Metabolomics Analysis Reveals the Alkali Tolerance Mechanism in Puccinellia tenuiflora Plants Inoculated with Arbuscular Mycorrhizal Fungi
Abstract
1. Introduction
2. Materials and Methods
2.1. Experimental Design
2.2. Plant Culture and Stress Treatments
2.3. Metabolomics Analysis
2.4. Data Processing and Multivariate Data Analysis
2.5. Statistical Analysis
3. Results
3.1. Root Colonization and Seedling Growth
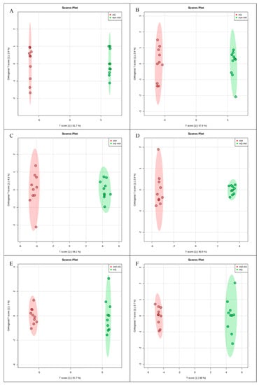
3.2. Metabolic Profiling
3.3. Metabolic Changes in the Non-AM Seedlings of P. tenuiflora under Alkali Stress
3.4. Metabolic Changes in AM Seedling of P. tenuiflora under Alkali Stress
3.5. Comparison of Metabolic Patterns in Non-AM and AM Seedlings under Alkali Stress
4. Discussion
4.1. Arbuscular Mycorrhizal Fungi Colonization and Seedling Growth
4.2. Metabolic Differences: The Responses of P. tenuiflora Seedlings with or without Arbuscular Mycorrhizal Fungi to Alkali Stress (AM-AS vs. AM, AS vs. CK)
4.3. Effects of Arbuscular Mycorrhizal Fungi on the Metabolic Profiles of P. tenuiflora Seedlings under Alkali Stress (AM-AS vs. AS)
5. Conclusions
Supplementary Materials
Author Contributions
Funding
Conflicts of Interest
References
- Slama, I.; Abdelly, C.; Bouchereau, A.; Flowers, T.; Savoure, A. Diversity, distribution and roles of osmoprotective compounds accumulated in halophytes under abiotic stress. Ann. Bot. 2015, 115, 433–447. [Google Scholar] [CrossRef] [PubMed]
- Li, M.N.; Zhang, K.; Sun, Y.; Cui, H.T.; Cao, S.H.; Yan, L. Growth, physiology, and transcriptional analysis of two contrasting Carex rigescens genotypes under salt stress reveals salt-tolerance mechanisms. J. Plant Physiol. 2018, 229, 77–88. [Google Scholar] [CrossRef] [PubMed]
- Shelden, M.C.; Dias, D.A.; Jayasinghe, N.S.; Bacic, A.; Roessner, U. Root spatial metabolite profiling of two genotypes of barley (Hordeum Vulgare L.) Reveals differences in response to short-term salt stress. J. Exp. Bot. 2016, 67, 3731–3745. [Google Scholar] [CrossRef] [PubMed]
- Lin, J.X.; Wang, Y.N.; Sun, S.N.; Mu, C.S.; Yan, X.F. Effects of arbuscular mycorrhizal fungi on the growth, photosynthesis and photosynthetic pigments of Leymus Chinensis seedlings under salt-alkali stress and nitrogen deposition. Sci. Total Environ. 2017, 576, 234–241. [Google Scholar] [CrossRef] [PubMed]
- Yang, C.W.; Jianaer, A.; Li, C.Y.; Shi, D.C.; Wang, D.L. Comparison of the effects of salt-stress and alkali-stress on photosynthesis and energy storage of an alkali-resistant halophyte Chloris Virgata. Photosynthetica 2008, 46, 273–278. [Google Scholar] [CrossRef]
- Yang, C.W.; Gao, W.Q.; Shi, D.C. Physiological roles of organic acids in alkali-tolerance of the alkali-tolerant halophyte. Agron. J. 2010, 102, 1081–1089. [Google Scholar] [CrossRef]
- Lin, J.X.; Yu, D.F.; Shi, Y.J.; Sheng, H.C.; Li, C.; Wang, Y. Salt-alkali tolerance during germination and establishment of Leymus Chinensis in the songnen grassland of China. Ecol. Eng. 2016, 95, 763–769. [Google Scholar] [CrossRef]
- Yang, J.Y.; Zheng, W.; Tian, Y.; Wu, Y.; Zhou, D.W. Effects of various mixed salt-alkaline stresses on growth, photosynthesis, and photosynthetic pigment concentrations of Medicago ruthenica seedlings. Photosynthetica 2011, 49, 275–284. [Google Scholar] [CrossRef]
