Tetracycline Resistant Campylobacter jejuni Subtypes Emanating from Beef Cattle Administered Non-Therapeutic Chlortetracycline are Longitudinally Transmitted within the Production Continuum but are Not Detected in Ground Beef
Abstract
1. Introduction
2. Materials and Methods
2.1. Ethics Approvals
2.2. Confined Feeding Operation
2.3. Sample Collection
2.4. Isolation of Campylobacter jejuni
2.5. Identification of Campylobacter jejuni
2.6. Susceptibility to Antimicrobials
2.7. Genotyping of Campylobacter jejuni and Human Health Risk Assessment
2.8. Storage and DNA Extraction from Samples
2.9. Quantification of Campylobacter jejuni
2.10. Quantification of Total Bacteria
2.11. Quantification of Antimicrobial Resistance Determinants
2.12. Analyses
3. Results
3.1. Time in the CFO, But Not Antibiotic Administration, Affected Densities of Bacteria Shed in Beef Cattle Feces
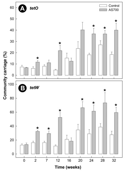
3.2. Carriage of Antimicrobial Resistance Determinants was Common within the Fecal Bacterial Community
3.3. Carriage of Resistance Determinants Was Common in Bacteria Throughout the Intestinal Tract
3.4. A High Prevalence of Campylobacter jejuni Isolates Were Resistant to Tetracycline
3.5. No Campylobacter jejuni Was Present in Ground Beef Generated from Contaminated Carcasses
3.6. Administration of AS700 to Cattle Reduced the Richness of Campylobacter jejuni Subtypes
3.7. A Multitude of C. jejuni Subtypes Recovered from Beef Cattle Represent a High Health Risk to People But Not via consumption of Ground Beef
4. Discussion
5. Conclusions
Supplementary Materials
Author Contributions
Funding
Acknowledgments
Conflicts of Interest
References
- Kaakoush, N.O.; Castano-Rodriguez, N.; Mitchell, H.M.; Man, S.M. Global epidemiology of Campylobacter infection. Clin. Microbiol. Rev. 2015, 28, 687–720. [Google Scholar] [CrossRef] [PubMed]
- Alberta Government. Notifiable Diseases in Alberta 2004 Annual Report. Alta. Health Wellness. Available online: http://www.assembly.ab.ca/lao/library/egovdocs/2004/alhw/151479_04.pdf (accessed on 20 December 2019).
- Public Health Agency of Canada. Notifiable Diseases Online. Available online: http://diseases.canada.ca/notifiable/ (accessed on 20 December 2019).
- Inglis, G.D.; Boras, V.F.; Houde, A. Enteric campylobacteria and RNA viruses associated with healthy and diarrheic humans in the Chinook Health Region of southwestern Alberta, Canada. J. Clin. Microbiol. 2011, 49, 209–219. [Google Scholar] [CrossRef]
- Alberta Government. 2011 Census of Agriculture for Alberta. In Alta. Agriclulture. Rural. Dev. Available online: https://www1.agric.gov.ab.ca/$Department/deptdocs.nsf/all/agdex4091/$FILE/852-6.pdf (accessed on 20 December 2019).
