Effect of a Combination of Prebiotic Supplements Based on Fucus and Kelp on the Gut Microbiome of Mice with Induced Inflammation
Abstract
1. Introduction
2. Materials and Methods
2.1. Objects of Research
2.2. Histological Study
2.3. Generation of Sequencing Libraries on the DNBSEQ-G50 Platform
2.4. Bioinformatic and Statistical Analysis
3. Results
3.1. Histology
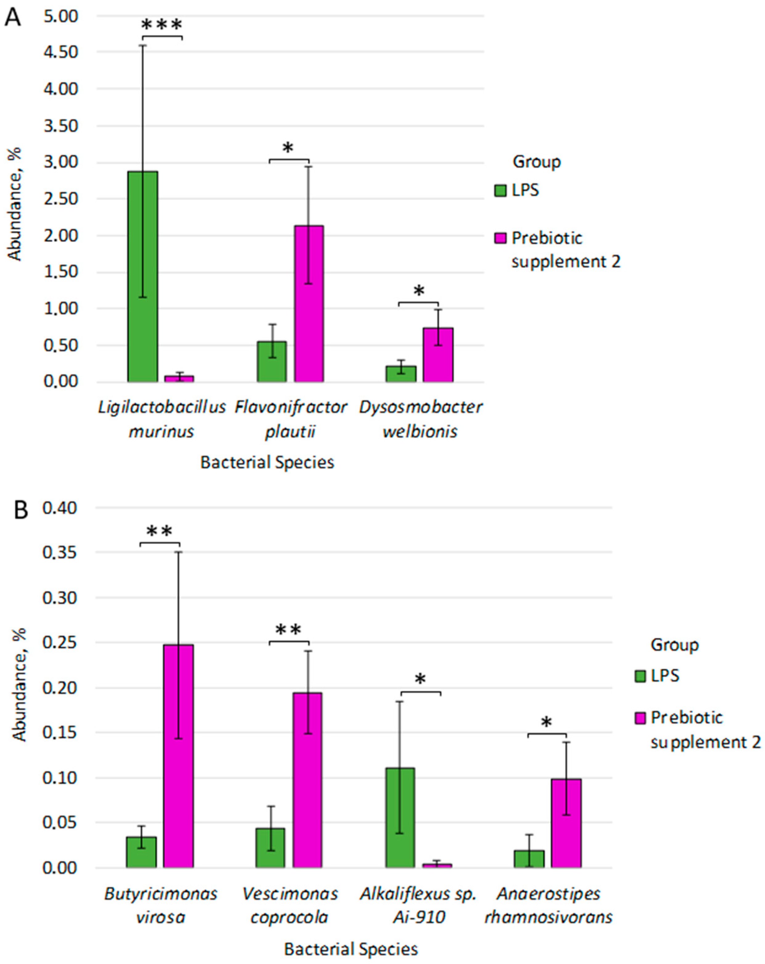
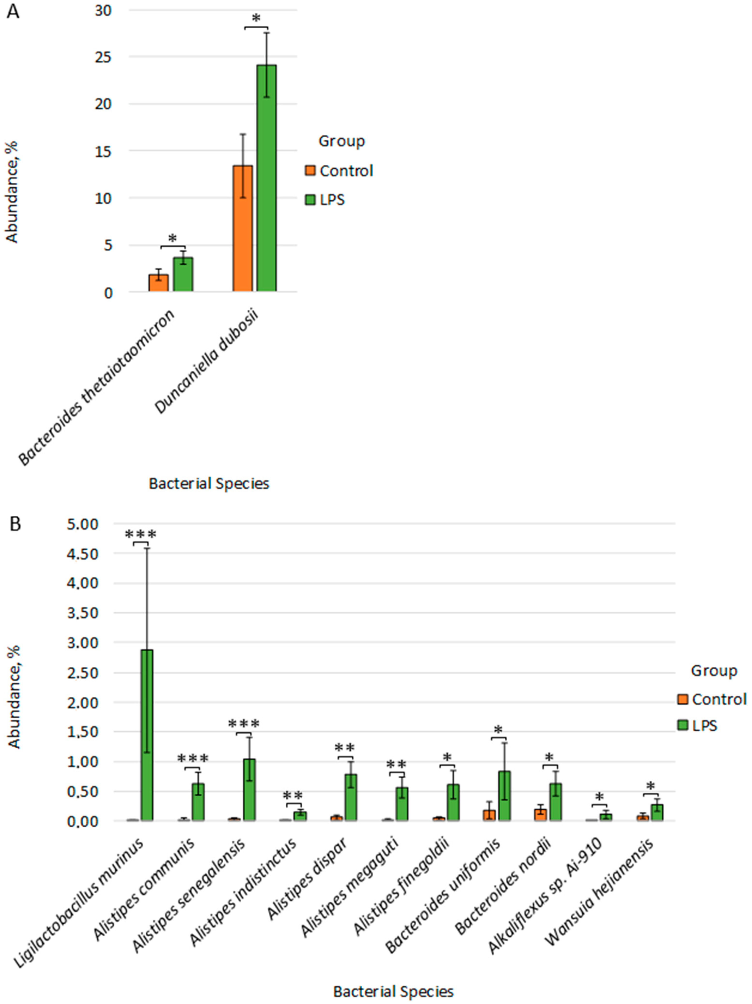
3.2. Sequencing Results on the DNBSEQ-G50 Platform
4. Discussion
5. Conclusions
Author Contributions
Funding
Institutional Review Board Statement
Informed Consent Statement
Data Availability Statement
Conflicts of Interest
Abbreviations
| LPS | Lipopolysaccharide |
| UDB | Union Database |
| cDNA | Complementary DNA |
| PCR | Polymerase chain reaction |
| dsDNA | Double-Stranded DNA |
| ssDNA | Single-stranded DNA |
| PE | Paired-End |
| FCL | Flow Cell Large |
| FCS | Flow Cell Small |
| MetaPhlAn | Metagenomic Phylogenetic Analysis |
| MaAsLin | Multivariate Analysis by Linear Models |
References
- Shannon, E.; Conlon, M.; Hayes, M. Seaweed Components as Potential Modulators of the Gut Microbiota. Mar. Drugs 2021, 19, 358. [Google Scholar] [CrossRef]
- Barkia, I.; Saari, N.; Manning, S.R. Microalgae for High-Value Products Towards Human Health and Nutrition. Mar. Drugs 2019, 17, 304. [Google Scholar] [CrossRef]
- Fries-Craft, K.; Meyer, M.M.; Bobeck, E.A. Algae-Based Feed Ingredient Protects Intestinal Health during Eimeria Challenge and Alters Systemic Immune Responses with Differential Outcomes Observed during Acute Feed Restriction. Poult. Sci. 2021, 100, 101369. [Google Scholar] [CrossRef]
- Wang, Y.; Tibbetts, S.M.; McGinn, P.J. Microalgae as Sources of High-Quality Protein for Human Food and Protein Supplements. Foods 2021, 10, 3002. [Google Scholar] [CrossRef]
- Pandey, D.; Doncheva, A.I.; Sapkota, R.; Jüterbock, A.O.; Kiron, V.; Dalen, K.T.; Khanal, P. Dietary Inclusions of the Brown Macroalgae, Ascophyllum nodosum and Fucus vesiculosus, Favourably Modulate Fat Deposition and the Caecal Microbiome of Obese Mice. Food Biosci. 2025, 68, 106590. [Google Scholar] [CrossRef]