- Lin, J.X.; Peng, X.Y.; Hua, X.Y.; Sun, S.N.; Wang, Y.N.; Yan, X.F. Effects of arbuscular mycorrhizal fungi on Leymus Chinensis seedlings under salt–alkali stress and nitrogen deposition conditions: From osmotic adjustment and ion balance. RSC Adv. 2018, 8, 14500–14509. [Google Scholar] [CrossRef]
- Meng, X.; Zhao, Q.; Jin, Y.; Yu, J.; Yin, Z.; Chen, S.; Dai, S.J. Chilling-responsive mechanisms in halophyte Puccinellia Tenuiflora seedlings revealed from proteomics analysis. J. Proteom. 2016, 143, 365–381. [Google Scholar] [CrossRef]
- Yan, X.F.; Sun, G.F. Physiological Ecology Research of Puccinellia tenuiflora; Science Press: Harbin, China, 2000; p. 25. [Google Scholar]
- Wang, Y.; Sun, G.; Suo, B.; Chen, G.; Wang, J.; Yan, Y. Effects of Na2CO3and NaCl stresses on the antioxidant enzymes of chloroplasts and chlorophyll fluorescence parameters of leaves of Puccinellia Tenuiflora (Turcz.) scribn.et merr. Acta Physiol. Plant. 2008, 30, 143–150. [Google Scholar] [CrossRef]
- Guo, L.Q.; Shi, D.C.; Wang, D.L. The key physiological response to alkali stress by the alkali-resistant halophyte Puccinellia Tenuiflora is the accumulation of large quantities of organic acids and into the rhyzosphere. J. Agron. Crop Sci. 2010, 196, 123–135. [Google Scholar] [CrossRef]
- Liu, H.; Zhang, X.; Takano, T.; Liu, S. Characterization of a PutCAX1 gene from Puccinellia Tenuiflora that confers Ca2+ and Ba2+ tolerance in yeast. Biochem. Biophys. Res. Commun. 2009, 383, 392–396. [Google Scholar] [CrossRef] [PubMed]
- Ardie, S.W.; Liu, S.; Takano, T. Expression of the AKT1-type K+ channel gene from Puccinellia Tenuiflora, PutAKT1, enhances salt tolerance inarabidopsis. Plant Cell Rep. 2010, 2929, 865–874. [Google Scholar] [CrossRef] [PubMed]
- Wang, X.; Geng, S.; Ri, Y.J.; Cao, D.; Yang, C. Physiological responses and adaptive strategies of tomato plants to salt and alkali stresses. Sci. Hortic. 2011, 130, 248–255. [Google Scholar] [CrossRef]
- Yu, J.; Chen, S.; Wang, T.; Sun, G.; Dai, S. Comparative proteomic analysis of Puccinellia tenuiflora leaves under Na2CO3 stress. Int. J. Mol. Sci. 2013, 14, 1740–1762. [Google Scholar] [CrossRef] [PubMed]
- Wu, Q.S.; Zou, Y.N.; He, X.H. Mycorrhizal symbiosis enhances tolerance to NaCl stress through selective absorption but not selective transport of K+ over Na+ in trifoliate orange. Sci. Hortic. 2013, 160, 366–374. [Google Scholar] [CrossRef]
- Wu, Q.S.; Zou, Y.N.; He, X.H. Contributions of arbuscular mycorrhizal fungi to growth, photosynthesis, root morphology and ionic balance of citrus seedlings under salt stress. Acta Physiol. Plant. 2010, 32, 297–304. [Google Scholar] [CrossRef]
- Rillig, M.C.; Mummey, D.L. Mycorrhizas and soil structure. New Phytologist. 2006, 171, 41–53. [Google Scholar] [CrossRef]
- Asrar, A.W.A.; Elhindi, K.M. Alleviation of drought stress of marigold (Tagetes erecta) plants by using arbuscular mycorrhizal fungi. Saudi J. Biol. Sci. 2011, 18, 93–98. [Google Scholar] [CrossRef]
- Porcel, R.; Aroca, R.; Ruiz-Lozano, J.M. Salinity stress alleviation using arbuscular mycorrhizal fungi: A review. Agron. Sustain. Dev. 2012, 32, 181–200. [Google Scholar] [CrossRef]
