Industrial Validation of a Promising Functional Strain of Lactobacillus plantarum to Improve the Quality of Italian Sausages
Abstract
1. Introduction
2. Materials and Methods
2.1. Microorganisms
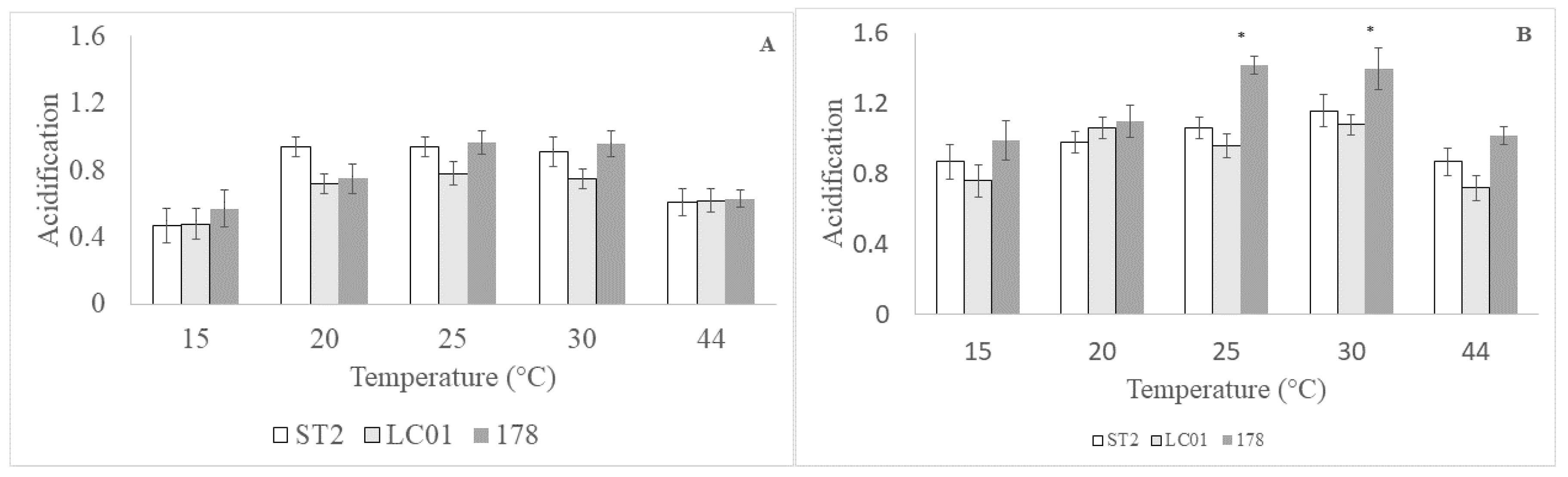
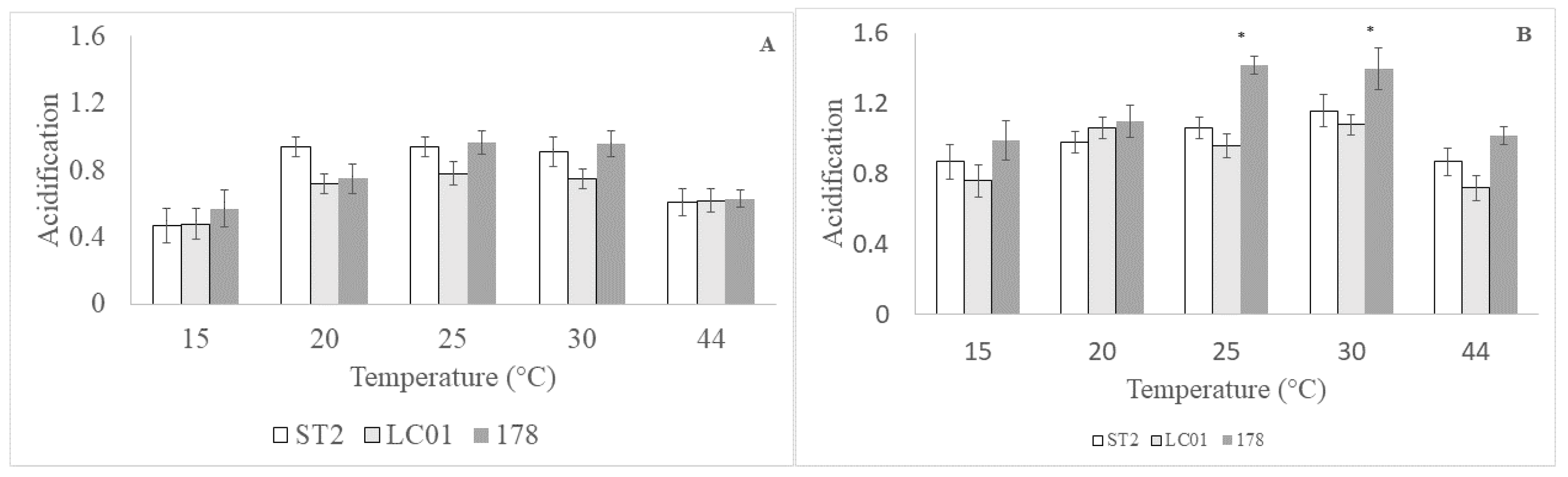
2.2. Acidification
2.3. Bioactivity toward Foodborne Pathogens
2.4. Industrial Fermentation
- (a)
- The pH was measured on sausage homogenate through a pH meter Crison 2001 (Crison Instruments, Barcelona, Spain).
