Effect of Sub-Stoichiometric Fe(III) Amounts on LCFA Degradation by Methanogenic Communities
Abstract
1. Introduction
2. Materials and Methods
2.1. Oleate Biodegradation with Sub-Stoichiometric Fe(III) Concentration by Anaerobic Sludge
2.2. Oleate-Degrading Fe(III)-Reducing Enrichment Cultures
2.3. Testing Oleate Degradation by Geobacter Species
2.4. Analytical Methods
2.5. Microbial Composition Analysis of Oleate-Degrading Fe(III)-Reducing Enrichment Cultures
2.6. Identification of Fatty Acid Degrading Proteins in Geobacter anodireducens and Syntrophomonas zehnderi
3. Results
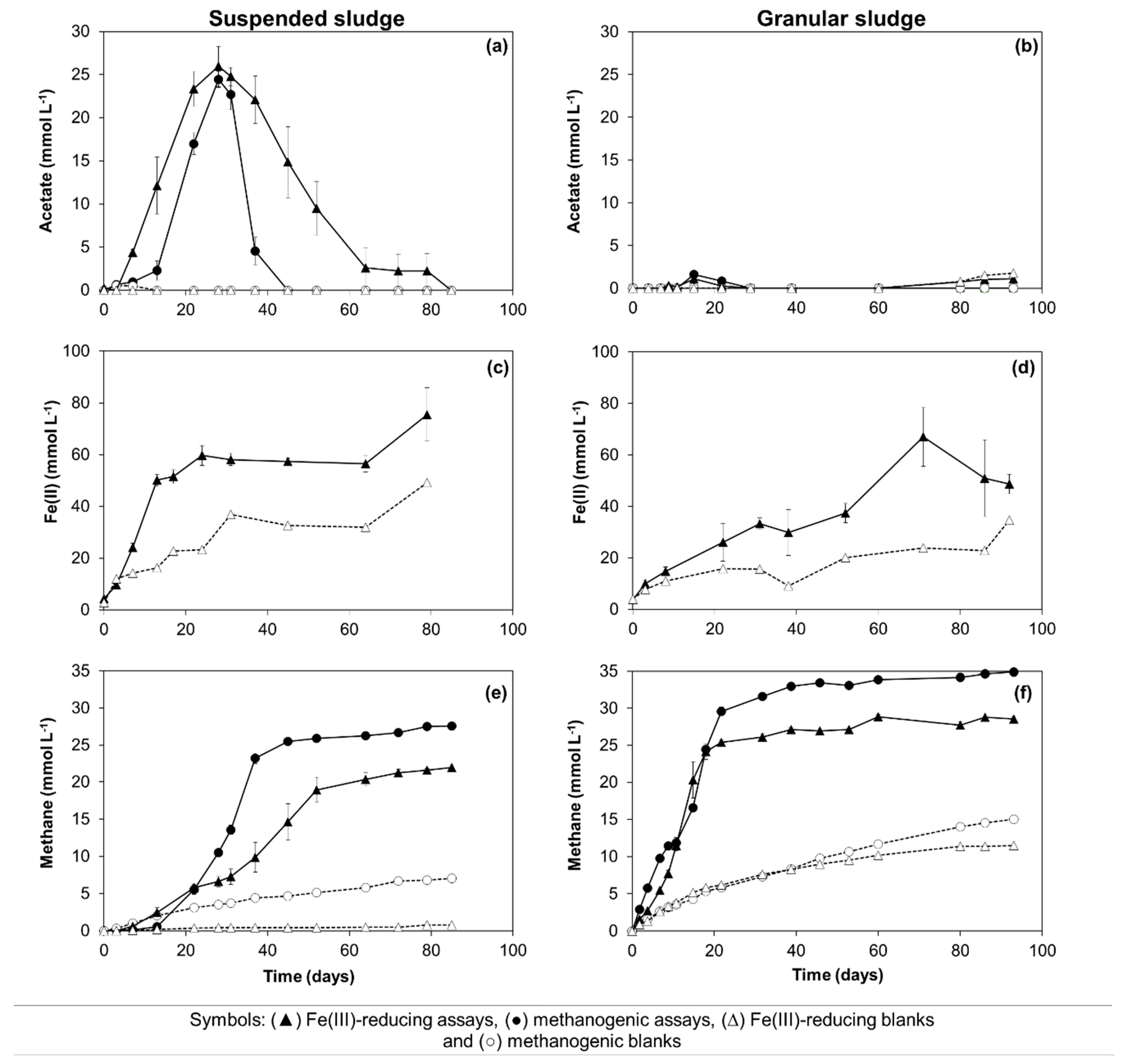
3.1. Oleate Degradation with Sub-Stoichiometric Fe(III) Concentration by Anaerobic Sludge
3.2. Oleate-Degrading Fe(III)-Reducing Enrichment Cultures
3.3. Testing Oleate Biodegradability by Geobacter Species
3.4. Identification of Fatty Acid Degrading Proteins in Geobacter anodireducens and Syntrophomonas zehnderi
4. Discussion
5. Conclusions
Supplementary Materials
Author Contributions
Funding
Conflicts of Interest
References
- Alves, M.M.; Pereira, M.A.; Sousa, D.Z.; Cavaleiro, A.J.; Picavet, M.; Smidt, H.; Stams, A.J.M. Waste lipids to energy: How to optimize methane production from long-chain fatty acids (LCFA). Microb. Biotechnol. 2009, 2, 538–550. [Google Scholar] [CrossRef] [PubMed]
- Chipasa, K.B.; Mȩdrzycka, K. Behavior of lipids in biological wastewater treatment processes. J. Ind. Microbiol. Biotechnol. 2006, 33, 635–645. [Google Scholar] [CrossRef] [PubMed]
- McInerney, M.J.; Struchtemeyer, C.G.; Sieber, J.; Mouttaki, H.; Stams, A.J.M.; Schink, B.; Rohlin, L.; Gunsalus, R.P. Physiology, ecology, phylogeny, and genomics of microorganisms capable of syntrophic metabolism. Ann. N. Y. Acad. Sci. 2008, 1125, 58–72. [Google Scholar] [CrossRef]
- Sieber, J.R.; McInerney, M.J.; Gunsalus, R.P. Genomic insights into syntrophy: The paradigm for anaerobic metabolic cooperation. Annu. Rev. Microbiol. 2012, 66, 429–452. [Google Scholar] [CrossRef] [PubMed]
- Duarte, M.S.; Silva, S.A.; Salvador, A.F.; Cavaleiro, A.J.; Stams, A.J.M.; Alves, M.M.; Pereira, M.A. Insight into the role of facultative bacteria stimulated by microaeration in continuous bioreactors converting LCFA to methane. Environ. Sci. Technol. 2018, 52, 6497–6507. [Google Scholar] [CrossRef] [PubMed]
- Palatsi, J.; Illa, J.; Prenafeta-Boldú, F.X.; Laureni, M.; Fernandez, B.; Angelidaki, I.; Flotats, X. Long-chain fatty acids inhibition and adaptation process in anaerobic thermophilic digestion: Batch tests, microbial community structure and mathematical modelling. Bioresour. Technol. 2010, 101, 2243–2251. [Google Scholar] [CrossRef]