- Liu, Z.L.; Li, Y.J.; Hou, H.Y.; Zhu, X.C.; Rai, V.; He, X.Y.; Tian, C.J. Differences in the arbuscular mycorrhizal fungi-improved rice resistance to low temperature at two N levels: Aspects of N and C metabolism on the plant side. Plant Physiol. Biochem. 2013, 71, 87–95. [Google Scholar] [CrossRef] [PubMed]
- Kumar, A.; Sharma, S.; Mishra, S.; Dames, J.F. Arbuscular mycorrhizal inoculation improves growth and antioxidative response of Latropha Curcas (L.) under Na2SO4 salt stress. G. Bot. Ital. 2015, 149, 260–269. [Google Scholar]
- Ouziad, F.; Wilde, P.; Schmelzer, E.; Hildebrandt, U.; Bothe, H. Analysis of expression of aquaporins and Na+/H+ transporters in tomato colonized by arbuscular mycorrhizal fungi and affected by salt stress. Environ. Exp. Bot. 2006, 57, 177–186. [Google Scholar] [CrossRef]
- He, Z.Q.; He, C.X.; Yan, Y.; Zhang, Z.B.; Wang, H.S.; Li, H.X.; Tang, H.R. Regulative effect of arbuscular mycorrhizal fungi on water absorption and expression of aquaporin genes in tomato under salt stress. Acta Hortic. Sin. 2011, 38, 273–280. [Google Scholar]
- Jie, C.; Haoqiang, Z.; Xinlu, Z.; Ming, T. Arbuscular mycorrhizal symbiosis alleviates salt stress in black locust through improved photosynthesis, water status, and K+/Na+ homeostasis. Front. Plant Sci. 2017, 8, 1739. [Google Scholar]
- Farag, M.A.; Andrea, P.; Wessjohann, L.A. Comparative metabolite profiling and fingerprinting of medicinal licorice roots using a multiplex approach of GC-MS, LC-MS and 1D NMR techniques. Phytochemistry 2009, 69, 60–72. [Google Scholar] [CrossRef]
- Mamdouh, M.; Khedr, A.H.A.; Serag, M.M.; Abu-Alnaga, A.Z.; Nada, R.M. Regulation of metabolomics in Atriplex halimus growth under salt and drought stress. Plant Growth Regul. 2012, 67, 281–304. [Google Scholar]
- Yang, D.S.; Zhang, J.; Li, M.X.; Shi, L.X. Metabolomics analysis reveals the salt-tolerant mechanism in Glycine soja. J. Plant Growth Regul. 2017, 36, 460–471. [Google Scholar] [CrossRef]
- Lyu, X.; Ng, K.R.; Mark, R.; Lee, J.L.; Chen, W. Comparative metabolic profiling of engineered Saccharomyces cerevisiae with enhanced flavonoids production. J. Funct. Foods. 2018, 44, 274–282. [Google Scholar] [CrossRef]
- Wu, D.; Cai, S.; Chen, M.; Ye, L.; Chen, Z.; Zhang, H. Tissue metabolic responses to salt stress in wild and cultivated barley. PLoS ONE 2013, 8, e55431. [Google Scholar] [CrossRef] [PubMed]
- Nam, M.; Bang, E.; Taek, K.; Yuran, K.; Eun, K.; Kyungwon, C. Metabolite profiling of diverse rice germplasm and identification of conserved metabolic markers of rice roots, in response to long-term mild salinity stress. Int. J. Mol. Sci. 2015, 16, 21959–21974. [Google Scholar] [CrossRef] [PubMed]
- Pang, Q.Y.; Zhang, A.Q.; Zang, W.; Wei, L.; Yan, X.F. Integrated proteomics and metabolomics for dissecting the mechanism of global responses to salt and alkali stress in Suaeda Corniculata. Plant Soil. 2016, 402, 379–394. [Google Scholar] [CrossRef]
- Guo, R.; Shi, L.X.; Yan, C.; Zhong, X.; Gu, F.X.; Liu, Q.; Xia, X.; Li, H. Ionomic and metabolic responses to neutral salt or alkaline salt stresses in maize (Zea mays L.) seedlings. BMC Plant Biol. 2017, 17, 41. [Google Scholar] [CrossRef]