- (b)
- Color was monitored by colorimetric measurements using a Tristimulus Colorimeter Chromameter-2 Reflectance (Minolta, Osaka, Japan), equipped with a CR-300 measuring head. The instrument was standardized against a white tile before each determination. The color of the sausages was determined by a Hunter scale as L * (brightness), a * and b * (hue and saturation of the color). Data were the average of at least five repetitions.
- (c)
- Water activity measurements were performed by using a hygrometer AQUA LAB CX-2 (Decagon Device, Pullman, WA, USA).
- (d)
- Moisture content was measured by using Sartorius Thermal Balance (Antela, Florence, Italy), at 130 °C until the samples reached a constant weight.
2.5. Statistic
3. Results and Discussion
3.1. Preliminary Validation
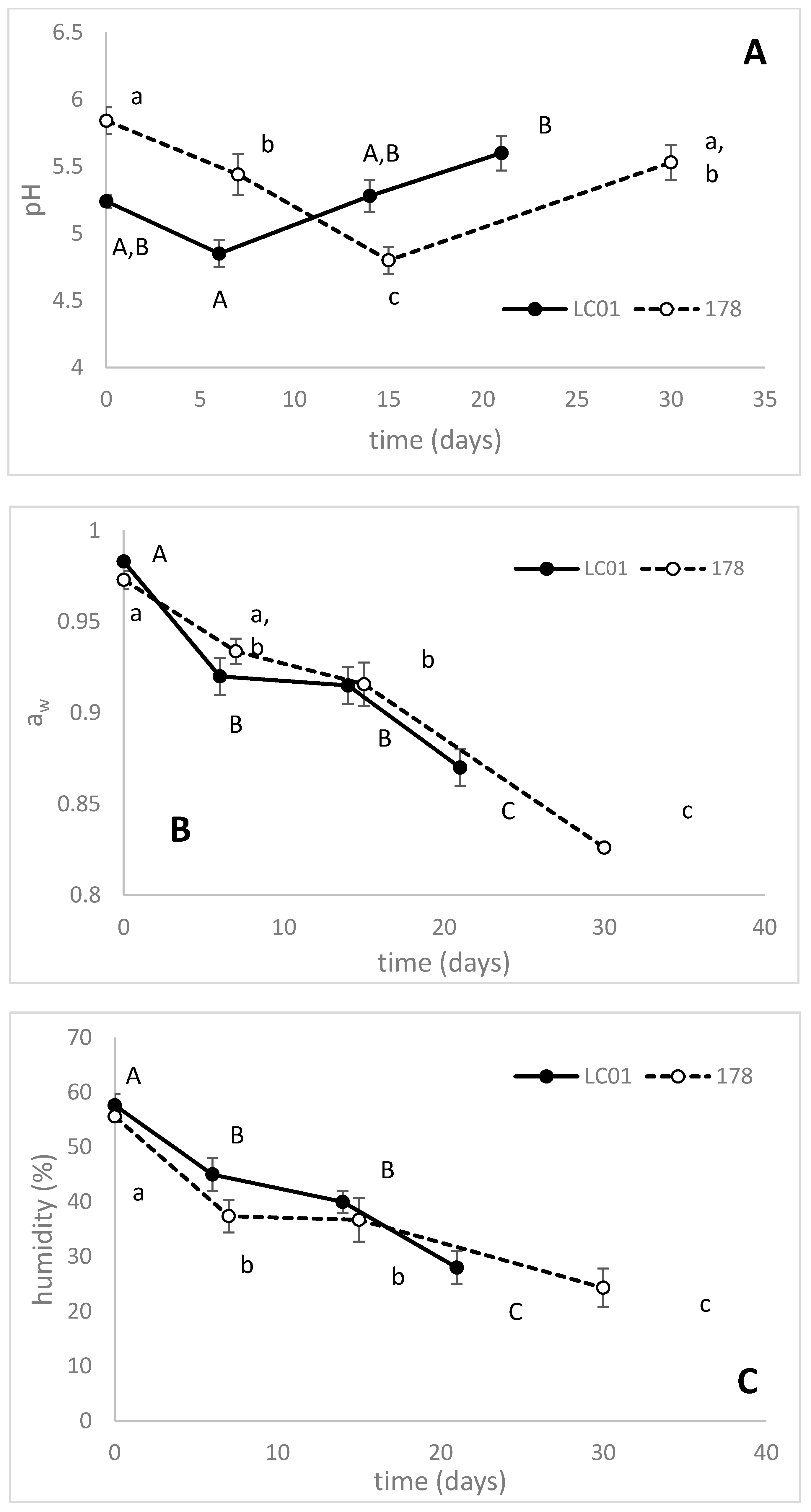
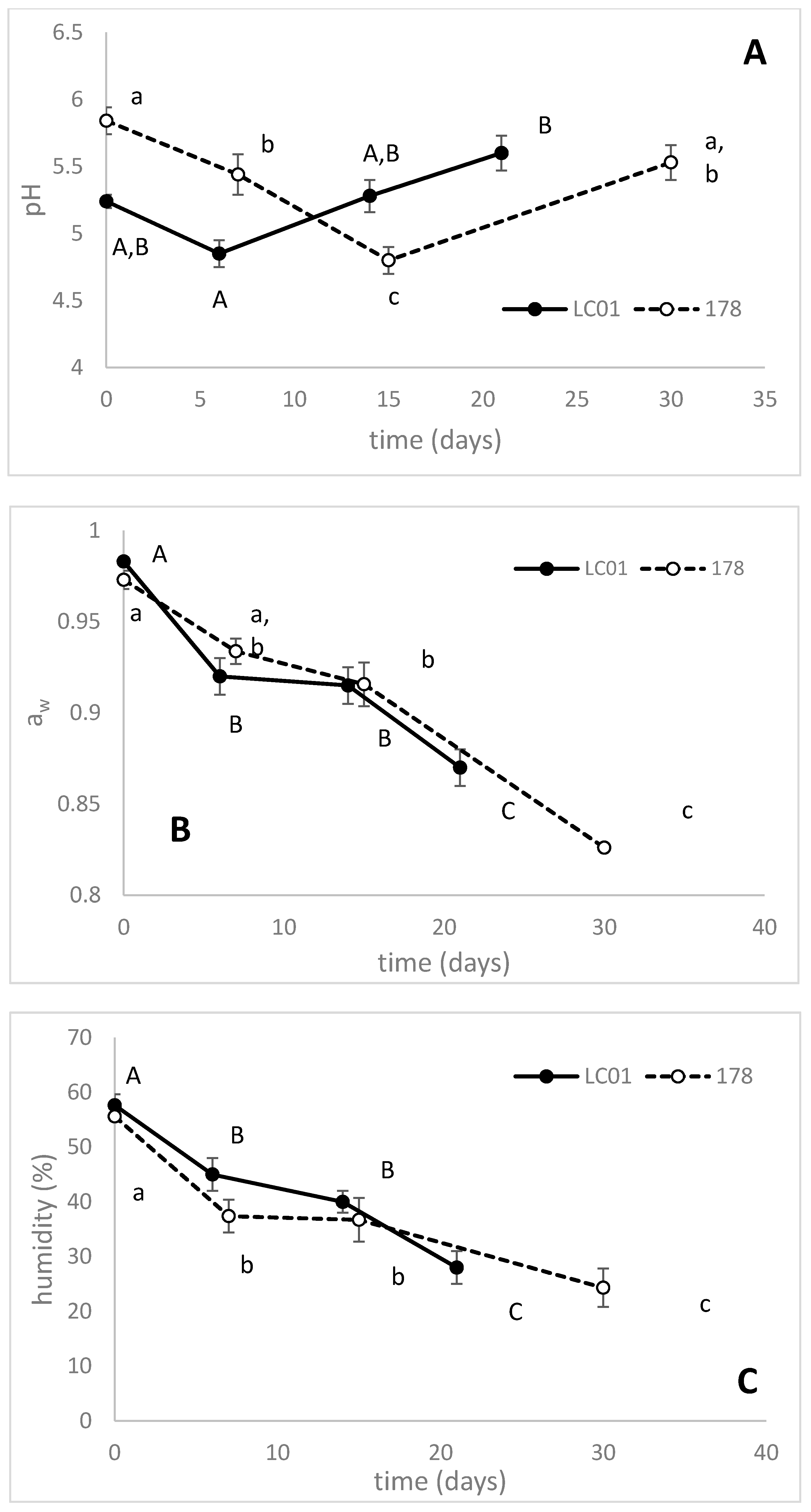
3.2. Validation at Industrial Level
4. Conclusions
Author Contributions
Funding
Conflicts of Interest
References
- Bevilacqua, A.; Corbo, M.R.; Speranza, B.; Di Maggio, B.; Gallo, M.; Sinigaglia, M. Functional Starter Cultures for Meat: A Case Study on Technological and Probiotic Characterization. Food Nutr. Sci. 2015, 6, 511–522. [Google Scholar] [CrossRef][Green Version]
- Krockel, L. Chapter 5—The role of lactic acid bacteria. In Lactic Acid Bacteria—R & D for Food, Health and Livestock Purposes; Kongo, M., Ed.; InTech Open Publishing: Rijeka, Croatia, 2013; pp. 129–152. [Google Scholar]
- Zeng, H.; Yan, Y.; Liberti, F.; Bartocci, P.; Fantozzi, F. Technical and economic feasibility analysis of an anerobic digestion plant fed with canteen food waste. Energy Convers. Manag. 2019, 180, 938–948. [Google Scholar]
- Landeta, G.; Curiel, J.A.; Carrascosa, A.V.; Muñoz, R.; de las Rivas, B. Technological and safety properties of lactic acid bacteria isolated from Spanish dry-cured sausages. Meat Sci. 2013, 95, 272–280. [Google Scholar] [CrossRef] [PubMed]
- Ammor, M.S.; Mayo, B. Selection criteria for lactic acid bacteria to be used as functional starter cultures in dry sausage production: An update. Meat Sci. 2007, 76, 138–146. [Google Scholar] [CrossRef] [PubMed]