- Inglis, G.D.; Boras, V.F.; Webb, A.L.; Suttorp, V.V.; Hodgkinson, P.; Taboada, E.N. Enhanced microbiological surveillance reveals that temporal case clusters contribute to the high rates of campylobacteriosis in a model agroecosystem. Int. J. Med. Microbiol. 2019, 309, 232–244. [Google Scholar] [CrossRef] [PubMed]
- Inglis, G.D.; Kalischuk, L.D. Direct quantification of Campylobacter jejuni and Campylobacter lanienae in feces of cattle by real-time quantitative PCR. Appl. Env. Microbiol. 2004, 70, 2296–2306. [Google Scholar] [CrossRef] [PubMed]
- Inglis, G.D.; Kalischuk, L.D. Use of PCR for direct detection of Campylobacter species in bovine feces. Appl. Env. Microbiol. 2003, 69, 3435–3447. [Google Scholar] [CrossRef]
- Inglis, G.D.; Kalischuk, L.D.; Busz, H.W. Chronic shedding of Campylobacter species in beef cattle. J. Appl. Microbiol. 2004, 97, 410–420. [Google Scholar] [CrossRef]
- Inglis, G.D.; Kalischuk, L.D.; Busz, H.W. A survey of Campylobacter species shed in faeces of beef cattle using polymerase chain reaction. Can. J. Microbiol. 2003, 49, 655–661. [Google Scholar] [CrossRef]
- Inglis, G.D.; Kalischuk, L.D.; Busz, H.W.; Kastelic, J.P. Colonization of cattle intestines by Campylobacter jejuni and Campylobacter lanienae. Appl. Environ. Microbiol. 2005, 71, 5145–5153. [Google Scholar] [CrossRef]
- Thepault, A.; Poezevara, T.; Quesne, S.; Rose, V.; Chemaly, M.; Rivoal, K. Prevalence of thermophilic Campylobacter in cattle production at slaughterhouse level in France and link between C. jejuni bovine strains and campylobacteriosis. Front. Microbiol. 2018, 9, 471. [Google Scholar] [CrossRef]
- Hasselback, P. Feedlot alley and enteric illness: Are they related or is southern Alberta just a wonderful place for humans, cattle and bugs to live? Can. Lab. Med. Congr. Calg. ABCanada. 2002. [Google Scholar]
- Wysok, B.; Uradzinski, J.; Wojtacka, J. Determination of the cytotoxic activity of Campylobacter strains isolated from bovine and swine carcasses in north-eastern Poland. Pol. J. Vet. Sci. 2015, 18, 579–586. [Google Scholar] [CrossRef] [PubMed][Green Version]
- Wieczorek, K.; Denis, E.; Lynch, O.; Osek, J. Molecular characterization and antibiotic resistance profiling of Campylobacter isolated from cattle in Polish slaughterhouses. Food Microbiol. 2013, 34, 130–136. [Google Scholar] [CrossRef] [PubMed]
- Van Donkersgoed, J.; Bohaychuk, V.; Besser, T.; Song, X.M.; Wagner, B.; Hancock, D.; Renter, D.; Dargatz, D. Occurrence of foodborne bacteria in Alberta feedlots. Can. Vet. J. 2009, 50, 166–172. [Google Scholar] [PubMed]
- Hakkinen, M.; Heiska, H.; Hanninen, M.L. Prevalence of Campylobacter spp. in cattle in Finland and antimicrobial susceptibilities of bovine Campylobacter jejuni strains. Appl. Env. Microbiol. 2007, 73, 3232–3238. [Google Scholar] [CrossRef]
- Narvaez-Bravo, C.; Taboada, E.N.; Mutschall, S.K.; Aslam, M. Epidemiology of antimicrobial resistant Campylobacter spp. isolated from retail meats in Canada. Int. J. Food. Microbiol. 2017, 253, 43–47. [Google Scholar] [CrossRef]
- Llarena, A.K.; Sivonen, K.; Hanninen, M.L. Campylobacter jejuni prevalence and hygienic quality of retail bovine ground meat in Finland. Lett. Appl. Microbiol. 2014, 58, 408–413. [Google Scholar] [CrossRef]
- Zhao, S.; Young, S.R.; Tong, E.; Abbott, J.W.; Womack, N.; Friedman, S.L.; McDermott, P.F. Antimicrobial resistance of Campylobacter isolates from retail meat in the United States between 2002 and 2007. Appl. Env. Microbiol. 2010, 76, 7949–7956. [Google Scholar] [CrossRef]
- Hannon, S.J.; Inglis, G.D.; Allan, B.; Waldner, C.; Russell, M.L.; Potter, A.; Babiuk, L.A.; Townsend, H.G.G. Prevalence and risk factor investigation of Campylobacter species in retail ground beef from Alberta, Canada. Food Prot. Trends 2009, 29, 780–786. [Google Scholar]
- Cromwell, G.L. Why and how antibiotics are used in swine production. Anim. Biotechnol. 2002, 13, 7–27. [Google Scholar] [CrossRef]
- Brown, K.; Uwiera, R.R.; Kalmokoff, M.L.; Brooks, S.P.; Inglis, G.D. Antimicrobial growth promoter use in livestock: A requirement to understand their modes of action to develop effective alternatives. Int. J. Antimicrob. Agents 2017, 49, 12–24. [Google Scholar] [CrossRef]
- Inglis, G.D.; Morck, D.W.; McAllister, T.A.; Entz, T.; Olson, M.E.; Yanke, L.J.; Read, R.R. Temporal prevalence of antimicrobial resistance in Campylobacter spp. from beef cattle in Alberta feedlots. Appl. Environ. Microbiol. 2006, 72, 4088–4095. [Google Scholar] [CrossRef] [PubMed]
- Webb, A.L.; Selinger, L.B.; Taboada, E.N.; Inglis, G.D. Subtype-specific selection for resistance to fluoroquinolones but not to tetracyclines is evident in Campylobacter jejuni isolates from beef cattle in confined feeding operations in Southern Alberta, Canada. Appl. Environ. Microbiol. 2018, 84, e02713–e02717. [Google Scholar] [CrossRef] [PubMed]
- World Health Organization. WHO Publishes List of Bacteria for which New Antibiotics are Urgently Needed. Available online: http://www.who.int/mediacentre/news/releases/2017/bacteria-antibiotics-needed/en/ (accessed on 20 December 2019).
