Next Article in Journal
Rhizospheric and Endophytic Microbial Communities Associated with Leptadenia pyrotechnica in Arid Zones
Previous Article in Journal
The Ocular Surface Microbiome in Homeostasis and Dysbiosis
 
 
Font Type:
Arial Georgia Verdana
Font Size:
Aa Aa Aa
Line Spacing:
Column Width:
Background:
Article

Clostridium butyricum Supplementation Reduces Diarrhea in Preweaning Calves by Modulating Fecal Short-Chain Fatty Acids and Gut Microbiota

1
Animal Nutrition and Feed Science, College of Animal Science and Technology, Shihezi University, Shihezi 832000, China
2
Laboratory and Equipment Management Division, Shihezi University, Shihezi 832000, China
*
Authors to whom correspondence should be addressed.
Microorganisms 2025, 13(9), 1993; https://doi.org/10.3390/microorganisms13091993
Submission received: 28 July 2025 / Revised: 24 August 2025 / Accepted: 25 August 2025 / Published: 27 August 2025
(This article belongs to the Special Issue Host–Microbiota Interaction in Metabolic Diseases)

Abstract

This study investigated the effects of dietary supplementation with varying doses of Clostridium butyricum (C. butyricum) on growth performance, diarrhea incidence, serum biochemical parameters, fecal short-chain fatty acids (SCFAs), and fecal microbiota in preweaning Holstein calves. Forty healthy newborn Holstein heifer calves with comparable birth weights were randomly assigned to four groups (control, 1 g/d supplementation, 3 g/d supplementation, and 5 g/d supplementation) for a 60-day trial. Growth parameters, diarrhea incidence, serum immunoglobulins (IgA, IgG, IgM), cytokines (IL-1β, TNF-α), antioxidant indicators (T-AOC, MDA), fecal short-chain fatty acids (SCFAs), and microbial composition were measured to evaluate the effects of C. butyricum. The results indicated that calves in the 5 g/d group exhibited a significantly higher average daily gain (ADG) compared with the control group (804.67 vs. 701.67 g/d, p < 0.05), with no significant differences in feed intake observed among groups (p > 0.05). During Days 22–42, the diarrhea incidence in the 5 g/d group was 7.74% lower than that in the control group (p < 0.05). This group exhibited significantly elevated serum IgM levels (Day 42, p < 0.05) and reduced IL-1β concentrations (Day 42, p < 0.05). Additionally, total antioxidant capacity (T-AOC) was significantly enhanced (Days 42 and 60, p < 0.05), while malondialdehyde (MDA) content was significantly decreased (Days 21 and 42, p < 0.05). At Day 42, fecal propionate and butyrate concentrations were significantly elevated in the 5 g/d group (p < 0.05), while the relative abundances of Bacteroides, Acidaminococcus, Bifidobacterium, Olsenella, Faecalitalea, and Ruminococcus were significantly increased (p < 0.05). The increase in these short-chain fatty acids and beneficial bacteria contributes to improved intestinal health and thus helps alleviate diarrhea. These findings indicate that supplementing preweaning calves’ milk with 5 g/d of C. butyricum significantly enhances growth performance and intestinal health. This provides evidence for the use of C. butyricum as a natural alternative to antibiotics in calf rearing.