- Xue, M.; Liang, H.; Ji, X.; Zhou, Z.; Liu, Y.; Sun, T.; Zhang, L. Effects of Fucoidan on Gut Flora and Tumor Prevention in 1,2-Dimethylhydrazine-Induced Colorectal Carcinogenesis. J. Nutr. Biochem. 2020, 82, 108396. [Google Scholar] [CrossRef]
- Yang, Y.; Liang, M.; Ouyang, D.; Tong, H.; Wu, M.; Su, L. Research Progress on the Protective Effect of Brown Algae-Derived Polysaccharides on Metabolic Diseases and Intestinal Barrier Injury. Int. J. Mol. Sci. 2022, 23, 10784. [Google Scholar] [CrossRef] [PubMed]
- Liu, Q.; Li, G.; Zhu, S.; Chen, J.; Jin, M.; Huang, C.; Chai, L.; Si, L.; Yang, R. The Effects of Kelp Powder and Fucoidan on the Intestinal Digestive Capacity, Immune Response, and Bacterial Community Structure Composition of Large Yellow Croakers (Larimichthys crocea). Fish Shellfish. Immunol. 2024, 153, 109810. [Google Scholar] [CrossRef] [PubMed]
- Correa, J.L.; Zapata, J.E.; Hernández-Ledesma, B. Impact of Alcalase Hydrolysis and Simulated Gastrointestinal Digestion on the Release of Bioactive Peptides from Erythrina edulis (Chachafruto) Proteins. Int. J. Mol. Sci. 2024, 25, 9290. [Google Scholar] [CrossRef] [PubMed]
- Pereira, A.; Lisboa, C.; Santos, T.; Costa, J. Bioactive stability of microalgal protein hydrolysates under food processing and storage conditions. J. Food Sci. Technol. 2019, 56, 4543–4551. [Google Scholar] [CrossRef]
- Shaforostova, E.A.; Gureev, A.P.; Volodina, D.E.; Popov, V.N. Neuroprotective effect of mildronate and L-carnitine on the cognitive parameters of aged mice and mice with LPS-induced in-flammation. Metab. Brain Dis. 2022, 37, 2497–2510. [Google Scholar] [CrossRef]
- Gryaznova, M.; Burakova, I.; Smirnova, Y.; Morozova, P.; Chirkin, E.; Gureev, A.; Mikhaylov, E.; Korneeva, O.; Syromyatnikov, M. Effect of Probiotic Bacteria on the Gut Microbiome of Mice with Lipopolysaccharide-Induced Inflammation. Microorganisms 2024, 12, 1341. [Google Scholar] [CrossRef]
- Gryaznova, M.; Smirnova, Y.; Burakova, I.; Morozova, P.; Nesterova, E.; Gladkikh, M.; Mikhaylov, E.; Syromyatnikov, M. Characteristics of the Fecal Microbiome of Piglets with Diarrhea Identified Using Shotgun Metagenomics Sequencing. Animals 2023, 13, 2303. [Google Scholar] [CrossRef]
- Andrews, S. S-Andrews/FastQC. 2025. Available online: https://github.com/s-andrews/FastQC (accessed on 14 July 2025).