- Phillips, J.; Hayman, D. Improved procedures for clearing roots and staining parasitic and vesicular-arbuscular mycorrhizal fungi for rapid assessment of infection. Trans. Br. Mycol. Soc. 1970, 55, 161–179. [Google Scholar] [CrossRef]
- Wu, N.; Li, Z.; Liu, H.; Tang, M. Influence of arbuscular mycorrhiza on photosynthesis and water status of Populus cathayana Rehder males and females under salt stress. Acta Physiol. Plant. 2015, 37, 183. [Google Scholar] [CrossRef]
- Zhang, C.; Wang, W.; Lu, R.; Jin, S.; Chen, Y.; Fan, M. Metabolic responses of Beauveria Bassiana to hydrogen peroxide-induced oxidative stress using an LC-MS-based metabolomics approach. J. Invertebr. Pathol. 2016, 137, 1–9. [Google Scholar] [CrossRef]
- Hajiboland, R.; Aliasgharzadeh, N.; Laiegh, S.F.; Poschenrieder, C. Colonization with arbuscular mycorrhizal fungi improves salinity tolerance of tomato (Solanum Lycopersicum L.) plants. Plant Soil 2010, 331, 313–327. [Google Scholar] [CrossRef]
- Wang, Y.N.; Jie, W.G.; Peng, X.Y.; Hua, X.Y.; Yan, X.F.; Zhou, Z.Q.; Lin, J.X. Physiological adaptive strategies of oil seed crop Ricinus communis early seedlings (cotyledon vs. true leaf) under salt and alkali stresses: From the growth, photosynthesis and chlorophyll fluorescence. Front. Plant Sci. 2019, 9, 1–15. [Google Scholar] [CrossRef]
- Feng, G.; Zhang, F.; Li, X.; Tian, C.; Tang, C.; Rengel, Z. Improved tolerance of maize plants to salt stress by arbuscular mycorrhiza is related to higher accumulation of soluble sugars in roots. Mycorrhiza 2002, 12, 185–190. [Google Scholar]
- Jahromi, F.; Aroca, R.; Porcel, R.; Ruiz-Lozano, J.M. Influence of salinity on the In Vitro development of Glomus Intraradices and on the In Vitro physiological and molecular responses of mycorrhizal lettuce plants. Microb. Ecol. 2008, 55, 45–53. [Google Scholar] [CrossRef] [PubMed]
- Eftekhari, M.; Alizadeh, M.; Ebrahimi, P. Evaluation of the total phenolics and quercetin content of foliage in mycorrhizal grape (Vitis Vinifera L.) varieties and effect of postharvest drying on quercetin yield. Ind. Crops Prod. 2012, 38, 160–165. [Google Scholar] [CrossRef]
- Wu, Q.S.; Zou, Y.N.; Huang, Y.M.; Li, Y.; He, X.H. Arbuscular mycorrhizal fungi induce sucrose cleavage for carbon supply of arbuscular mycorrhizas in citrus genotypes. Sci. Hortic. 2013, 160, 320–325. [Google Scholar] [CrossRef]
- Less, H.; Galili, G. Principal transcriptional programs regulating plant amino acid metabolism in response to abiotic stresses. Plant Physiol. 2008, 147, 316–330. [Google Scholar] [CrossRef]
- Xiao, Q.; Zheng, H.L.; Chen, Y.; Huang, W.B.; Zhu, Z. Effects of salinity on the growth and proline, soluble sugar and protein contents of Spartina alterniflora. Chin. J. Ecol. 2005, 24, 373–376. [Google Scholar]
- Tian, X.Y.; Liu, Y.J.; Guo, Y.C. Effect of salt stress on Na+,K+, proline, soluble sugar and protein of NHC. Pratacult. Sci. 2008, 25, 34–38. [Google Scholar]
- Yang, C.; Shi, D.; Wang, D. Comparative effects of salt and alkali stresses on growth, osmotic adjustment and ionic balance of an alkali-resistant halophyte Suaeda Glauca (Bge.). Plant Growth Regul. 2008, 56, 179–190. [Google Scholar] [CrossRef]