- Coelho, S.R.; Lima, I.A.; Martins, M.L.; Junior, A.A.B.; Filho, R.A.T.; Ramos, A.L.S.; Ramos, E.M. Application of Lactobacillus paracasei LPC02 and lactulose as a potential symbiotic system in the manufacture of dry-fermented sausage. LWT Food Sci. Technol. 2019, 102, 254–259. [Google Scholar] [CrossRef]
- Ge, Q.; Chen, S.; Liu, R.; Chen, L.; Yang, B.; Yu, H.; Wu, M.; Zhang, W.; Zhou, G. Effects of Lactobacillus plantarum NJAU-01 on the protein oxidation of fermented sausage. Food Chem. 2019, 295, 361–367. [Google Scholar] [CrossRef]
- Macedo, R.E.F.; Pflanzer, S.B., Jr.; Terra, N.N.; Freitas, R.J.S. Desenvolvimento de um embutido fermentado por Lactobacillus probióticos: Características de qualidade. Ciência Tecnol. Alime. 2008, 28, 509–519. [Google Scholar] [CrossRef]
- Rebucci, R.; Sangalli, L.; Fava, M.; Bersani, C.; Cantoni, C.; Baldi, A. Evaluation of functional aspects in Lactobacillus strains isolated from dry fermented sausages. J. Food Qual. 2007, 30, 187–201. [Google Scholar] [CrossRef]
- Corbo, M.R.; Bevilacqua, A.; Speranza, B.; Di Maggio, B.; Gallo, M.; Sinigaglia, M. Use of alginate beads as carriers for lactic acid bacteria in a structured system and preliminary validation in a meat product. Meat Sci. 2016, 111, 198–203. [Google Scholar] [CrossRef]
- Corbo, M.R.; Bevilacqua, A.; Speranza, B.; Gallo, M.; Campaniello, D.; Sinigaglia, M. Selection of lactic acid bacteria for sausages: Design of a selection protocol combining statistic tools, technological and functional properties. LWT Food Sci. Technol. 2017, 81, 144–152. [Google Scholar] [CrossRef]
- Zambonelli, C.; Tini, V.; Giudici, P.; Grazia, L. Microbiologia Degli Alimenti Fermentati, 1st ed.; Edagricole: Bologna, Italy, 2001. [Google Scholar]
- Benito, M.J.; Martìn, A.; Arandam, E.; Pérez-Nevado, F.; Ruiz-Moyano, S.; Còrdoba, M.G. Characterization and selection of autochthonous lactic acid bacteria isolated from traditional Iberian dry-fermented salchichòn and chorizo sausages. J. Food Sci. 2007, 72, M193–M201. [Google Scholar] [CrossRef] [PubMed]
- Bonomo, M.G.; Ricciardi, A.; Zotta, T.; Sico, M.A.; Salzano, G. Technological and safety characterization of coagulase-negative staphylococci from traditionally fermented sausages of Basilicata Region (Southern Italy). Meat Sci. 2009, 83, 15–23. [Google Scholar] [CrossRef] [PubMed]