- Chen, S.; Zhou, Y.; Chen, Y.; Gu, J. fastp: An ultra-fast all-in-one FASTQ preprocessor. Bioinformatics 2018, 34, i884–i890. [Google Scholar] [CrossRef]
- Langmead, B.; Salzberg, S.L. Fast Gapped-Read Alignment with Bowtie 2. Nat. Methods 2012, 9, 357–359. [Google Scholar] [CrossRef] [PubMed]
- Blanco-Míguez, A.; Beghini, F.; Cumbo, F.; McIver, L.J.; Thompson, K.N.; Zolfo, M.; Manghi, P.; Dubois, L.; Huang, K.D.; Thomas, A.M.; et al. Extending and Improving Metagenomic Taxonomic Profiling with Uncharacterized Species Using MetaPhlAn 4. Nat. Biotechnol. 2023, 41, 1633–1644. [Google Scholar] [CrossRef] [PubMed]
- Beghini, F.; McIver, L.J.; Blanco-Míguez, A.; Dubois, L.; Asnicar, F.; Maharjan, S.; Mailyan, A.; Manghi, P.; Scholz, M.; Thomas, A.M.; et al. Integrating taxonomic, functional, and strain-level profiling of diverse microbial communities with bioBakery 3. eLife 2021, 10, e65088. [Google Scholar] [CrossRef]
- Mallick, H.; Rahnavard, A.; McIver, L.J.; Ma, S.; Zhang, Y.; Nguyen, L.H.; Tickle, T.L.; Weingart, G.; Ren, B.; Schwager, E.H.; et al. Multivariable Association Discovery in Population-Scale Meta-Omics Studies. PLoS Comput. Biol. 2021, 17, e1009442. [Google Scholar] [CrossRef] [PubMed]
- Al-Sahlany, S.; Al-Kaabi, W.; Al-Manhel, A.; Niamah, A.; Altemimi, A.; Al-wafi, H.; Cacciola, F. Effects of β-glucan extracted from Saccharomyces cerevisiae on the quality of bio-yoghurts: In vitro and in vivo evaluation. J. Food Meas. Charact. 2022, 16, 3607–3617. [Google Scholar] [CrossRef]
- Hussein, K.; Niamah, A.; Majeed, K. Immunomodulation capability and cytotoxicity activities of novel exopolysaccharides produced by a new local strain, Bifidobacterium longum subsp. infantis strain Iraq-Basrah 3. J. Appl. Biol. Biotechnol. 2024, 13, 104–111. [Google Scholar] [CrossRef]
- Sandoval-Mosqueda, I.L.; Llorente-Bousquets, A.; Soto, C.; Márquez, C.M.; Fadda, S.; Del Río García, J.C. Ligilactobacillus murinus Strains Isolated from Mice Intestinal Tract: Molecular Characterization and Antagonistic Activity against Food-Borne Pathogens. Microorganisms 2023, 11, 942. [Google Scholar] [CrossRef]
- Chuandong, Z.; Hu, J.; Li, J.; Wu, Y.; Wu, C.; Lai, G.; Shen, H.; Wu, F.; Tao, C.; Liu, S.; et al. Distribution and Roles of Ligilactobacillus murinus in Hosts. Microbiol. Res. 2024, 282, 127648. [Google Scholar] [CrossRef]
- Hu, J.; Deng, F.; Zhao, B.; Lin, Z.; Sun, Q.; Yang, X.; Wu, M.; Qiu, S.; Chen, Y.; Yan, Z.; et al. Lactobacillus murinus Alleviate Intestinal Ischemia/Reperfusion Injury through Promoting the Release of Interleukin-10 from M2 Macrophages via Toll-like Receptor 2 Signaling. Microbiome 2022, 10, 38. [Google Scholar] [CrossRef] [PubMed]
- Mukohda, M.; Yano, T.; Matsui, T.; Nakamura, S.; Miyamae, J.; Toyama, K.; Mitsui, R.; Mizuno, R.; Ozaki, H. Treatment with Ligilactobacillus murinus Lowers Blood Pressure and Intestinal Permeability in Spontaneously Hypertensive Rats. Sci. Rep. 2023, 13, 15197. [Google Scholar] [CrossRef] [PubMed]
- El-Salhy, M. Intestinal Bacteria Associated with Irritable Bowel Syndrome and Chronic Fatigue. Neurogastroenterol. Motil. 2023, 35, e14621. [Google Scholar] [CrossRef]
- Sakamoto, M.; Ikeyama, N.; Ogata, Y.; Suda, W.; Iino, T.; Hattori, M.; Ohkuma, M. Alistipes communis sp. Nov., Alistipes dispar sp. Nov. and Alistipes onderdonkii Subsp. Vulgaris Subsp. Nov., Isolated from Human Faeces, and Creation of Alistipes onderdonkii Subsp. Onderdonkii Subsp. Nov. Int. J. Syst. Evol. Microbiol. 2020, 70, 473–480. [Google Scholar] [CrossRef]
- Mishra, A.K.; Gimenez, G.; Lagier, J.-C.; Robert, C.; Raoult, D.; Fournier, P.-E. Genome Sequence and Description of Alistipes senegalensis Sp. Nov. Stand. Genomic Sci. 2012, 6, 304–314. [Google Scholar] [CrossRef]