- Lin, J.X.; Li, Z.; Mu, C.; Wang, Y.; Li, X. Physiological adaptive mechanisms of Leymus Chinensis during germination and early seedling stages under saline and alkaline conditions. J. Anim. Plant Sci. 2014, 24, 904–912. [Google Scholar]
- Li, M.X.; Guo, R.; Yang, J.; Jin, X.F.; Zhang, H.Y.; Shi, L.X. Comparison of salt tolerance in soja based on metabolomics of seedling roots. Front. Plant Sci. 2017, 8, 1101. [Google Scholar] [CrossRef]
- Alqarawi, A.A.; Hashem, A.; Abd Allah, E.F.; Alshahrani, T.S.; Huqail, A.A. Effect of salinity on moisture content, pigment system, and lipid composition in Ephedra alata Decne. Acta Biol. Hung. 2014, 6565, 61–71. [Google Scholar] [CrossRef]
- Song, T.T.; X, H.H.; Na, S.; Liu, J.; Pu, T.; Yang, Y.Y. Metabolomic analysis of alfalfa (Medicago Sativa L.) root-symbiotic rhizobia responses under alkali stress. Front. Plant Sci. 2017, 8, 1–15. [Google Scholar] [CrossRef] [PubMed]
- Widodo, J.; Patterson, J.H.; Newbigin, E.; Tester, M.; Bacic, A.; Roessner, U. Metabolic responses to salt stress of barley (Hordeum vulgare L.) cultivars, sahara and clipper, which differ in salinity tolerance. J. Exp. Bot. 2009, 60, 4089–4103. [Google Scholar] [CrossRef] [PubMed]
- Tavakoli, M.; Poustini, K.; Alizadeh, H. Proline accumulation and related genes in wheat leaves under salinity stress. J. Agric. Sci. Technol. 2018, 18, 707–716. [Google Scholar]
- Jiao, Y.; Bai, Z.; Xu, J.; Zhao, M.; Khan, Y.; Hu, Y.; Shi, L. Metabolomics and its physiological regulation process reveal the salt-tolerant mechanism in Glycine Soja seedling roots. Plant Physiol. Biochem. 2018, 126, 187–196. [Google Scholar] [CrossRef]
- Boriboonkaset, T.; Theerawitaya, C.; Yamada, N.; Pichakum, A.; Supaibulwatana, K.; Cha-Um, S. Regulation of some carbohydrate metabolism-related genes, starch and soluble sugar contents, photosynthetic activities and yield attributes of two contrasting rice genotypes subjected to salt stress. Protoplasma 2013, 250, 1157–1167. [Google Scholar] [CrossRef]
- Kerepesi, I.; Galiba, G. Osmotic and salt stress-induced alteration in soluble carbohydrate content in wheat seedlings. Crop Sci. 2000, 40, 482–487. [Google Scholar] [CrossRef]
- Janz, D.; Behnke, K.; Schnitzler, J.P.; Kanawati, B.; Schmitt-Kopplin, P.; Polle, A. Pathway analysis of the transcriptome and metabolome of salt sensitive and tolerant poplar species reveals evolutionary adaption of stress tolerance mechanisms. BMC Plant Biol. 2010, 10, 150. [Google Scholar] [CrossRef]
- Zhang, J.; Yang, D.; Li, M.; Shi, L. Metabolic profiles reveal changes in wild and cultivated soybean seedling leaves under salt stress. PLoS ONE 2016, 11, e015962. [Google Scholar] [CrossRef]
- McNeil, S.D.; Nuccio, M.L.; Hanson, A.D. Betaines and related osmoprotectants: Targets for metabolic engineering of stress resistance. Plant Physiol. 1999, 120, 945–950. [Google Scholar] [CrossRef]
- Rui, G.; Lianxuan, S.; Chunwu, Y.; Changrong, Y.; Xiuli, Z.; Qi, L. Comparison of ionomic and metabolites response under alkali stress in old and young leaves of cotton (Gossypium Hirsutum L.) seedlings. Front. Plant Sci. 2016, 7, 1–9. [Google Scholar]