- Sousa, D.Z.; Salvador, A.F.; Ramos, J.; Guedes, A.P.; Barbosa, S.; Stams, A.J.M.; Alves, M.M.; Pereira, M.A. Activity and viability of methanogens in anaerobic digestion of unsaturated and saturated long-chain fatty acids. Appl. Environ. Microbiol. 2013, 79, 4239–4245. [Google Scholar] [CrossRef]
- Chen, J.L.; Ortiz, R.; Steele, T.W.J.; Stuckey, D.C. Toxicants inhibiting anaerobic digestion: A review. Biotechnol. Adv. 2014, 32, 1523–1534. [Google Scholar] [CrossRef]
- Silva, S.A.; Salvador, A.F.; Cavaleiro, A.J.; Pereira, M.A.; Stams, A.J.M.; Alves, M.M.; Sousa, D.Z. Toxicity of long chain fatty acids towards acetate conversion by Methanosaeta concilii and Methanosarcina mazei. Microb. Biotechnol. 2016, 9, 514–518. [Google Scholar] [CrossRef]
- Bratby, J. Coagulation and Flocculation in Water and Wastewater Treatment, 2nd ed.; IWA Publishing: London, UK, 2006. [Google Scholar]
- Gutierrez, O.; Park, D.; Sharma, K.R.; Yuan, Z. Iron salts dosage for sulfide control in sewers induces chemical phosphorus removal during wastewater treatment. Water Res. 2010, 44, 3467–3475. [Google Scholar] [CrossRef]
- Wilfert, P.; Kumar, P.S.; Korving, L.; Witkamp, G.J.; van Loosdrecht, M.C. The relevance of phosphorus and iron chemistry to the recovery of phosphorus from wastewater: A review. Environ. Sci. Technol. 2015, 49, 9400–9414. [Google Scholar] [CrossRef] [PubMed]
- Coates, J.D.; Lonergan, D.J.; Philips, E.J.P.; Jenter, H.; Lovley, D.R. Desulfuromonas palmitatis sp. nov., a marine dissimilatory Fe(III) reducer that can oxidize long-chain fatty acids. Arch. Microbiol. 1995, 164, 406–413. [Google Scholar] [CrossRef] [PubMed]
- Coates, J.D.; Ellis, D.J.; Gaw, C.V.; Lovley, D.R. Geothrix fermentans gen. nov., sp. nov., a novel Fe(III)-reducing bacterium from a hydrocarbon-contaminated aquifer. Int. J. Syst. Bacteriol. 1999, 49, 1615–1622. [Google Scholar] [CrossRef] [PubMed]
- Coates, J.D.; Phillips, E.J.P.; Lonergan, D.J.; Jenter, H.; Lovley, D.R. Isolation of Geobacter species from diverse sedimentary environments. Appl. Environ. Microbiol. 1996, 62, 1531–1536. [Google Scholar] [CrossRef] [PubMed]
- Melton, E.D.; Swanner, E.D.; Behrens, S.; Schmidt, C.; Kappler, A. The interplay of microbially mediated and abiotic reactions in the biogeochemical Fe cycle. Nat. Rev. Microbiol. 2014, 12, 797–808. [Google Scholar] [CrossRef]
- Lovley, D.R.; Phillips, E.J.P. Competitive mechanisms for inhibition of sulfate reduction and methane production in the zone of ferric iron reduction in sediments. Appl. Environ. Microbiol. 1987, 53, 2636–2641. [Google Scholar] [CrossRef]
- Li, Z.; Wrenn, B.A.; Venosa, A.D. Anaerobic biodegradation of vegetable oil and its metabolic intermediates in oil-enriched freshwater sediments. Biodegradation 2005, 16, 341–352. [Google Scholar] [CrossRef]
