a unique and relatively complex microbiome likely supporting its ability to degrade pollutants. Sci. Total Environ. 2019, 670, 547–554. [Google Scholar] [CrossRef] [PubMed]
- Moreno-ulloa, A.; Diaz, V.S.; Tejeda-mora, J.A.; Contreras, M.I.M.; Castillo, F.D.; Guerrero, A.; Sanchez, R.G.; Duhalt, R.V.; Licea-navarro, A.; Licea-navarro, A. Metabolic and metagenomic profiling of hydrocarbon-degrading microorganisms obtained from the deep biosphere of the Gulf of México. bioRxiv 2019. [Google Scholar] [CrossRef]
- Wienhausen, G.; Noriega-Ortega, B.E.; Niggemann, J.; Dittmar, T.; Simon, M. The exometabolome of two model strains of the Roseobacter group: A marketplace of microbial metabolites. Front. Microbiol. 2017, 8, 1–15. [Google Scholar] [CrossRef]
- Buchan, A.; González, J.M.; Chua, M.J. Aerobic Hydrocarbon-Degrading Alphaproteobacteria: Rhodobacteraceae (Roseobacter). In Taxonomy, Genomics and Ecophysiology of Hydrocarbon-Degrading Microbes; Springer: Berlin, Germany, 2019; pp. 1–13. [Google Scholar] [CrossRef]
- Kumar, B.L.; Gopal, D.S. Effective role of indigenous microorganisms for sustainable environment. 3 Biotech 2015, 5, 867–876. [Google Scholar] [CrossRef]
- Horel, A.; Mortazavi, B.; Sobecky, P.A. Input of organic matter enhances degradation of weathered diesel fuel in sub-tropical sediments. Sci. Total Environ. 2015, 533, 82–90. [Google Scholar] [CrossRef]
- Pohlner, M.; Dlugosch, L.; Wemheuer, B.; Mills, H.; Engelen, B.; Reese, B.K. The majority of active Rhodobacteraceae in marine sediments belong to uncultured genera: A molecular approach to link their distribution to environmental conditions. Front. Microbiol. 2019, 10, 1–16. [Google Scholar] [CrossRef] [PubMed]
- Ganesh Kumar, A.; Vijayakumar, L.; Joshi, G.; Magesh Peter, D.; Dharani, G.; Kirubagaran, R. Biodegradation of complex hydrocarbons in spent engine oil by novel bacterial consortium isolated from deep sea sediment. Bioresour. Technol. 2014, 170, 556–564. [Google Scholar] [CrossRef] [PubMed]
- Besaury, L.; Marty, F.; Buquet, S.; Mesnage, V.; Muyzer, G.; Quillet, L. Culture-Dependent and Independent Studies of Microbial Diversity in Highly Copper-Contaminated Chilean Marine Sediments. Microb. Ecol. 2013, 65, 311–324. [Google Scholar] [CrossRef] [PubMed]
- Al-Kindi, S.; Abed, R.M.M. Effect of biostimulation using sewage sludge, soybean meal, and wheat straw on oil degradation and bacterial community composition in a contaminated desert soil. Front. Microbiol. 2016, 7, 1–14. [Google Scholar] [CrossRef]
- Cosa, S.; Mabinya, L.V.; Olaniran, A.O.; Okoh, O.O.; Bernard, K.; Deyzel, S.; Okoh, A.I. Bioflocculant production by Virgibacillus sp. rob isolated from the bottom sediment of algoa bay in the Eastern Cape, South Africa. Molecules 2011, 16, 2431–2442. [Google Scholar] [CrossRef]
- Ugbenyen, A.M.; Simonis, J.J.; Basson, A.K. Screening for Bioflocculant-Producing Bacteria from the Marine Environment of Sodwana Bay, South Africa. Ann. Sci. Technol. 2018, 3, 16–20. [Google Scholar] [CrossRef]
- Sungur, A.; Soylak, M.; Ozcan, H. Investigation of heavy metal mobility and availability by the BCR sequential extraction procedure: Relationship between soil properties and heavy metals availability. Chem. Speciat. Bioavailab. 2014, 26, 219–230. [Google Scholar] [CrossRef]
- Kramer, J.R.; Bell, R.A.; Smith, D.S. Determination of sulfide ligands and association with natural organic matter. Appl. Geochem. 2007, 22, 1606–1611. [Google Scholar] [CrossRef]
- Jiang, W.; Fan, W. Bioremediation of heavy metal-contaminated soils by sulfate-reducing bacteria. Ann. N. Y. Acad. Sci. 2008, 1140, 446–454. [Google Scholar] [CrossRef]
- Muyzer, G.; Stams, A.J.M. The ecology and biotechnology of sulphate-reducing bacteria. Nat. Rev. Microbiol. 2008, 6, 441–454. [Google Scholar] [CrossRef]
- Ayangbenro, A.S.; Babalola, O.O. A new strategy for heavy metal polluted environments: A review of microbial biosorbents. Int. J. Environ. Res. Public Health 2017, 14, 94. [Google Scholar] [CrossRef] [PubMed]
- Li, M.; Cheng, X.; Guo, H. Heavy metal removal by biomineralization of urease producing bacteria isolated from soil. Int. Biodeterior. Biodegrad. 2013, 76, 81–85. [Google Scholar] [CrossRef]