- Talon, R.; Leroy, S.; Lebert, I. Microbial ecosystems of traditional fermented meat products: The importance of indigenous starters. Meat Sci. 2007, 77, 55–62. [Google Scholar] [CrossRef]
- Cocolin, L.; Dolci, P.; Rantsiou, K. Biodiversity and dynamics of meat fermentations: The contribution of molecular methods for a better comprehension of a complex ecosystem. Meat Sci. 2011, 89, 296–302. [Google Scholar] [CrossRef] [PubMed]
- Hugas, M.; Monfort, J.M. Bacterial starter cultures for meat fermentation. Food Chem. 1997, 59, 547–554. [Google Scholar] [CrossRef]
- Carnevali, P.; Ciati, R.; Leporati, A.; Paese, A. Liquid sourdough fermentation: Industrial application perspectives. Food Microbiol. 2007, 24, 150–154. [Google Scholar] [CrossRef] [PubMed]
- Mataragas, M.; Bellio, A.; Rovetto, F.; Astegiano, S.; Decastelli, L.; Cocolin, L. Risk-based control of food-borne pathogens Listeria monocytogenes and Salmonella enterica in the Italian fermented sausages Cacciatore and Felino. Meat Sci. 2015, 103, 39–45. [Google Scholar] [CrossRef]
- Cenci-Coga, B.T.; Karama, M.; Sechi, P.; Iuletto, M.F.; Grispoldi, L.; Selvaggini, R.; Ceccarelli, M.; Barbera, S. Fate of selected pathogens in spiked «SALAME NOSTRANO» produced without added nitrates following the application of NONIT™ technology. Meat Sci. 2008, 139, 247–254. [Google Scholar] [CrossRef]
- Fieira, C.; Marchi, J.F.; Marafão, D.; da Trindade, A.A. The impact of the partial replacement of sodium chloride in the development of starter cultures during Italian salami production. Braz. J. Food Technol. 2018, 21, e2015036. [Google Scholar] [CrossRef][Green Version]
- Babić, I.; Markov, K.; Kovačević, D.; Trontel, A.; Slavica, A.; Đugum, J.; Čvek, D.; Svetec, I.K.; Posavec, S.; Frece, J. Identification and characterization of potential autochthonous starter cultures from a Croatian “brand” product “Slavonski kulen”. Meat Sci. 2011, 88, 517–524. [Google Scholar] [CrossRef]
- Di Luccia, A.; Tremonte, P.; Trani, A.; Loizzo, P.; La Gatta, B.; Succi, M.; Sorrentino, E.; Coppola, R. Influence of starter cultures and KCl on some biochemical, microbiological and sensory features of soppressata molisana, an Italian fermented sausage. Eur. Food Res. Technol. 2016, 242, 855–867. [Google Scholar] [CrossRef]