- Xu, X.; Wang, Y.; Wu, X.; Cai, T.; Dong, L.; Liang, S.; Zhu, L.; Song, X.; Dong, Y.; Zheng, Y.; et al. Administration of Alistipes Indistinctus Prevented the Progression from Nonalcoholic Fatty Liver Disease to Nonalcoholic Steatohepatitis by Enhancing the Gut Barrier and Increasing Lactobacillus spp. Biochem. Biophys. Res. Commun. 2024, 741, 151033. [Google Scholar] [CrossRef] [PubMed]
- Xu, Y.-X.; Liu, L.-D.; Zhu, J.-Y.; Zhu, S.-S.; Ye, B.-Q.; Yang, J.-L.; Huang, J.-Y.; Huang, Z.-H.; You, Y.; Li, W.-K.; et al. Alistipes indistinctus-Derived Hippuric Acid Promotes Intestinal Urate Excretion to Alleviate Hyperuricemia. Cell Host Microbe 2024, 32, 366–381.e9. [Google Scholar] [CrossRef] [PubMed]
- Semo, D.; Reinecke, H.; Godfrey, R. Gut Microbiome Regulates Inflammation and Insulin Resistance: A Novel Therapeutic Target to Improve Insulin Sensitivity. Signal Transduct. Target. Ther. 2024, 9, 35. [Google Scholar] [CrossRef]
- Zhang, J. Microbial Stars: Shedding Light on Gut Microbes’ Role in Insulin Resistance and Innovative Diabetes Therapies. Gut Microbes 2024, 16, 2307581. [Google Scholar] [CrossRef]
- Chiou, W.-C.; Lai, W.-H.; Cai, Y.-L.; Du, M.-L.; Lai, H.-M.; Chen, J.-C.; Huang, H.-C.; Liu, H.-K.; Huang, C. Gut Microbiota-Directed Intervention with High-Amylose Maize Ameliorates Metabolic Dysfunction in Diet-Induced Obese Mice. Food Funct. 2022, 13, 9481–9495. [Google Scholar] [CrossRef]
- Kang, X.; Ng, S.-K.; Liu, C.; Lin, Y.; Zhou, Y.; Kwong, T.N.Y.; Ni, Y.; Lam, T.Y.T.; Wu, W.K.K.; Wei, H.; et al. Altered Gut Microbiota of Obesity Subjects Promotes Colorectal Carcinogenesis in Mice. EBioMedicine 2023, 93, 104670, Erratum in EBioMedicine 2026, 123, 106069. [Google Scholar] [CrossRef]
- Dziarski, R.; Park, S.Y.; Kashyap, D.R.; Dowd, S.E.; Gupta, D. Pglyrp-Regulated Gut Microflora Prevotella falsenii, Parabacteroides distasonis and Bacteroides eggerthii Enhance and Alistipes finegoldii Attenuates Colitis in Mice. PLoS ONE 2016, 11, e0146162. [Google Scholar] [CrossRef] [PubMed]
- van den Munckhof, I.C.L.; Kurilshikov, A.; Ter Horst, R.; Riksen, N.P.; Joosten, L.A.B.; Zhernakova, A.; Fu, J.; Keating, S.T.; Netea, M.G.; de Graaf, J.; et al. Role of Gut Microbiota in Chronic Low-Grade Inflammation as Potential Driver for Atherosclerotic Cardiovascular Disease: A Systematic Review of Human Studies. Obes. Rev. 2018, 19, 1719–1734. [Google Scholar] [CrossRef]
- Fischer, F.; Romero, R.; Hellhund, A.; Linne, U.; Bertrams, W.; Pinkenburg, O.; Eldin, H.S.; Binder, K.; Jacob, R.; Walker, A.; et al. Dietary Cellulose Induces Anti-Inflammatory Immunity and Transcriptional Programs via Maturation of the Intestinal Microbiota. Gut Microbes 2020, 12, 1829962. [Google Scholar] [CrossRef] [PubMed]
- Modasia, A.; Parker, A.; Jones, E.; Stentz, R.; Brion, A.; Goldson, A.; Defernez, M.; Wileman, T.; Ashley Blackshaw, L.; Carding, S.R. Regulation of Enteroendocrine Cell Networks by the Major Human Gut Symbiont Bacteroides thetaiotaomicron. Front. Microbiol. 2020, 11, 575595. [Google Scholar] [CrossRef]
- Li, H.; Wang, X.-K.; Tang, M.; Lei, L.; Li, J.-R.; Sun, H.; Jiang, J.; Dong, B.; Li, H.-Y.; Jiang, J.-D.; et al. Bacteroides thetaiotaomicron Ameliorates Mouse Hepatic Steatosis through Regulating Gut Microbial Composition, Gut-Liver Folate and Unsaturated Fatty Acids Metabolism. Gut Microbes 2024, 16, 2304159. [Google Scholar] [CrossRef] [PubMed]
- Charlet, R.; Bortolus, C.; Sendid, B.; Jawhara, S. Bacteroides thetaiotaomicron and Lactobacillus johnsonii Modulate Intestinal Inflammation and Eliminate Fungi via Enzymatic Hydrolysis of the Fungal Cell Wall. Sci. Rep. 2020, 10, 11510. [Google Scholar] [CrossRef]
- Liu, H.; Feng, S.; Tang, M.; Tian, R.; Zhang, S. Gut Commensal Bacteroides thetaiotaomicron Promote Atherothrombosis via Regulating L-Tryptophan Metabolism. Rev. Cardiovasc. Med. 2024, 25, 395. [Google Scholar] [CrossRef]