1. Introduction

Calf rearing constitutes a critical phase in high-quality dairy farming, forming the foundation for lifetime production performance in lactating cows. Moreover, it ensures herd stability and generates greater economic benefits. Therefore, ensuring the healthy growth of calves represents not only a primary objective in farm management but also serves as the cornerstone for the sustainable development of dairy operations. During early development, calves undergo their most rapid somatic growth phase, characterized by accelerated maturation of organ functions, enhanced immune system development, and high physiological plasticity. Environmental or nutritional interventions during this phase may substantially alter the animals’ subsequent growth trajectories. Since the 20th century, antibiotics have been widely applied as feed additives with growth-promoting properties in livestock and poultry production. However, indiscriminate antibiotic use has caused a range of negative consequences, including enhanced drug resistance in animals, drug residues in products, and food safety concerns [1]. Therefore, since 2006, the European Union, United States, and China have successively issued regulations prohibiting the use of antibiotics as feed additives [2].
Probiotics, including Lactobacillus, yeast, and Bacillus species, have emerged as promising antibiotic alternatives. They not only prevent intestinal microbiota disruption but also promote microbial homeostasis by enhancing multiple metabolic pathways, thereby maintaining normal gut function [3]. Lactobacillus primarily inhibits pathogenic bacteria by producing lactic acid, which lowers the pH level [4]. However, the probiotic function of Bacillus does not typically involve producing large quantities of short-chain fatty acids [5]. Clostridium butyricum, an anaerobic Gram-positive bacillus inhabiting the gastrointestinal tract, produces metabolites including butyrate, digestive enzymes, and bacteriocins. It has attracted significant attention due to its probiotic properties, such as imparting anti-inflammatory effects, enhancing immunity, and modulating the gut microbiota [6,7]. Research on the application of Clostridium butyricum in ruminant production remains relatively scarce compared with studies in monogastric animals such as poultry and swine. This is potentially due to the complexity of the rumen ecosystem and the fact that research has focused more on postweaning rumen function than on preweaning intestinal health. The mechanisms linking C. butyricum supplementation to changes in the gut microbiota, short-chain fatty acid production, and the immune system in this population have not yet been fully elucidated. Therefore, we hypothesized that dietary supplementation with C. butyricum would ameliorate diarrhea and enhance growth performance in a dose-dependent manner in preweaning calves. This trial investigated the effects of varying supplemental doses of C. butyricum on growth performance and health in preweaning calves. The study concurrently examined underlying mechanisms to provide foundational theoretical support for its application in ruminant production systems.

2. Materials and Methods

2.1. Strains

Clostridium butyricum (C. butyricum) was supplied by Vland Biotechnology Co., Ltd. (Qingdao, China). The viable bacterial preparation was provided as freeze-dried powder containing 1 × 109 CFU/g.

2.2. Animals and Diet

The animal care protocol was approved by the Animal Welfare Committee of Shihezi University (Shihezi, China) (Ethics No. A2023-616).
Forty healthy newborn Holstein heifer calves with comparable birth weights (38.16 ± 3.73 kg) were randomly assigned to four groups, with 10 calves per group. The sample size was determined with reference to the design of previous similar studies that successfully detected significant differences at close sample sizes [8,9]. The control group received the basal diet, while the 1 g, 3 g, and 5 g groups were fed the basal diet supplemented with 1 g/d, 3 g/d, and 5 g/d of C. butyricum per calf, respectively. All of the calves were born on the same farm in the summer. They were vaccinated and dewormed after birth. The trial spanned 60 days. Within 1 h postpartum, each calf received 4 L of high-quality colostrum and was subsequently housed in individual hutches. Milk feeding strictly adhered to the farm’s protocol, with pasteurized milk provided daily at 06:00 and 18:00. Feeding amounts were as follows: Week 1: 5 L/head; Week 2: 6 L/head; Week 3: 7 L/head; Weeks 4–7: 8 L/head. From Day 50, the milk allowance was incrementally reduced by 2 L every two days until complete weaning at Day 60. Calves received starter feed from Day 7 and were provided alfalfa hay ad libitum from Day 50. Throughout the trial, all calves had ad libitum access to feed and water. Hutches were regularly cleaned and disinfected following standard farm protocols. C. butyricum was thoroughly blended into milk immediately prior to feeding to ensure complete ingestion by calves. The study was conducted with complete randomization to mitigate potential bias during the subsequent sample collection and analysis procedures. The randomization grouping process did not impede the calves based on birth weight or other factors. The ingredients and nutritional composition of the starter feed and alfalfa hay are detailed in Table 1.

2.3. Sample Collection

Daily feed intake and refusals of starter feed and alfalfa hay were recorded. Samples of both feeds were collected for nutrient analysis.
On Days 21, 42, and 60, six calves per group were randomly selected pre-morning feeding. Blood samples (10 mL) were collected from the jugular vein using sodium heparin vacuum tubes. After clotting for 30 min at room temperature, the samples were centrifuged at 3000× g for 15 min. Plasma was aliquoted into sterile tubes and stored at −20 °C.
For fecal sampling, six calves per group were similarly selected at identical timepoints. Samples were collected using sterile rectal sleeves, immediately transferred to sterile cryovials, snap-frozen in liquid nitrogen, and stored at −80 °C.

2.4. Analysis of Growth Performance and the Incidence of Diarrhea

Average daily gain (ADG) was calculated from body weights recorded on Days 1, 21, 42, and 60. Dry matter intake (DMI) of milk and starter feed was monitored throughout the trial. Starter feed samples were analyzed for dry matter (DM; AOAC 930.15), crude protein (CP; AOAC 976.05), and ether extract (AOAC 4.5.05), following AOAC International standards [10,11]. Neutral detergent fiber (NDF) and acid detergent fiber (ADF) contents were determined as per Van Soest et al. [12].
Fecal consistency was scored as 1 = normal; 2 = soft to unformed; 3 = unformed to liquid; 4 = liquid with mucous and blood-tinged; 5 = liquid with mucous and frankly bloody. Diarrhea was defined as a score > 3 [13]. Incidence was calculated using
Diarrhea incidence (%) = (Number of diarrheic calves × Days with diarrhea)/(total calves × trial days) × 100%.