- Zambonelli, C.; Papa, F.; Romano, P.; Suzzi, G.; Grazia, L. Microbiologia dei Salumi; Edagricole: Bologna, Italy, 1992. [Google Scholar]
- Lebert, I.; Leroy, S.; Giammarinaro, P.; Lebert, A.; Chacornac, J.P.; Bover-Cid, S.; Vidal-Carou, M.C.; Talon, R. Diversity of microorganisms in the environment and dry fermented sausages of small traditional French processing units. Meat Sci. 2007, 76, 112–122. [Google Scholar] [CrossRef] [PubMed]
- Tabanelli, G.; Coloretti, F.; Chiavari, C.; Grazia, L.; Lanciotti, R.; Gardini, F. Effects of starter cultures and fermentation climate on the properties of two types of typical Italian dry fermented sausages produced under industrial conditions. Food Control 2012, 26, 416–426. [Google Scholar] [CrossRef]
- Comi, G.; Urso, R.; Iacumin, L.; Rantsiou, K.; Cattaneo, P.; Cantoni, C.; Cocolin, L. Characterisation of naturally fermented sausages produced in the North East of Italy. Meat Sci. 2005, 69, 381–392. [Google Scholar] [CrossRef]
- Holko, I.; Hrabě, J.; Šalaková, A.; Rada, V. The substitution of a traditional starter culture in mutton fermented sausages by Lactobacillus acidophilus and Bifidobacterium animalis. Meat Sci. 2013, 94, 275–279. [Google Scholar] [CrossRef]
- Dalla Santa, O.R.; de Macedo, R.E.F.; Dalla Santa, H.S.; Zanette, C.M.; de Freitas, R.J.S.; Terra, N.N. Use of starter cultures isolated from native microbiota of artisanal sausage in the production of Italian sausage. Food Sci. Technol. 2014, 34, 780–786. [Google Scholar] [CrossRef][Green Version]
- Gounadaki, A.; Skandamis, P.; Drosinos, E.H.; Nychas, G.J.E. Survival of Listeria monocytogenes during the fermentation and ripening process of sausages. In Proceedings of the 1st Hellenic Symposium in Food Biotechnology and Technology; Association of Greek Chemists and Hellenic Association of Chemical Engineers: Athens, Greece, 2005; pp. 436–441. [Google Scholar]
- Speranza, B.; Bevilacqua, A.; Corbo, M.R.; Sinigaglia, M. A possible approach to assess acidification of meat starter cultures: A case study from some wild strains of Lactobacillus plantarum. J. Sci. Food Agric. 2017, 97, 2961–2968. [Google Scholar] [CrossRef]