- Canadian Council on Animal Care. Guidelines on: Laboratory Animal Facilities—Characteristics, Design and Development. Available online: https://www.ccac.ca/Documents/Standards/Guidelines/Facilities.pdf (accessed on 20 December 2019).
- Reti, K.L.; Thomas, M.C.; Yanke, L.J.; Selinger, L.B.; Inglis, G.D. Effect of antimicrobial growth promoter administration on the intestinal microbiota of beef cattle. Gut Pathog. 2013, 5, 8. [Google Scholar] [CrossRef] [PubMed]
- Inglis, G.D.; McAllister, T.A.; Busz, H.W.; Yanke, L.J.; Morck, D.W.; Olson, M.E.; Read, R.R. Effects of subtherapeutic administration of antimicrobial agents to beef cattle on the prevalence of antimicrobial resistance in Campylobacter jejuni and Campylobacter hyointestinalis. Appl. Environ. Microbiol. 2005, 71, 3872–3881. [Google Scholar] [CrossRef] [PubMed]
- Inglis, G.D.; Gusse, J.G.; House, K.E.; Shelton, T.G.; Taboada, E.N. Clinically-relevant Campylobacter jejuni subtypes are readily found and transmitted within the cattle production continuum but present a limited foodborne risk. Appl. Environ. Microbiol. 2020, in press. [Google Scholar] [CrossRef] [PubMed]
- Linton, D.; Owen, R.J.; Stanley, J. Rapid identification by PCR of the genus Campylobacter and of five Campylobacter species enteropathogenic for man and animals. Res. Microbiol. 1996, 147, 707–718. [Google Scholar] [CrossRef]
- Inglis, G.D.; Zaytsoff, S.J.M.; Selinger, L.B.; Taboada, E.N.; Uwiera, R.R.E. Therapeutic administration of enrofloxacin in mice does not select for fluoroquinolone resistance in Campylobacter jejuni. Can. J. Microbiol. 2018, 64, 681–694. [Google Scholar] [CrossRef]
- Clinical and Laboratory Standards Institute. Methods for antimicrobial dilution and disk susceptibility testing of infrequently isolated or fastidious bacteria; approved guideline. M45-A. Clin. Lab. Stand. Inst. 2006, 26, 1–61. [Google Scholar]
- National Animal Health Monitoring System. Feedlot Report Part III: Health Management and Biosecurity in US Feedlots. Available online: http://www.aphis.usda.gov/animal_health/nahms/ (accessed on 20 December 2019).
- Taboada, E.N.; Ross, S.L.; Mutschall, S.K.; Mackinnon, J.M.; Roberts, M.J.; Buchanan, C.J.; Kruczkiewicz, P.; Jokinen, C.C.; Thomas, J.E.; Nash, J.H.; et al. Development and validation of a comparative genomic fingerprinting method for high-resolution genotyping of Campylobacter jejuni. J. Clin. Microbiol. 2012, 50, 788–797. [Google Scholar] [CrossRef]
- National Antimicrobial Resistance Monitoring System. NARMS 2010 Executive Report. 2010. Available online: https://www.fda.gov/downloads/animalveterinary/safetyhealth/antimicrobialresistance/nationalantimicrobialresistancemonitoringsystem/ucm312360.pdf (accessed on 20 December 2019).