- Shunsuke, W.; Mayumi, M.; Yuki, H.; Hiroshi, T.; Hiroshi, S.; Atsushi, S. The purine metabolite allantoin enhances abiotic stress tolerance through synergistic activation of abscisic acid metabolism. Plant Cell Environ. 2014, 37, 1022–1036. [Google Scholar]
- Werner, A.K.; Witte, C.P. The biochemistry of nitrogen mobilization: Purine ring catabolism. Trends Plant Sci. 2011, 16, 381–387. [Google Scholar] [CrossRef] [PubMed]
- Yobi, A.; Wone, B.W.; Xu, W.; Alexander, D.C.; Guo, L.; Ryals, J.A.; Melvin, J.O.; Cushman, J.C. Metabolomic profiling in Selaginella lepidophylla at various hydration states provides new insights into the mechanistic basis of desiccation tolerance. Mol. Plant 2013, 6, 369–385. [Google Scholar] [CrossRef] [PubMed]
- Wang, F.; Kong, W.; Wong, G.; Fu, L.; Peng, R.; Li, Z.; Yao, Q. ATMYB12 regulates flavonoids accumulation and abiotic stress tolerance in transgenic Arabidopsis Thaliana. Mol. Genet. Genom. 2016, 291, 1545–1559. [Google Scholar] [CrossRef]
- YGao, J.J.; Zhang, Z.; Peng, R.H.; Xiong, A.S.; Xu, J.; Zhu, B. Forced expression of Mdmyb10, a myb transcription factor gene from apple, enhances tolerance to osmotic stress in transgenic arabidopsis. Mol. Biol. Rep. 2011, 38, 205–211. [Google Scholar]
- Kumar, M.S.S.; Mawlong, I.; Ali, K.; Tyagi, A. Regulation of phytosterol biosynthetic pathway during drought stress in rice. Plant Physiol. Biochem. 2018, 129, 11–20. [Google Scholar] [CrossRef]
- Lee, S.J.; Jeong, E.M.; Ki, A.Y.; Oh, K.S.; Kwon, J.; Jeong, J.H. Oxidative defense metabolites induced by salinity stress in roots of Salicornia Herbacea. J. Plant Physiol. 2016, 206, 133–142. [Google Scholar] [CrossRef]
- Ryu, H.; Cho, Y.G. Plant hormones in salt stress tolerance. J. Plant Biol. 2015, 58, 147–155. [Google Scholar] [CrossRef]
- Gunes, A.; Inal, A.; Alpaslan, M.; Cicek, N.; Guneri, E.; Eraslan, F. Effects of exogenously applied salicylic acid on the induction of multiple stress tolerance and mineral nutrition in maize (Zea Mays L.). Arch. Agron. Soil Sci. 2005, 51, 687–695. [Google Scholar] [CrossRef]
- Stevens, J.; Senaratna, T.; Sivasithamparam, K. Salicylic acid induces salinity tolerance in tomato (Lycopersicon esculentum cv. Roma): Associated changes in gas exchange, water relations and membrane stabilisation. Plant Growth Regul. 2006, 49, 77–83. [Google Scholar]
- Hashem, A.; Alqarawi, A.A.; Radhakrishnan, R.; Al-Arjani, A.B.F.; Aldehaish, H.A.; Egamberdieva, D. Arbuscular mycorrhizal fungi regulate the oxidative system, hormones and ionic equilibrium to trigger salt stress tolerance in, Cucumis sativus L. Saudi J. Biol. Sci. 2018, 25, 1102–1114. [Google Scholar] [CrossRef] [PubMed]
- Liu, H.G.; Wang, Y.J.; Hart, M.; Chen, H.; Tang, M. Arbuscular mycorrhizal symbiosis regulates hormone and osmotic equilibrium of Lycium barbarum L. under salt stress. Mycosphere 2016, 7, 828–843. [Google Scholar] [CrossRef]





| Dependent Variable | Independent Variable | df | F-Values | p-Values |
|---|---|---|---|---|
| Dry weight (g·plant−1) | A | 3 | 27.83 | <0.001 |
| AMF | 1 | 4.72 | <0.001 | |
| A×AMF | 3 | 0.47 | 0.064 |
| Category of Metabolites | Kegg ID | Metabolite | Ionization Mode | Molecular Formula | p-Value | VIP a | Fold Change b |