- Wang, C.; Guo, H.; Bai, J.; Yu, L.; Tian, F.; Zhao, J.; Zhang, H.; Chen, W.; Zhai, Q. The Roles of Different Bacteroides uniformis Strains in Alleviating DSS-Induced Ulcerative Colitis and Related Functional Genes. Food Funct. 2024, 15, 3327–3339. [Google Scholar] [CrossRef] [PubMed]
- Yan, Y.; Lei, Y.; Qu, Y.; Fan, Z.; Zhang, T.; Xu, Y.; Du, Q.; Brugger, D.; Chen, Y.; Zhang, K.; et al. Bacteroides uniformis-Induced Perturbations in Colonic Microbiota and Bile Acid Levels Inhibit TH17 Differentiation and Ameliorate Colitis Developments. npj Biofilms Microbiomes 2023, 9, 56. [Google Scholar] [CrossRef]
- Zhu, X.-X.; Zhao, C.-Y.; Meng, X.-Y.; Yu, X.-Y.; Ma, L.-C.; Chen, T.-X.; Chang, C.; Chen, X.-Y.; Zhang, Y.; Hou, B.; et al. Bacteroides uniformis Ameliorates Carbohydrate and Lipid Metabolism Disorders in Diabetic Mice by Regulating Bile Acid Metabolism via the Gut-Liver Axis. Pharmaceuticals 2024, 17, 1015. [Google Scholar] [CrossRef]
- Morita, H.; Kano, C.; Ishii, C.; Kagata, N.; Ishikawa, T.; Hirayama, A.; Uchiyama, Y.; Hara, S.; Nakamura, T.; Fukuda, S. Bacteroides uniformis and Its Preferred Substrate, α-Cyclodextrin, Enhance Endurance Exercise Performance in Mice and Human Males. Sci. Adv. 2023, 9, eadd2120. [Google Scholar] [CrossRef]
- Sharma, V.; Sood, A.; Ray, P.; Angrup, A. Comparative Genomics Reveals the Evolution of Antimicrobial Resistance in Bacteroides nordii. Microb. Pathog. 2022, 173, 105811. [Google Scholar] [CrossRef]
- Ye, Z.; Yu, L.; Zhang, C.; Gao, Y.; Zhao, J.; Narbad, A.; Chen, W.; Zhai, Q.; Tian, F. Modulation of Gut Microbiota and Metabolites by Flammulina velutipes Polysaccharides during in vitro Human Fecal Fermentation: Unveiling Bacteroides as a Potential Primary Degrader. Food Chem. 2024, 450, 139309. [Google Scholar] [CrossRef] [PubMed]
- Cheng, B.; Fu, Y.; Yang, Y.; Cheng, J.; Lu, W.; Zhang, X.; Wu, C. Structural Modulation of Gut Bacterial and Fungal Community of C57BL/6 Mice by Pseudobulbus Cremastrae Seu Pleionesaqueous Extract. Dis. Res. 2024, 5, 65–76. [Google Scholar] [CrossRef]
- Coluzzi, F.; Scerpa, M.S.; Loffredo, C.; Borro, M.; Pergolizzi, J.V.; LeQuang, J.A.; Alessandri, E.; Simmaco, M.; Rocco, M. Opioid Use and Gut Dysbiosis in Cancer Pain Patients. Int. J. Mol. Sci. 2024, 25, 7999. [Google Scholar] [CrossRef] [PubMed]
- Chen, J.; Pan, Q.; Lu, L.; Huang, X.; Wang, S.; Liu, X.; Lun, J.; Xu, X.; Su, H.; Guo, F.; et al. Atg5 Deficiency in Basophils Improves Metabolism in Lupus Mice by Regulating Gut Microbiota Dysbiosis. Cell Commun. Signal. 2025, 23, 40. [Google Scholar] [CrossRef]
- Aja, E.; Zeng, A.; Gray, W.; Connelley, K.; Chaganti, A.; Jacobs, J.P. Health Effects and Therapeutic Potential of the Gut Microbe Akkermansia muciniphila. Nutrients 2025, 17, 562. [Google Scholar] [CrossRef]
- Plovier, H.; Everard, A.; Druart, C.; Depommier, C.; Van Hul, M.; Geurts, L.; Chilloux, J.; Ottman, N.; Duparc, T.; Lichtenstein, L.; et al. A Purified Membrane Protein from Akkermansia muciniphila or the Pasteurized Bacterium Improves Metabolism in Obese and Diabetic Mice. Nat. Med. 2017, 23, 107–113. [Google Scholar] [CrossRef] [PubMed]
- Everard, A.; Belzer, C.; Geurts, L.; Ouwerkerk, J.P.; Druart, C.; Bindels, L.B.; Guiot, Y.; Derrien, M.; Muccioli, G.G.; Delzenne, N.M.; et al. Cross-Talk between Akkermansia muciniphila and Intestinal Epithelium Controls Diet-Induced Obesity. Proc. Natl. Acad. Sci. USA 2013, 110, 9066–9071. [Google Scholar] [CrossRef]
- Liu, Y.; Yang, M.; Tang, L.; Wang, F.; Huang, S.; Liu, S.; Lei, Y.; Wang, S.; Xie, Z.; Wang, W.; et al. TLR4 Regulates RORγt+ Regulatory T-Cell Responses and Susceptibility to Colon Inflammation through Interaction with Akkermansia muciniphila. Microbiome 2022, 10, 98. [Google Scholar] [CrossRef]