- Inglis, G.D.; McAllister, T.A.; Larney, F.J.; Topp, E. Prolonged survival of Campylobacter species in bovine manure compost. Appl. Env. Microbiol. 2010, 76, 1110–1119. [Google Scholar] [CrossRef]
- Lone, A.G.; Selinger, L.B.; Uwiera, R.R.; Xu, Y.; Inglis, G.D. Campylobacter jejuni colonization is associated with a dysbiosis in the cecal microbiota of mice in the absence of prominent inflammation. PLoS ONE 2013, 8, e75325. [Google Scholar] [CrossRef] [PubMed]
- Abnous, K.; Brooks, S.P.; Kwan, J.; Matias, F.; Green-Johnson, J.; Selinger, L.B.; Thomas, M.; Kalmokoff, M. Diets enriched in oat bran or wheat bran temporally and differentially alter the composition of the fecal community of rats. J. Nutr. 2009, 139, 2024–2031. [Google Scholar] [CrossRef] [PubMed]
- Peak, N.; Knapp, C.W.; Yang, R.K.; Hanfelt, M.M.; Smith, M.S.; Aga, D.S.; Graham, D.W. Abundance of six tetracycline resistance genes in wastewater lagoons at cattle feedlots with different antibiotic use strategies. Environ. Microbiol. 2007, 9, 143–151. [Google Scholar] [CrossRef] [PubMed]
- Wu, N.; Qiao, M.; Zhang, B.; Cheng, W.D.; Zhu, Y.G. Abundance and diversity of tetracycline resistance genes in soils adjacent to representative swine feedlots in China. Environ. Sci. Technol. 2010, 44, 6933–6939. [Google Scholar] [CrossRef]
- Lanz, R.; Kuhnert, P.; Boerlin, P. Antimicrobial resistance and resistance gene determinants in clinical Escherichia coli from different animal species in Switzerland. Vet. Microbiol. 2003, 91, 73–84. [Google Scholar] [CrossRef]
- Kalmokoff, M.; Waddington, L.M.; Thomas, M.; Liang, K.L.; Ma, C.; Topp, E.; Dandurand, U.D.; Letellier, A.; Matias, F.; Brooks, S.P. Continuous feeding of antimicrobial growth promoters to commercial swine during the growing/finishing phase does not modify faecal community erythromycin resistance or community structure. J. Appl. Microbiol. 2011, 110, 1414–1425. [Google Scholar] [CrossRef]
- Alexander, T.W.; Yanke, J.L.; Reuter, T.; Topp, E.; Read, R.R.; Selinger, B.L.; McAllister, T.A. Longitudinal characterization of antimicrobial resistance genes in feces shed from cattle fed different subtherapeutic antibiotics. BMC Microbiol 2011, 11, 19. [Google Scholar] [CrossRef]
- Aminov, R.I.; Garrigues-Jeanjean, N.; Mackie, R.I. Molecular ecology of tetracycline resistance: Development and validation of primers for detection of tetracycline resistance genes encoding ribosomal protection proteins. Appl. Environ. Microbiol. 2001, 67, 22–32. [Google Scholar] [CrossRef]
- Scott, K.P.; Melville, C.M.; Barbosa, T.M.; Flint, H.J. Occurrence of the new tetracycline resistance gene tet(W) in bacteria from the human gut. Antimicrob. Agents. Chemother. 2000, 44, 775–777. [Google Scholar] [CrossRef]
- Li, W.; Atkinson, G.C.; Thakor, N.S.; Allas, U.; Lu, C.C.; Chan, K.Y.; Tenson, T.; Schulten, K.; Wilson, K.S.; Hauryliuk, V.; et al. Mechanism of tetracycline resistance by ribosomal protection protein Tet(O). Nat. Commun. 2013, 4, 1477. [Google Scholar] [CrossRef]
- Chopra, I.; Roberts, M. Tetracycline antibiotics: Mode of action, applications, molecular biology, and epidemiology of bacterial resistance. Microbiol. Mol. Biol. Rev. 2001, 65, 232–260. [Google Scholar] [CrossRef]
- Connell, S.R.; Tracz, D.M.; Nierhaus, K.H.; Taylor, D.E. Ribosomal protection proteins and their mechanism of tetracycline resistance. Antimicrob. Agents Chemother. 2003, 47, 3675–3681. [Google Scholar] [CrossRef] [PubMed]
- Barbosa, T.M.; Scott, K.P.; Flint, H.J. Evidence for recent intergeneric transfer of a new tetracycline resistance gene, tet(W), isolated from Butyrivibrio fibrisolvens, and the occurrence of tet(O) in ruminal bacteria. Environ. Microbiol. 1999, 1, 53–64. [Google Scholar] [CrossRef] [PubMed]
- Kazimierczak, K.A.; Flint, H.J.; Scott, K.P. Comparative analysis of sequences flanking tet(W) resistance genes in multiple species of gut bacteria. Antimicrob. Agents Chemother. 2006, 50, 2632–2639. [Google Scholar] [CrossRef] [PubMed]
- Brown, K.; Zaytsoff, S.J.; Uwiera, R.R.; Inglis, G.D. Antimicrobial growth promoters modulate host responses in mice with a defined intestinal microbiota. Sci. Rep. 2016, 6, 38377. [Google Scholar] [CrossRef] [PubMed]
- Public Health Agency of Canada. Responsible Use of Medically Important Antimicrobials in Animals. Available online: https://www.canada.ca/en/public-health/services/antibiotic-antimicrobial-resistance/animals/actions/responsible-use-antimicrobials.html (accessed on 20 December 2019).