|---|---|---|---|---|---|---|---|
| Amino acids and Amines | C00064 | l-Glutamine | Q-TOF (+)/(−) | C5H10N2O3 | 0.00 | 1.71 | 2.42 ↑ |
| C00148 | l-Proline | Q-TOF (−) | C5H9NO2 | 0.00 | 1.68 | 2.28 ↑ | |
| C00152 | l-Asparagine | Q-TOF (+)/(−) | C4H8N2O3 | 0.00 | 2.05 | 3.26 ↑ | |
| C00188 | l-Threonine | Q-TOF (+) | C4H9NO3 | 0.00 | 1.73 | 2.05 ↑ | |
| C00263 | l-homoserine | Q-TOF (−) | C4H9NO3 | 0.00 | 1.58 | 2.01 ↑ | |
| C00449 | l-Saccharopine | Q-TOF (+)/(−) | C11H20N2O6 | 0.00 | 1.73 | 2.93 ↑ | |
| C01152 | 3-Methylhistidine | Q-TOF (+) | C7H11N3O2 | 0.00 | 2.65 | 6.78 ↑ | |
| C01879 | l-Pyroglutamic acid | Q-TOF (+)/(−) | C5H7NO3 | 0.00 | 1.59 | 2.34 ↑ | |
| C05282 | gamma-l-Glutamyl-l-glutamic acid | Q-TOF (+) | C10H16N2O7 | 0.00 | 1.49 | 2.06 ↑ | |
| C06772 | Diethanolamine | Q-TOF (+) | C4H11NO2 | 0.00 | 1.98 | 2.47 ↑ | |
| Carbohydrate and polyols | C00159 | d-Mannose | Q-TOF (+) | C6H12O6 | 0.00 | 2.14 | 3.22 ↑ |
| C00474 | Ribitol | Q-TOF (−) | C5H12O5 | 0.00 | 1.53 | 2.08 ↓ | |
| C00476 | d-Lyxose | Q-TOF (−) | C5H10O5 | 0.00 | 2.02 | 3.62 ↑ | |
| C00860 | l-Histidinol | Q-TOF (+) | C6H11N3O | 0.00 | 1.46 | 2.22 ↑ | |
| C01019 | l-Fucose | Q-TOF (+) | C6H12O5 | 0.02 | 1.11 | 2.06 ↑ | |
| C01083 | Trehalose | Q-TOF (+) | C12H22O11 | 0.00 | 1.40 | 2.17 ↓ | |
| C01613 | Stachyose | Q-TOF (+)/(−) | C24H42O21 | 0.00 | 1.50 | 3.13 ↓ | |
| C05235 | Hydroxyacetone | Q-TOF (−) | C3H6O2 | 0.00 | 2.38 | 3.70 ↓ | |
| Organic acids | C00296 | Quinate | Q-TOF (−) | C7H12O6 | 0.00 | 1.85 | 3.77 ↑ |
| C00493 | Shikimic acid | Q-TOF (−) | C7H10O5 | 0.00 | 1.43 | 2.06 ↑ | |
| C00499 | Allantoate/Allantoic acid | Q-TOF (−) | C4H8N4O4 | 0.00 | 2.25 | 4.07 ↑ | |
| C00847 | 4-Pyridoxic acid | Q-TOF (+) | C8H9NO4 | 0.01 | 1.30 | 2.22 ↓ | |
| C00852 | Chlorogenic acid | Q-TOF (−) | C16H18O9 | 0.00 | 2.31 | 4 ↓ | |
| C01035 | 4-Guanidinobutyric acid | Q-TOF (+) | C5H11N3O2 | 0.00 | 2.40 | 3.55 ↑ | |
| C01234 | Cyclopropanecarboxylic acid | Q-TOF (+) | C4H7NO2 | 0.00 | 1.23 | 2.01 ↑ | |
| C02835 | Imidazoleacetic acid | Q-TOF (+) | C5H6N2O2 | 0.00 | 1.95 | 2.77 ↑ | |
| C06104 | Adipic acid | Q-TOF (+) | C6H10O4 | 0.00 | 1.72 | 2.13 ↓ | |
| C12621 | trans-3-Hydroxycinnamic acid | Q-TOF (+) | C9H8O3 | 0.00 | 1.77 | 2.14 ↑ | |
| C00815 | Citramalic acid | Q-TOF (+) | C5H8O5 | 0.00 | 1.31 | 2.63 ↑ | |
| Fatty acids | C00249 | Palmitic acid | Q-TOF (−) | C16H32O2 | 0.00 | 2.28 | 4 ↓ |
| C08367 | trans-Vaccenic acid | Q-TOF (+) | C18H34O2 | 0.00 | 1.66 | 2.38 ↓ | |
| Flavonoids | C09789 | Naringin | Q-TOF (−) | C27H32O14 | 0.00 | 1.41 | 2.08 ↑ |
| C10084 | Quercetin 3′-methyl ether | Q-TOF (+) | C16H12O7 | 0.00 | 3.07 | 16.67 ↓ | |
| C10107 | Myricetin | Q-TOF (+) | C15H10O8 | 0.00 | 1.59 | 2.04 ↓ | |
| C10521 | Prunetin | Q-TOF (+) | C16H12O5 | 0.00 | 1.88 | 3.04 ↑ | |
| C12249 | Astragalin | Q-TOF (+) | C21H20O11 | 0.00 | 1.64 | 2.56 ↓ | |
| C12627 | Apigenin 7-O-neohesperidoside | Q-TOF (+) | C27H30O14 | 0.00 | 2.74 | 9.26 ↑ | |
| C14536 | Glycitein | Q-TOF (+)/(−) | C16H12O5 | 0.00 | 1.70 | 2.53 ↑ | |
| C00858 | Formononetin | Q-TOF (+) | C16H12O4 | 0.00 | 1.87 | 2.64 ↑ | |
| Steroids | C01780 | Aldosterone | Q-TOF (+) | C21H28O5 | 0.00 | 1.52 | 2.3 ↑ |