2.5. Serum Analysis

Serum concentrations of immunoglobulin M (IgM), immunoglobulin A (IgA), immunoglobulin G (IgG), tumor necrosis factor-α (TNF-α), interleukin-2 (IL-2), interleukin-1β (IL-1β), total antioxidant capacity (T-AOC), and malondialdehyde (MDA) were quantified using commercial ELISA kits (Shanghai Enzyme-linked Biotechnology, Shanghai, China).

2.6. 16 S rRNA Gene Sequencing and Analysis

Total bacterial DNA was extracted from fecal samples using the TIANamp Stool DNA Kit (Tiangen, Beijing, China). The V3–V4 hypervariable region of the 16S rRNA gene was amplified with the primers 338F (5′-ACTCCTACGGGAGGCAGCA-3′) and 806R (5′-GGACTACHVGGGTWTCTAAT-3′). Sequencing was performed on an Illumina MiSeq platform (Illumina, San Diego, CA, USA) by Majorbio Bio-Pharm Technology Co., Ltd. (Shanghai, China).
Raw sequences were processed in QIIME2. High-quality reads were clustered into operational taxonomic units (OTUs) at 97% similarity using UCLUST (v7.1). Taxonomic assignment against the Greengenes 13.5 database was performed with PyNAST. Alpha diversity indices (Chao1, ACE, Shannon, Simpson) and beta diversity (weighted UniFrac PCoA) were analyzed. Differential taxa identification employed the linear discriminant analysis effect size (LEfSe). Raw sequencing data are deposited in the NCBI SRA under accession PRJNA1294751.

2.7. Targeted SCFA Metabolomics

2.7.1. Sample Preparation

Fecal samples (≈0.5 g) were homogenized in 1.5 mL microtubes with 500 μL of distilled water and 100 mg of 0.1 mm glass beads (1 min bead beating). After centrifugation (12,000× g, 4 °C, 10 min), 200 μL of the supernatant was transferred to a new tube. Then, 100 μL of 15% phosphoric acid (Sigma-Aldrich, Saint Louis, MO, USA), 20 μL of 4-methylvaleric acid internal standard (375 μg/mL; Sigma-Aldrich), and 280 μL diethyl ether (Merck, Darmstadt, Germany) were added. The mixture was vortexed (1 min) and centrifuged under identical conditions. The ether phase was transferred to a GC-MS vial.

2.7.2. GC-MS Analysis

Gas chromatography conditions
Chromatographic separation employed a Trace 1310 GC system (Thermo Fisher Scientific, Waltham, MA, USA) with an Agilent HP-INNOWAX capillary column (30 m × 0.25 mm ID × 0.25 μm). Helium carrier gas was maintained at 1 mL/min (constant flow). Samples were injected in split mode (10:1) with 1 μL volume at 250 °C. Ion source and transfer line temperatures were 300 °C and 250 °C, respectively. The oven program was initiated at 90 °C then ramped to 120 °C (10 °C/min), 150 °C (5 °C/min), and finally 250 °C (25 °C/min; held for 2 min).
Mass spectrum conditions
Mass spectrometry detection was conducted using an ISQ 7000 system (Thermo Fisher Scientific, USA) in electron impact (EI) ionization mode. Analyses employed selected ion monitoring (SIM) with 70 eV electron energy.

2.8. Statistical Analysis

Data were analyzed by two-way ANOVA using SPSS (version 27.0). The results are presented as least-squares means ± SEM. Statistical significance was defined as p < 0.05.

3. Results

3.1. Growth Performance and Diarrhea Incidence

As shown in Table 2, no significant differences occurred in initial body weight among groups (p > 0.05). Calves supplemented with 5 g/d C. butyricum exhibited significantly higher average daily gain (ADG) versus the controls (p < 0.05). Dry matter intake (DMI) of starter feed and total feed showed no significant intergroup differences (p > 0.05), and the gain-to-feed ratio remained comparable across treatments. Supplementation with 5 g/d C. butyricum significantly reduced diarrhea incidence at 42 days relative to the controls (p < 0.05).