- Li, Z.; Wrenn, B.A.; Venosa, A.D. Effect of iron on the sensitivity of hydrogen, acetate, and butyrate metabolism to inhibition by long-chain fatty acids in vegetable-oil-enriched freshwater sediments. Water Res. 2005, 39, 3109–3119. [Google Scholar] [CrossRef]
- Li, Z.; Wrenn, B.A.; Venosa, A.D. Effects of ferric hydroxide on methanogenesis from lipids and long-chain fatty acids in anaerobic digestion. Water Environ. Res. 2006, 78, 522–530. [Google Scholar] [CrossRef]
- Lovley, D.R. Dissimilatory Fe(III) and Mn(IV) reduction. Microbiol. Rev. 1991, 55, 259–287. [Google Scholar] [CrossRef]
- Van Bodegom, P.M.; Scholten, J.C.M.; Stams, A.J.M. Direct inhibition of methanogenesis by ferric iron. FEMS Microbiol. Ecol. 2004, 49, 261–268. [Google Scholar] [CrossRef] [PubMed]
- Paulo, L.M.; Hidayat, M.R.; Moretti, G.; Stams, A.J.M.; Sousa, D.Z. Effect of nickel, cobalt, and iron on methanogenesis from methanol and cometabolic conversion of 1,2-dichloroethene by Methanosarcina. Bark. Biotechnol. Appl. Bioc. 2020. [Google Scholar] [CrossRef]
- Bond, D.R.; Lovley, D.R. Reduction of Fe(III) oxide by methanogens in the presence and absence of extracellular quinones. Environ. Microbiol. 2002, 4, 115–124. [Google Scholar] [CrossRef] [PubMed]
- Stams, A.J.M.; Van Dijk, J.B.; Dijkema, C.; Plugge, C.M. Growth of syntrophic propionate-oxidizing bacteria with fumarate in the absence of methanogenic bacteria. Appl. Environ. Microbiol. 1993, 59, 1114–1119. [Google Scholar] [CrossRef] [PubMed]
- Alves, M.M.; Mota Vieira, J.A.; Álvares Pereira, R.M.; Pereira, M.A.; Mota, M. Effect of lipids and oleic acid on biomass development in anaerobic fixed-bed reactors. Part I: Biofilm growth and activity. Water Res. 2001, 35, 255–263. [Google Scholar] [CrossRef]
- Lovley, D.R.; Phillips, E.J.P. Organic matter mineralization with the reduction of ferric iron in anaerobic sediments. Appl. Environ. Microbiol. 1986, 51, 683–689. [Google Scholar] [CrossRef] [PubMed]
- Sun, D.; Wang, A.; Cheng, S.; Yates, M.; Logan, B.E. Geobacter anodireducens sp. nov., an exoelectrogenic microbe in bioelectrochemical systems. Int. J. Syst. Evol. Microbiol. 2014, 64, 3485–3491. [Google Scholar] [CrossRef]
- Neves, L.; Pereira, M.A.; Mota, M.; Alves, M.M. Detection and quantification of long chain fatty acids in liquid and solid samples and its relevance to understand anaerobic digestion of lipids. Bioresour. Technol. 2009, 100, 91–96. [Google Scholar] [CrossRef]
- Caporaso, J.G.; Lauber, C.L.; Walters, W.A.; Berg-Lyons, D.; Lozupone, C.A.; Turnbaughd, P.J.; Fierer, N.; Knight, R. Global patterns of 16S rRNA diversity at a depth of millions of sequences per sample. Proc. Natl. Acad. Sci. USA 2011, 108, 4516–4522. [Google Scholar] [CrossRef]