- Mirzaagha, P.; Louie, M.; Sharma, R.; Yanke, L.J.; Topp, E.; McAllister, T.A. Distribution and characterization of ampicillin- and tetracycline-resistant Escherichia coli from feedlot cattle fed subtherapeutic antimicrobials. BMC Mcrobiol. 2011, 11, 78. [Google Scholar] [CrossRef][Green Version]
- Gibreel, A.; Tracz, D.M.; Nonaka, L.; Ngo, T.M.; Connell, S.R.; Taylor, D.E. Incidence of antibiotic resistance in Campylobacter jejuni isolated in Alberta, Canada, from 1999 to 2002, with special reference to tet(O)-mediated tetracycline resistance. Antimicrob. Agents Chemother. 2004, 48, 3442–3450. [Google Scholar] [CrossRef]
- Larkin, C.; Van Donkersgoed, C.; Mahdi, A.; Johnson, P.; McNab, B.; Odumeru, J. Antibiotic resistance of Campylobacter jejuni and Campylobacter coli isolated from hog, beef, and chicken carcass samples from provincially inspected abattoirs in Ontario. J. Food Prot. 2006, 69, 22–26. [Google Scholar] [CrossRef]
- Rahimi, E.; Ameri, M.; Alimoradi, M.; Chakeri, A.; Bahrami, A.R. Prevalence and antimicrobial resistance of Campylobacter jejuni and Campylobacter coli isolated from raw camel, beef, and water buffalo meat in Iran. Comp. Clin. Pathol. 2013, 22, 467–473. [Google Scholar] [CrossRef]
- Premarathne, J.; Anuar, A.S.; Thung, T.Y.; Satharasinghe, D.A.; Jambari, N.N.; Abdul-Mutalib, N.A.; Huat, J.T.Y.; Basri, D.F.; Rukayadi, Y.; Nakaguchi, Y.; et al. Prevalence and antibiotic resistance against tetracycline in Campylobacter jejuni and C. coli in cattle and beef meat from Selangor, Malaysia. Front. Microbiol. 2017, 8, 2254. [Google Scholar] [CrossRef]
- Thibodeau, A.; Fravalo, P.; Taboada, E.N.; Laurent-Lewandowski, S.; Guevremont, E.; Quessy, S.; Letellier, A. Extensive characterization of Campylobacter jejuni chicken isolates to uncover genes involved in the ability to compete for gut colonization. BMC Microbiol. 2015, 15, 97. [Google Scholar] [CrossRef] [PubMed][Green Version]
- De Haan, C.P.; Kivisto, R.I.; Hakkinen, M.; Corander, J.; Hanninen, M.L. Multilocus sequence types of Finnish bovine Campylobacter jejuni isolates and their attribution to human infections. BMC Microbiol. 2010, 10, 200. [Google Scholar] [CrossRef] [PubMed]
- Backert, S.; Tegtmeyer, N.; Cróinín, T.O.; Boehm, M.; Heimesaat, M.M. Human campylobacteriosis. In Campylobacter: Features, Detection, and Prevention of Foodborne Disease; Academic Press: Amsterdam, The Netherlands, 2017; pp. 1–25. [Google Scholar] [CrossRef]
- Bosilevac, J.M.; Guerini, M.N.; Brichta-Harhay, D.M.; Arthur, T.M.; Koohmaraie, M. Microbiological characterization of imported and domestic boneless beef trim used for ground beef. J. Food Prot. 2007, 70, 440–449. [Google Scholar] [CrossRef] [PubMed]
- Phillips, D.; Jordan, D.; Morris, S.; Jenson, I.; Sumner, J. A national survey of the microbiological quality of retail raw meats in Australia. J. Food Prot. 2008, 71, 1232–1236. [Google Scholar] [CrossRef] [PubMed]