- Srinath, T.; Verma, T.; Ramteke, P.; Garg, S. Chromium (VI) biosorption and bioaccumulation by chromate resistant bacteria. Chemosphere 2002, 48, 427–435. [Google Scholar] [CrossRef]
- Lyer, A.; Mody, K.; Jha, B. Biosorption of heavy metals by a marine bacterium. Mar. Pollut. Bull. 2005, 50, 340–343. [Google Scholar]
- Beolchini, F.; Dell’ Anno, A.; De Propris, L.; Ubaldini, S.; Cerrone, F.; Danovaro, R. Auto- and heterotrophic acidophilic bacteria enhance the bioremediation efficiency of sediments contaminated by heavy metals. Chemosphere 2009, 74, 1321–1326. [Google Scholar] [CrossRef]
- Albanese, S.; Iavazzo, P.; Adamo, P.; Lima, A.; De Vivo, B. Assessment of the environmental conditions of the Sarno river basin (south Italy): A stream sediment approach. Environ. Geochem. Health 2013, 35, 283–297. [Google Scholar] [CrossRef]
- Gutierrez, T.; Shimmield, T.; Haidon, C.; Black, K.; Green, D.H. Emulsifying and metal ion binding activity of a glycoprotein exopolymer produced by Pseudoalteromonas sp. strain TG12. Appl. Environ. Microbiol. 2008, 74, 4867–4876. [Google Scholar] [CrossRef]
- Fonti, V.; Dell’Anno, A.; Beolchini, F. Biogeochemical Interactions in the Application of Biotechnological Strategies to Marine Sediments Contaminated with Metals. Nova Biotechnol. Chim. 2015, 14, 12–31. [Google Scholar] [CrossRef][Green Version]
- Barton, L.L.; Fauque, G.D. Chapter 2 Biochemistry, Physiology and Biotechnology of Sulfate-Reducing Bacteria, 1st ed.; Elsevier Inc.: Amsterdam, The Netherlands, 2009; Volume 68, ISBN 9780123748034. [Google Scholar]
- Li, X.; Wu, Y.; Zhang, C.; Liu, Y.; Zeng, G.; Tang, X.; Dai, L.; Lan, S. Immobilizing of heavy metals in sediments contaminated by nonferrous metals smelting plant sewage with sulfate reducing bacteria and micro zero valent iron. Chem. Eng. J. 2016, 306, 393–400. [Google Scholar] [CrossRef]
- Patowary, K.; Patowary, R.; Kalita, M.C.; Deka, S. Development of an efficient bacterial consortium for the potential remediation of hydrocarbons from contaminated sites. Front. Microbiol. 2016, 7, 1–14. [Google Scholar] [CrossRef]






| Consortia | Culturable Strains |
|---|---|
| Consortium 1 | Halomonas sp. SZN1 Alcanivorax sp. SZN2 |
| Consortium 2 | Pseudoalteromonas sp. SZN3 Alcanivorax sp. SZN2 |
| Consortium 3 | Halomonas sp. SZN1 Pseudoalteromonas sp. SZN3 Virgibacillus sp. SZN7 |
| Consortium 4 | Epibacterium sp. SZN4 Halomonas sp. SZN1 |
| PAH Congeners | Mean | SD |
|---|---|---|
| Benzo anthracene | 62.5 | 11.7 |
| Benzo(a)pyrene | 105.3 | 19.4 |
| Benzo(b)fluoranthene | 54.3 | 5.1 |
| Benzo(g,h,i)perylene | 57.5 | 10.4 |
| Benzo(k)fluoranthene | 75.8 | 7.6 |
| Chrysene | 132.5 | 12.6 |
| Dibenzo anthracene | 11.9 | 16.0 |
| Indeno pyrene | 48.8 | 13.8 |
| Pyrene | 210 | 21.6 |
© 2020 by the authors. Licensee MDPI, Basel, Switzerland. This article is an open access article distributed under the terms and conditions of the Creative Commons Attribution (CC BY) license (http://creativecommons.org/licenses/by/4.0/).
Share and Cite
Dell’Anno, F.; Brunet, C.; van Zyl, L.J.; Trindade, M.; Golyshin, P.N.; Dell’Anno, A.; Ianora, A.; Sansone, C. Degradation of Hydrocarbons and Heavy Metal Reduction by Marine Bacteria in Highly Contaminated Sediments. Microorganisms 2020, 8, 1402. https://doi.org/10.3390/microorganisms8091402
Dell’Anno F, Brunet C, van Zyl LJ, Trindade M, Golyshin PN, Dell’Anno A, Ianora A, Sansone C. Degradation of Hydrocarbons and Heavy Metal Reduction by Marine Bacteria in Highly Contaminated Sediments. Microorganisms. 2020; 8(9):1402. https://doi.org/10.3390/microorganisms8091402
Chicago/Turabian StyleDell’Anno, Filippo, Christophe Brunet, Leonardo Joaquim van Zyl, Marla Trindade, Peter N. Golyshin, Antonio Dell’Anno, Adrianna Ianora, and Clementina Sansone. 2020. "Degradation of Hydrocarbons and Heavy Metal Reduction by Marine Bacteria in Highly Contaminated Sediments" Microorganisms 8, no. 9: 1402. https://doi.org/10.3390/microorganisms8091402
APA StyleDell’Anno, F., Brunet, C., van Zyl, L. J., Trindade, M., Golyshin, P. N., Dell’Anno, A., Ianora, A., & Sansone, C. (2020). Degradation of Hydrocarbons and Heavy Metal Reduction by Marine Bacteria in Highly Contaminated Sediments. Microorganisms, 8(9), 1402. https://doi.org/10.3390/microorganisms8091402