| C05122 | Taurocholate | Q-TOF (−) | C26H45NO7S | 0.00 | 1.75 | 2.47 ↑ | |
| Nucleic acids | C00147 | Adenine | Q-TOF (−) | C5H5N5 | 0.00 | 1.77 | 2.63 ↓ |
| C00212 | Adenosine | Q-TOF (+) | C10H13N5O4 | 0.00 | 1.63 | 2.13 ↑ | |
| C00387 | Guanosine | Q-TOF (+)/(−) | C10H13N5O5 | 0.00 | 2.03 | 2.73 ↑ | |
| C00526 | 2′-Deoxyuridine | Q-TOF (−) | C9H12N2O5 | 0.00 | 2.13 | 3.66 ↑ | |
| C00455 | Nicotinamide ribotide | Q-TOF (−) | C11H15N2O8P | 0.00 | 1.88 | 2.64 ↑ | |
| Phytohormones | C00805 | Salicylic acid | Q-TOF (+) | C7H6O3 | 0.00 | 1.90 | 2.79 ↑ |
| C06082 | (+)-Abscisic acid | Q-TOF (−) | C15H20O4 | 0.00 | 1.29 | 2.07 ↑ | |
| Others | C00258 | Glyceric acid | Q-TOF (−) | C3H6O4 | 0.00 | 1.59 | 2.22 ↓ |
| C00279 | D-Erythrose 4-phosphate | Q-TOF (+) | C4H9O7P | 0.00 | 1.33 | 2.08 ↓ | |
| C00670 | Glycerophosphocholine | Q-TOF (+) | C8H21NO6P | 0.00 | 1.83 | 2.3 ↑ | |
| C00741 | Diacetyl | Q-TOF (+) | C4H6O2 | 0.00 | 1.36 | 2.44 ↑ | |
| C00755 | Vanillin | Q-TOF (−) | C8H8O3 | 0.00 | 1.83 | 2.57 ↑ | |
| C01551 | Allantoin | Q-TOF (−) | C4H6N4O3 | 0.00 | 2.68 | 8.15 ↑ | |
| C03068 | 3-Hydroxyhexobarbital | Q-TOF (+) | C12H16N2O4 | 0.00 | 1.64 | 2.32 ↓ | |
| C03710 | N-Benzyloxycarbonylglycine | Q-TOF (+) | C10H11NO4 | 0.00 | 1.60 | 2.74 ↑ | |
| C04051 | 5-Amino-4-carbamoylimidazole | Q-TOF (−) | C4H6N4O | 0.00 | 1.60 | 2.24 ↑ | |
| C07042 | Hydromorphone | Q-TOF (+) | C17H19NO3 | 0.00 | 2.97 | 14.28 ↓ | |
| C07414 | Pargyline | Q-TOF (+) | C11H13N | 0.00 | 1.63 | 2.86 ↑ | |
| C07537 | Ethylmorphine | Q-TOF (+) | C19H23NO3 | 0.00 | 3.06 | 14.29 ↓ | |
| C08313 | 3-Methylindole | Q-TOF (+) | C9H9N | 0.00 | 1.78 | 2.09 ↑ | |
| C11263 | 6-Benzylaminopurine | Q-TOF (+) | C12H11N5 | 0.00 | 2.61 | 5.64 ↑ |
© 2020 by the authors. Licensee MDPI, Basel, Switzerland. This article is an open access article distributed under the terms and conditions of the Creative Commons Attribution (CC BY) license (http://creativecommons.org/licenses/by/4.0/).
Share and Cite
Yang, C.; Zhao, W.; Wang, Y.; Zhang, L.; Huang, S.; Lin, J. Metabolomics Analysis Reveals the Alkali Tolerance Mechanism in Puccinellia tenuiflora Plants Inoculated with Arbuscular Mycorrhizal Fungi. Microorganisms 2020, 8, 327. https://doi.org/10.3390/microorganisms8030327
Yang C, Zhao W, Wang Y, Zhang L, Huang S, Lin J. Metabolomics Analysis Reveals the Alkali Tolerance Mechanism in Puccinellia tenuiflora Plants Inoculated with Arbuscular Mycorrhizal Fungi. Microorganisms. 2020; 8(3):327. https://doi.org/10.3390/microorganisms8030327
Chicago/Turabian StyleYang, Chunxue, Wenna Zhao, Yingnan Wang, Liang Zhang, Shouchen Huang, and Jixiang Lin. 2020. "Metabolomics Analysis Reveals the Alkali Tolerance Mechanism in Puccinellia tenuiflora Plants Inoculated with Arbuscular Mycorrhizal Fungi" Microorganisms 8, no. 3: 327. https://doi.org/10.3390/microorganisms8030327
APA StyleYang, C., Zhao, W., Wang, Y., Zhang, L., Huang, S., & Lin, J. (2020). Metabolomics Analysis Reveals the Alkali Tolerance Mechanism in Puccinellia tenuiflora Plants Inoculated with Arbuscular Mycorrhizal Fungi. Microorganisms, 8(3), 327. https://doi.org/10.3390/microorganisms8030327