- Salvador, A.F.; Cavaleiro, A.J.; Paulo, A.M.S.; Silva, S.A.; Guedes, A.P.; Pereira, M.A.; Stams, A.J.M.; Sousa, D.Z.; Alves, M.M. Inhibition studies with 2-bromoethanesulfonate reveal a novel syntrophic relationship in anaerobic oleate degradation. Appl. Environ. Microbiol. 2019, 85, e01733-18. [Google Scholar] [CrossRef]
- Sun, D.; Cheng, S.; Wang, A.; Huang, F.; Liu, W.; Xia, X. Complete genome sequence of Geobacter anodireducens SD-1T, a salt-tolerant exoelectrogenic microbe in bioelectrochemical systems. Genome. Announc. 2016, 4, e00415–e00416. [Google Scholar] [CrossRef] [PubMed]
- Thauer, R.K.; Jungermann, K.; Decker, K. Energy conservation in chemotrophic anaerobic bacteria. Bacteriol. Rev. 1977, 41, 100–180. [Google Scholar] [CrossRef] [PubMed]
- Widdel, F.; Schnell, S.; Heising, S.; Ehrenreich, A.; Assmus, B.; Schink, B. Ferrous iron oxidation by anoxygenic phototrophic bacteria. Nature 1993, 362, 834–836. [Google Scholar] [CrossRef]
- Aklujkar, M.; Young, N.D.; Holmes, D.; Chavan, M.; Risso, C.; Kiss, H.E.; Han, C.S.; Land, M.L.; Lovley, D.R. The genome of Geobacter bemidjiensis, exemplar for the subsurface clade of Geobacter species that predominate in Fe(III)-reducing subsurface environments. BMC Genom. 2010, 11, 490. [Google Scholar] [CrossRef]
- Sousa, D.Z.; Alves, J.I.; Alves, M.M.; Smidt, H.; Stams, A.J.M. Effect of sulfate on methanogenic communities that degrade unsaturated and saturated long-chain fatty acids (LCFA). Environ. Microbiol. 2009, 11, 68–80. [Google Scholar] [CrossRef]
- Raskin, L.; Rittmann, B.E.; Stahl, D.A. Competition and coexistence of sulfate-reducing and methanogenic populations in anaerobic biofilms. Appl. Environ. Microbiol. 1996, 62, 3847–3857. [Google Scholar] [CrossRef]
- Dar, S.A.; Kleerebezem, R.; Stams, A.J.M.; Kuenen, J.G.; Muyzer, G. Competition and coexistence of sulfate-reducing bacteria, acetogens and methanogens in a lab-scale anaerobic bioreactor as affected by changing substrate to sulfate ratio. Appl. Microbiol. Biotechnol. 2008, 78, 1045–1055. [Google Scholar] [CrossRef]
- Ozuolmez, D.; Na, H.; Lever, M.A.; Kjeldsen, K.U.; Jørgensen, B.B.; Plugge, C.M. Methanogenic archaea and sulfate reducing bacteria co-cultured on acetate: Team work or coexistence? Front. Microbiol. 2015, 6, 492. [Google Scholar] [CrossRef]
- Hanaki, K.; Nagase, M.; Matsuo, T. Mechanism of inhibition caused by long-chain fatty acids in anaerobic digestion process. Biotechnol. Bioeng. 1981, 23, 1591–1610. [Google Scholar] [CrossRef]
- Hwu, C.-S.; Lettinga, G. Acute toxicity of oleate to acetate-utilizing methanogens in mesophilic and thermophilic anaerobic sludges. Enzym. Microb. Technol. 1997, 21, 297–301. [Google Scholar] [CrossRef]
- Hwu, C.-S.; Donlon, B.; Lettinga, G. Comparative toxicity of long-chain fatty acid to anaerobic sludges from various origins. Water Sci. Technol. 1996, 34, 351–358. [Google Scholar] [CrossRef]