- Wong, T.L.; Hollis, L.; Cornelius, A.; Nicol, C.; Cook, R.; Hudson, J.A. Prevalence, numbers, and subtypes of Campylobacter jejuni and Campylobacter coli in uncooked retail meat samples. J. Food Prot. 2007, 70, 566–573. [Google Scholar] [CrossRef] [PubMed]
- Zhao, C.; Ge, B.; De Villena, J.; Sudler, R.; Yeh, E.; Zhao, S.; White, D.G.; Wagner, D.; Meng, J. Prevalence of Campylobacter spp., Escherichia coli, and Salmonella serovars in retail chicken, turkey, pork, and beef from the Greater Washington, D.C., area. Appl. Environ. Microbiol. 2001, 67, 5431–5436. [Google Scholar] [CrossRef]
- Hong, J.; Kim, J.M.; Jung, W.K.; Kim, S.H.; Bae, W.; Koo, H.C.; Gil, J.; Kim, M.; Ser, J.; Park, Y.H. Prevalence and antibiotic resistance of Campylobacter spp. isolated from chicken meat, pork, and beef in Korea, from 2001 to 2006. J. Food Prot. 2007, 70, 860–866. [Google Scholar] [CrossRef]
- Silva, J.; Leite, D.; Fernandes, M.; Mena, C.; Gibbs, P.A.; Teixeira, P. Campylobacter spp. as a foodborne pathogen: A review. Front. Microbiol. 2011, 2, 200. [Google Scholar] [CrossRef]







© 2019 by the “Her Majesty the Queen in Right of Canada” for possible open access publication under the terms and conditions of the Creative Commons Attribution (CC BY) license (http://creativecommons.org/licenses/by/4.0/).
Share and Cite
Inglis, G.D.; Gusse, J.F.; House, K.E.; Shelton, T.G.; Taboada, E.N. Tetracycline Resistant Campylobacter jejuni Subtypes Emanating from Beef Cattle Administered Non-Therapeutic Chlortetracycline are Longitudinally Transmitted within the Production Continuum but are Not Detected in Ground Beef. Microorganisms 2020, 8, 23. https://doi.org/10.3390/microorganisms8010023
Inglis GD, Gusse JF, House KE, Shelton TG, Taboada EN. Tetracycline Resistant Campylobacter jejuni Subtypes Emanating from Beef Cattle Administered Non-Therapeutic Chlortetracycline are Longitudinally Transmitted within the Production Continuum but are Not Detected in Ground Beef. Microorganisms. 2020; 8(1):23. https://doi.org/10.3390/microorganisms8010023
Chicago/Turabian StyleInglis, G. Douglas, Jenny F. Gusse, Kathaleen E. House, Tara G. Shelton, and Eduardo N. Taboada. 2020. "Tetracycline Resistant Campylobacter jejuni Subtypes Emanating from Beef Cattle Administered Non-Therapeutic Chlortetracycline are Longitudinally Transmitted within the Production Continuum but are Not Detected in Ground Beef" Microorganisms 8, no. 1: 23. https://doi.org/10.3390/microorganisms8010023
APA StyleInglis, G. D., Gusse, J. F., House, K. E., Shelton, T. G., & Taboada, E. N. (2020). Tetracycline Resistant Campylobacter jejuni Subtypes Emanating from Beef Cattle Administered Non-Therapeutic Chlortetracycline are Longitudinally Transmitted within the Production Continuum but are Not Detected in Ground Beef. Microorganisms, 8(1), 23. https://doi.org/10.3390/microorganisms8010023