| 6 h | 24 h | |
|---|---|---|
| Temperature | ** | ns |
| Strains | ns | ns |
| Temperature/strains | ns | * |
| 15 °C | 25 °C | 30 °C | ||
|---|---|---|---|---|
| Cell Culture | E. coli | 0.55 | 0.5 | 0.45 |
| L. monocytogenes | - | 1 | 1.4 | |
| Salmonella | 0.8 | 0.35 | 0.3 | |
| Staph. aureus | 0.95 | 0.7 | 0.9 | |
| Supernatant | E. coli | 0.45 | 0.35 | 0.3 |
| L. monocytogenes | 0.5 | 0.25 | 0.4 | |
| Salmonella | 0.55 | 0.35 | 0.3 | |
| Staph. aureus | 0.5 | 0.4 | 0.3 | |
| Buffered Supernatant | E. coli | - | - | - |
| L. monocytogenes | - | - | - | |
| Salmonella | - | - | - | |
| Staph. aureus | - | - | - |
© 2020 by the authors. Licensee MDPI, Basel, Switzerland. This article is an open access article distributed under the terms and conditions of the Creative Commons Attribution (CC BY) license (http://creativecommons.org/licenses/by/4.0/).
Share and Cite
Campaniello, D.; Speranza, B.; Bevilacqua, A.; Altieri, C.; Rosaria Corbo, M.; Sinigaglia, M. Industrial Validation of a Promising Functional Strain of Lactobacillus plantarum to Improve the Quality of Italian Sausages. Microorganisms 2020, 8, 116. https://doi.org/10.3390/microorganisms8010116
Campaniello D, Speranza B, Bevilacqua A, Altieri C, Rosaria Corbo M, Sinigaglia M. Industrial Validation of a Promising Functional Strain of Lactobacillus plantarum to Improve the Quality of Italian Sausages. Microorganisms. 2020; 8(1):116. https://doi.org/10.3390/microorganisms8010116
Chicago/Turabian StyleCampaniello, Daniela, Barbara Speranza, Antonio Bevilacqua, Clelia Altieri, Maria Rosaria Corbo, and Milena Sinigaglia. 2020. "Industrial Validation of a Promising Functional Strain of Lactobacillus plantarum to Improve the Quality of Italian Sausages" Microorganisms 8, no. 1: 116. https://doi.org/10.3390/microorganisms8010116
APA StyleCampaniello, D., Speranza, B., Bevilacqua, A., Altieri, C., Rosaria Corbo, M., & Sinigaglia, M. (2020). Industrial Validation of a Promising Functional Strain of Lactobacillus plantarum to Improve the Quality of Italian Sausages. Microorganisms, 8(1), 116. https://doi.org/10.3390/microorganisms8010116