- Kim, S.-M.; Park, S.; Hwang, S.-H.; Lee, E.-Y.; Kim, J.-H.; Lee, G.S.; Lee, G.; Chang, D.-H.; Lee, J.-G.; Hwang, J.; et al. Secreted Akkermansia muciniphila Threonyl-tRNA Synthetase Functions to Monitor and Modulate Immune Homeostasis. Cell Host Microbe 2023, 31, 1021–1037.e10. [Google Scholar] [CrossRef]
- Bui, T.P.N.; de Vos, W.M.; Plugge, C.M. Anaerostipes rhamnosivorans sp. Nov., a Human Intestinal, Butyrate-Forming Bacterium. Int. J. Syst. Evol. Microbiol. 2014, 64, 787–793. [Google Scholar] [CrossRef] [PubMed]
- Liu, H.; Wang, J.; He, T.; Becker, S.; Zhang, G.; Li, D.; Ma, X. Butyrate: A Double-Edged Sword for Health? Adv. Nutr. 2018, 9, 21–29. [Google Scholar] [CrossRef]
- Enemchukwu, C.U.; Ben-Faras, H.; Gialanella, P.; Szymczak, W.A.; Nosanchuk, J.D.; Madaline, T.F. Butyricimonas virosa Bacteraemia and Bowel Disease: Case Report and Review. New Microbes New Infect 2016, 13, 34–36. [Google Scholar] [CrossRef]
- Whitehill, G.; Zhuo, R.; Yang, S. Butyricimonas paravirosa Bacteremia Associated with Acute Terminal Ileitis: Case Report and Literature Review. Anaerobe 2024, 90, 102918. [Google Scholar] [CrossRef]
- Snodgrass, J.; Velayudhan, B. Butyrate-Producing Bacteria as a keystone Species of the Gut Microbiome: A systematic Review of Dietary Impact on GUT-Brain and Host Health. Int. J. Mol. Sci. 2026, 27, 1289. [Google Scholar] [CrossRef] [PubMed]
- Zhu, Y.; Chen, B.; Zhang, X.; Akbar, M.T.; Wu, T.; Zhang, Y.; Zhi, L.; Shen, Q. Exploration of the Muribaculaceae Family in the Gut Microbiota: Diversity, Metabolism, and Function. Nutrients 2024, 16, 2660. [Google Scholar] [CrossRef]
- Quinn, L.; Sheh, A.; Ellis, J.L.; Smith, D.E.; Booth, S.L.; Fu, X.; Muthupalani, S.; Ge, Z.; Puglisi, D.A.; Wang, T.C.; et al. Helicobacter pylori Antibiotic Eradication Coupled with a Chemically Defined Diet in INS-GAS Mice Triggers Dysbiosis and Vitamin K Deficiency Resulting in Gastric Hemorrhage. Gut Microbes 2020, 11, 820–841. [Google Scholar] [CrossRef]
- Bang, S.; Shin, Y.-H.; Ma, X.; Park, S.-M.; Graham, D.B.; Xavier, R.J.; Clardy, J. A Cardiolipin from Muribaculum intestinale Induces Antigen-Specific Cytokine Responses. J. Am. Chem. Soc. 2023, 145, 23422–23426. [Google Scholar] [CrossRef]
- Dobranowski, P.A.; Tang, C.; Sauvé, J.P.; Menzies, S.C.; Sly, L.M. Compositional Changes to the Ileal Microbiome Precede the Onset of Spontaneous Ileitis in SHIP Deficient Mice. Gut Microbes 2019, 10, 578–598. [Google Scholar] [CrossRef]
- Vu, H.; Muto, Y.; Hayashi, M.; Noguchi, H.; Tanaka, K.; Yamamoto, Y. Complete Genome Sequences of Three Phocaeicola vulgatus Strains Isolated from a Healthy Japanese Individual. Microbiol. Resour. Announc. 2022, 11, e0112421. [Google Scholar] [CrossRef]
- Gorkiewicz, G.; Moschen, A. Gut Microbiome: A New Player in Gastrointestinal Disease. Virchows Arch. 2018, 472, 159–172. [Google Scholar] [CrossRef] [PubMed]
- D’Argenio, V.; Salvatore, F. The Role of the Gut Microbiome in the Healthy Adult Status. Clin. Chim. Acta 2015, 451, 97–102. [Google Scholar] [CrossRef]
- Ezeji, J.C.; Sarikonda, D.K.; Hopperton, A.; Erkkila, H.L.; Cohen, D.E.; Martinez, S.P.; Cominelli, F.; Kuwahara, T.; Dichosa, A.E.K.; Good, C.E.; et al. Parabacteroides distasonis: Intriguing Aerotolerant Gut Anaerobe with Emerging Antimicrobial Resistance and Pathogenic and Probiotic Roles in Human Health. Gut Microbes 2021, 13, 1922241. [Google Scholar] [CrossRef]
- Luu, T.H.; Michel, C.; Bard, J.-M.; Dravet, F.; Nazih, H.; Bobin-Dubigeon, C. Intestinal Proportion of Blautia sp. Is Associated with Clinical Stage and Histoprognostic Grade in Patients with Early-Stage Breast Cancer. Nutr. Cancer 2017, 69, 267–275. [Google Scholar] [CrossRef] [PubMed]
- Notting, F.; Pirovano, W.; Sybesma, W.; Kort, R. The Butyrate-Producing and Spore-Forming Bacterial Genus Coprococcus as a Potential Biomarker for Neurological Disorders. Gut Microbiome 2023, 4, e16. [Google Scholar] [CrossRef] [PubMed]