- Stams, A.J.M.; Plugge, C.M. Electron transfer in syntrophic communities of anaerobic bacteria and archaea. Nat. Rev. Microbiol. 2009, 7, 568–577. [Google Scholar] [CrossRef] [PubMed]
- Coates, J.D.; Bhupathiraju, V.K.; Achenbach, L.A.; McInerney, M.J.; Lovley, D.R. Geobacter hydrogenophilus, Geobacter chapellei and Geobacter grbiciae, three new, strictly anaerobic, dissimilatory Fe(III)-reducers. Int. J. Syst. Evol. Microbiol. 2001, 51, 581–588. [Google Scholar] [CrossRef] [PubMed]
- Nevin, K.P.; Holmes, D.E.; Woodard, T.L.; Hinlein, E.S.; Ostendorf, D.W.; Lovley, D.R. Geobacter bemidjiensis sp. nov. and Geobacter psychrophilus sp. nov., two novel Fe(III)-reducing subsurface isolates. Int. J. Syst. Evol. Microbiol. 2005, 55, 1667–1674. [Google Scholar] [CrossRef]
- Bratlie, M.S.; Johansen, J.; Sherman, B.T.; Huang da, W.; Lempicki, R.A.; Drabløs, F. Gene duplications in prokaryotes can be associated with environmental adaptation. BMC Genom. 2010, 11, 588. [Google Scholar] [CrossRef]
- Tang, J.; Zhuang, L.; Ma, J.; Tang, Z.; Yu, Z.; Zhou, S. Secondary mineralization of ferrihydrite affects microbial methanogenesis in Geobacter-Methanosarcina cocultures. Appl. Environ. Microbiol. 2016, 82, 5869–5877. [Google Scholar] [CrossRef]
- Heron, G.; Crouzet, C.; Bourg, A.C.M.; Christensen, T.H. Speciation of Fe(II) and Fe(III) in contaminated aquifer sediments using chemical extraction techniques. Environ. Sci. Technol. 1994, 28, 1698–1705. [Google Scholar] [CrossRef]



| Reaction No. | Condition 1 | Reactant | Equation | ΔG0′ (kJ Reaction−1) 2 |
|---|---|---|---|---|
| 1 | - | Oleate | β-oxidation of oleate | |
| C18H33O2− + 16 H2O → 9 C2H3O2− + 15 H2 + 8 H+ | +325.7 | |||
| 2 | IR | Acetate | Acetate oxidation coupled to Fe(III) reduction | |
| C2H3O2− + 8 Fe(OH)3 + 15 H+ → 2 HCO3− + 8 Fe2+ + 20 H2O | −32.9 | |||
| 3 | M | Acetate | Methanogenesis from acetate | |
| C2H3O2− + H2O → HCO3− + CH4 | −31.0 | |||
| 4 | IR | Hydrogen | Hydrogen oxidation coupled to Fe(III) reduction | |
| H2 + 2 Fe(OH)3 + 4 H+ → 2 Fe2+ + 6 H2O | −34.4 | |||
| 5 | M | Hydrogen | Methanogenesis from hydrogen | |
| H2 + 0.25 HCO3− + 0.25 H+ → 0.25 CH4 + 0.75 H2O | −33.9 | |||
| 6 = 1 + 4 | IR | Oleate | Oleate oxidation to acetate coupled to Fe(III) reduction | |
| C18H33O2− + 30 Fe(OH)3 + 52 H+ → 9 C2H3O2− + 30 Fe2+ + 74 H2O | −189.9 | |||
| 7 = 1 + 2 + 4 | IR | Oleate | Overall reaction for oleate oxidation to CO2 coupled to Fe(III) reduction | |
| C18H33O2− + 102 Fe(OH)3 + 187 H+ → 18 HCO3− + 102 Fe2+ + 254 H2O | −485.9 | |||
| 8 = 1 + 5 | M | Oleate | Oleate oxidation to acetate coupled to hydrogenotrophic methanogenesis | |
| C18H33O2− + 3.75 HCO3− + 4.75 H2O → 9 C2H3O2− + 3.75 CH4 + 4.25 H+ | −182.8 | |||