- Qing, J.; Li, Y.; Soliman, K.M.; Cheungpasitporn, W. A Practical Guide for Nephrologist Peer Reviewers: Understanding and Appraising Mendelian Randomization Studies. Ren. Fail. 2025, 47, 2445763. [Google Scholar] [CrossRef]
- Lagkouvardos, I.; Pukall, R.; Abt, B.; Foesel, B.U.; Meier-Kolthoff, J.P.; Kumar, N.; Bresciani, A.; Martínez, I.; Just, S.; Ziegler, C.; et al. The Mouse Intestinal Bacterial Collection (miBC) Provides Host-Specific Insight into Cultured Diversity and Functional Potential of the Gut Microbiota. Nat. Microbiol. 2016, 1, 16131, Erratum in Nat. Microbiol. 2016, 1, 16219. [Google Scholar] [CrossRef]
- Dravillas, C.; Williams, N.; Husain, M.; Hoyd, R.; Hussein, A.; Meara, A.; Lynn, M.; Bibi, A.; Conrad, B.; Lepola, N.; et al. The Association of the Microbiome with Melanoma Tumor Response to Immune Checkpoint Inhibitor Treatment and Immune-Related Adverse Events (NCT05102773). medRxiv 2025. [Google Scholar] [CrossRef]
- Dahal, R.H.; Kim, S.; Kim, Y.K.; Kim, E.S.; Kim, J. Insight into Gut Dysbiosis of Patients with Inflammatory Bowel Disease and Ischemic Colitis. Front. Microbiol. 2023, 14, 1174832. [Google Scholar] [CrossRef]
- Ghimire, S.; Wongkuna, S.; Scaria, J. Description of a New Member of the Family Erysipelotrichaceae: Dakotella fusiforme Gen. Nov., sp. Nov., Isolated from Healthy Human Feces. PeerJ 2020, 8, e10071. [Google Scholar] [CrossRef] [PubMed]
- Sakamoto, M.; Tanaka, Y.; Benno, Y.; Ohkuma, M. Butyricimonas faecihominis sp. Nov. and Butyricimonas paravirosa sp. Nov., Isolated from Human Faeces, and Emended Description of the Genus Butyricimonas. Int. J. Syst. Evol. Microbiol. 2014, 64, 2992–2997. [Google Scholar] [CrossRef]
- Okubo, H.; Nakatsu, Y.; Kushiyama, A.; Yamamotoya, T.; Matsunaga, Y.; Inoue, M.-K.; Fujishiro, M.; Sakoda, H.; Ohno, H.; Yoneda, M.; et al. Gut Microbiota as a Therapeutic Target for Metabolic Disorders. Curr. Med. Chem. 2018, 25, 984–1001. [Google Scholar] [CrossRef]
- Lee, H.; An, J.; Kim, J.; Choi, D.; Song, Y.; Lee, C.-K.; Kong, H.; Kim, S.B.; Kim, K. A Novel Bacterium, Butyricimonas virosa, Preventing HFD-Induced Diabetes and Metabolic Disorders in Mice via GLP-1 Receptor. Front. Microbiol. 2022, 13, 858192. [Google Scholar] [CrossRef]
- Kitahara, M.; Shigeno, Y.; Shime, M.; Matsumoto, Y.; Nakamura, S.; Motooka, D.; Fukuoka, S.; Nishikawa, H.; Benno, Y. Vescimonas Gen. Nov., Vescimonas coprocola sp. Nov., Vescimonas fastidiosa sp. Nov., Pusillimonas Gen. Nov. and Pusillimonas faecalis sp. Nov. Isolated from Human Faeces. Int. J. Syst. Evol. Microbiol. 2021, 71, 005066, Erratum in Int. J. Syst. Evol. Microbiol. 2022, 72. [Google Scholar] [CrossRef] [PubMed]
- Berger, F.K.; Schwab, N.; Glanemann, M.; Bohle, R.M.; Gärtner, B.; Groesdonk, H.V. Flavonifractor (Eubacterium) plautii Bloodstream Infection Following Acute Cholecystitis. IDCases 2018, 14, e00461. [Google Scholar] [CrossRef] [PubMed]
- Mikami, A.; Ogita, T.; Namai, F.; Shigemori, S.; Sato, T.; Shimosato, T. Oral Administration of Flavonifractor plautii, a Bacteria Increased With Green Tea Consumption, Promotes Recovery From Acute Colitis in Mice via Suppression of IL-17. Front. Nutr. 2020, 7, 610946. [Google Scholar] [CrossRef] [PubMed]
- Romero-Yahuitl, V.; Zarco-González, K.E.; Toriz-Nava, A.L.; Hernández, M.; Velázquez-Fernández, J.B.; Navarro-Noya, Y.E.; Luna-Guido, M.; Dendooven, L. The Archaeal and Bacterial Community Structure in Composted Cow Manures Is Defined by the Original Populations: A Shotgun Metagenomic Approach. Front. Microbiol. 2024, 15, 1425548. [Google Scholar] [CrossRef] [PubMed]
- Le Roy, T.; Moens de Hase, E.; Van Hul, M.; Paquot, A.; Pelicaen, R.; Régnier, M.; Depommier, C.; Druart, C.; Everard, A.; Maiter, D.; et al. Dysosmobacter welbionis Is a Newly Isolated Human Commensal Bacterium Preventing Diet-Induced Obesity and Metabolic Disorders in Mice. Gut 2022, 71, 534–543. [Google Scholar] [CrossRef] [PubMed]










| Composition | Prebiotic Supplement 1 | Prebiotic Supplement 2 | |
|---|---|---|---|
| Non-cellulosic polysaccharides, mg/g dry sample | Xylose | 1.08 | 10.81 |
| Mannose | 2.11 | 21.12 | |
| Galactose | 1.76 | 17.56 | |
| Glucose | 8.68 | 86.79 | |
| Fucose | 8.15 | 81.55 | |
| GlcA | 1.99 | 19.86 | |
| GalA | 1.43 | 14.3 | |
| Elemental composition, mg/100 g | Ag | 0 | 0 |
| Al | 1.0545 | 10.54 | |
| As | 0.091 | 0.91 | |
| B | 0.0781 | 0.78 | |
| Ba | 0.3093 | 3.09 | |
| Be | 0 | 0 | |
| Ca | 135.27 | 1352.7 | |
| Cd | 0 | 0.38 | |
| Co | 0 | 0 | |
| Cr | 0.0264 | 0.26 | |
| Cu | 0 | 0 | |
| Fe | 2.9796 | 29.8 | |
| K | 145.145 | 1451.45 | |
| Mg | 68.4305 | 684.31 | |
| Mn | 1.1385 | 11.38 | |
| Mo | 0 | 0 | |
| Na | 103.1915 | 1031.92 | |
| Ni | 0 | 0 | |
| P | 5.9462 | 59.46 | |
| Pb | 0 | 0 | |
| S | 190.1 | 1901 | |
| Sb | 0 | 0 | |
| Se | 0 | 0 | |
| Si | 3.7289 | 37.29 | |
| Ti | 0.0911 | 0.91 | |
| Tl | 0 | 0 | |
| V | 0 | 0 | |
| Zn | 0.1852 | 1.85 | |
| Pile Height, µm | Villi Width, µm | Crypt Depth, µm |
|---|---|---|
| Control | 286.6 ± 16.1 | 34.5 ± 4.1 |
| LPS | 296.1 ± 21.7 | 22.2 ± 2.3 |
| Prebiotic supplement 1 | 278.8 ± 17.7 | 32.2 ± 3.3 |
| Prebiotic supplement 2 | 370.9 ± 24.2 | 35.6 ± 3.1 |
| Group | Observed Species | Shannon Index |
|---|---|---|
| Control | 55 | 2.212 |
| LPS | 69 | 2.706 |
| Prebiotic supplement 1 | 74 | 2.521 |
| Prebiotic supplement 2 | 77 | 2.977 |
Disclaimer/Publisher’s Note: The statements, opinions and data contained in all publications are solely those of the individual author(s) and contributor(s) and not of MDPI and/or the editor(s). MDPI and/or the editor(s) disclaim responsibility for any injury to people or property resulting from any ideas, methods, instructions or products referred to in the content. |
© 2026 by the authors. Licensee MDPI, Basel, Switzerland. This article is an open access article distributed under the terms and conditions of the Creative Commons Attribution (CC BY) license.
Share and Cite
Khitrov, A.A.; Burakova, I.Y.; Smirnova, Y.D.; Pogorelova, S.V.; Chirkin, E.A.; Morozova, P.D.; Garmonov, D.A.; Ozhimkova, E.V.; Syromyatnikov, M.Y.; Korneeva, O.S. Effect of a Combination of Prebiotic Supplements Based on Fucus and Kelp on the Gut Microbiome of Mice with Induced Inflammation. Microorganisms 2026, 14, 592. https://doi.org/10.3390/microorganisms14030592
Khitrov AA, Burakova IY, Smirnova YD, Pogorelova SV, Chirkin EA, Morozova PD, Garmonov DA, Ozhimkova EV, Syromyatnikov MY, Korneeva OS. Effect of a Combination of Prebiotic Supplements Based on Fucus and Kelp on the Gut Microbiome of Mice with Induced Inflammation. Microorganisms. 2026; 14(3):592. https://doi.org/10.3390/microorganisms14030592
Chicago/Turabian StyleKhitrov, Anatoly A., Inna Yu. Burakova, Yuliya D. Smirnova, Svetlana V. Pogorelova, Egor A. Chirkin, Polina D. Morozova, Daniil A. Garmonov, Elena V. Ozhimkova, Mikhail Yu. Syromyatnikov, and Olga S. Korneeva. 2026. "Effect of a Combination of Prebiotic Supplements Based on Fucus and Kelp on the Gut Microbiome of Mice with Induced Inflammation" Microorganisms 14, no. 3: 592. https://doi.org/10.3390/microorganisms14030592
APA StyleKhitrov, A. A., Burakova, I. Y., Smirnova, Y. D., Pogorelova, S. V., Chirkin, E. A., Morozova, P. D., Garmonov, D. A., Ozhimkova, E. V., Syromyatnikov, M. Y., & Korneeva, O. S. (2026). Effect of a Combination of Prebiotic Supplements Based on Fucus and Kelp on the Gut Microbiome of Mice with Induced Inflammation. Microorganisms, 14(3), 592. https://doi.org/10.3390/microorganisms14030592