| 9 = 1 + 3 + 5 | M | Oleate | Overall reaction for oleate oxidation to methane | |
| C18H33O2− + 13.75 H2O → 5.25 HCO3− + 12.75 CH4 + 4.25 H+ | −461.8 |
| Assay 1 | Max. Cumulative Methane Production (mmol L−1) | Methane Recovery (%) 2 |
|---|---|---|
| IR-SS-OL | 22 ± 0 | 57 ± 1 |
| M-SS-OL | 28 ± 0 | 72 ± 0 |
| IR-GS-OL | 29 ± 0 | 75 ± 1 |
| M-GS-OL | 35 ± 0 | 91 ± 1 |
| Taxonomic Identification 1 | Relative Abundance (%) | Closest Cultured Relatives Based on 16S rRNA Gene Identity 3 | 16S rRNA Gene Identity (%) 3 | Accession No. | ||
|---|---|---|---|---|---|---|
| GS(3) | GS(5)-a 2 | GS(5)-b 2 | ||||
| Geobacter | 86.4 | 89.4 | 83.2 | Geobacter anodireducens SD-1 | 100.0 | NR_126282.1 |
| Syntrophomonas | 5.9 | 3.4 | 4.3 | Syntrophomonas zehnderi OL-4 | 95.3 | NR_044008.1 |
| Unclassified (Clostridiales) | 2.7 | 0.0 | 0.0 | Colidextribacter massiliensis Marseille-P3083 | 93.7 | NR_147375.1 |
| Aminiphilus | 1.0 | 0.4 | 1.2 | Aminiphilus circumscriptus ILE-2 | 99.6 | NR_043061.1 |
| Methanobacterium | 0.2 | 5.0 | 9.7 | Methanobacterium formicicum MF 5 Methanobacterium beijingense 8-2 6 | 100.0 100.0 | NR_115168.1 NR_028202.1 |
| Other 4 | 3.9 | 1.8 | 1.6 | - | - | - |
© 2020 by the authors. Licensee MDPI, Basel, Switzerland. This article is an open access article distributed under the terms and conditions of the Creative Commons Attribution (CC BY) license (http://creativecommons.org/licenses/by/4.0/).
Share and Cite
Cavaleiro, A.J.; Guedes, A.P.; Silva, S.A.; Arantes, A.L.; Sequeira, J.C.; Salvador, A.F.; Sousa, D.Z.; Stams, A.J.M.; Alves, M.M. Effect of Sub-Stoichiometric Fe(III) Amounts on LCFA Degradation by Methanogenic Communities. Microorganisms 2020, 8, 1375. https://doi.org/10.3390/microorganisms8091375
Cavaleiro AJ, Guedes AP, Silva SA, Arantes AL, Sequeira JC, Salvador AF, Sousa DZ, Stams AJM, Alves MM. Effect of Sub-Stoichiometric Fe(III) Amounts on LCFA Degradation by Methanogenic Communities. Microorganisms. 2020; 8(9):1375. https://doi.org/10.3390/microorganisms8091375
Chicago/Turabian StyleCavaleiro, Ana J., Ana P. Guedes, Sérgio A. Silva, Ana L. Arantes, João C. Sequeira, Andreia F. Salvador, Diana Z. Sousa, Alfons J. M. Stams, and M. Madalena Alves. 2020. "Effect of Sub-Stoichiometric Fe(III) Amounts on LCFA Degradation by Methanogenic Communities" Microorganisms 8, no. 9: 1375. https://doi.org/10.3390/microorganisms8091375
APA StyleCavaleiro, A. J., Guedes, A. P., Silva, S. A., Arantes, A. L., Sequeira, J. C., Salvador, A. F., Sousa, D. Z., Stams, A. J. M., & Alves, M. M. (2020). Effect of Sub-Stoichiometric Fe(III) Amounts on LCFA Degradation by Methanogenic Communities. Microorganisms, 8(9), 1375. https://doi.org/10.3390/microorganisms8091375