3.2. Plasma Immunoglobulin, Cytokine, and Antioxidant Index Levels

As shown in Table 3, supplementation with C. butyricum had no significant effect on plasma IgA or IgG levels at any sampled time point (p > 0.05). However, calves in the 5 g C. butyricum group displayed significantly higher serum IgM concentrations than the control group at 42 days of age (p < 0.05). Concurrently, plasma IL-1β levels in the 5 g group were markedly lower than those in the control group at 42 days (p < 0.05).
No significant differences in IL-2 or TNF-α levels were detected among the groups at any measured time point (p > 0.05). The 5 g C. butyricum group exhibited significantly lower serum malondialdehyde (MDA) levels at both 21 and 42 days of age compared with the controls (p < 0.05). Additionally, total antioxidant capacity (T-AOC) was markedly enhanced in the 5 g group at 42 and 60 days (p < 0.05).

3.3. Comparative Analysis of Short-Chain Fatty Acids

The relative standard deviations (RSDs) for all targeted metabolites remained below 15% (Figure 1A), confirming the analytical method’s stability and reliable quantification. At 21, 42, and 60 days, Principal Components 1 and 2 accounted for 75.1% and 11.2% (Figure 1B), 82.3% and 12.2% (Figure 1C), and 59.4% and 22.2% (Figure 1D) of the total variance, respectively.
Table 4, Table 5 and Table 6 illustrate fecal short-chain fatty acid content in control calves and calves fed with C. butyricum for 21, 42, and 60 days, respectively. The fecal propionic acid (Figure 1E) and butyric acid (Figure 1F) concentrations were significantly elevated in the 5 g/d group compared with the controls on Day 42 (p < 0.05) (Table 5). No significant differences in short-chain fatty acid levels were observed among groups at 21 and 60 days (p > 0.05) (Table 4 and Table 6).

3.4. Rectal Microbial Changes

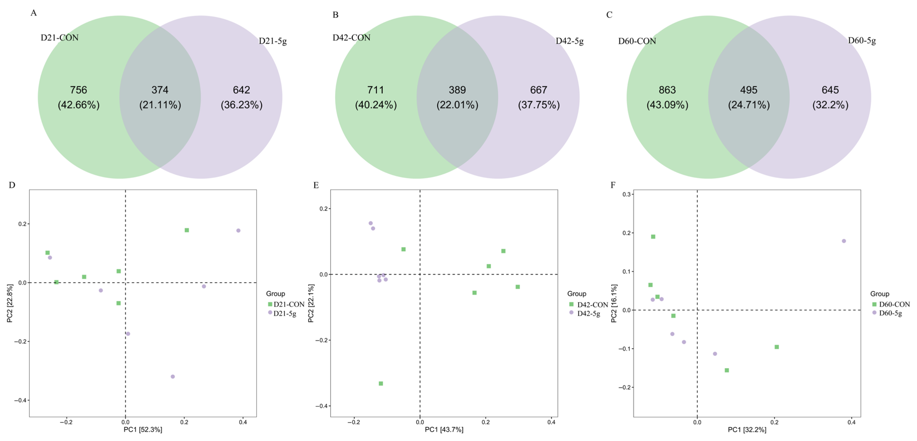
At Day 21 (d21), the control (CON) and 5 g C. butyricum groups exhibited total observed OTU counts of 1139 and 1016, respectively, with 374 shared OTUs representing 21.11% of the cumulative microbial diversity (Figure 2A). By Day 42 (d42), OTU counts shifted to 1100 (control) and 1056 (5 g group), with 389 overlapping OTUs constituting 22.01% of the total taxonomic units (Figure 2B). At Day 60 (d60), the control group demonstrated increased OTU richness (1358), while the 5 g group showed 1140 OTUs, sharing 495 core microbial taxa that accounted for 24.71% of the combined OTU repertoire (Figure 2C).
For the 21-day-old calves, the contribution rates of PC1 and PC2 were 52.3% and 22.8%, respectively (Figure 2D). For the 42-day-old calves, the contribution rates of PC1 and PC2 were 43.7% and 22.1%, respectively (Figure 2E). For the 60-day-old calves, the contribution rates of PC1 and PC2 were 32.2% and 16.1%, respectively (Figure 2F). Additionally, at 42 days of age, the individual samples within the CON and 5 g groups were closely clustered, and the two groups were distinctly separated, indicating significant differences in the fecal microbiota (Figure 2D). At 42 days of age, the Simpson and Shannon indices of fecal microbiota in the 5 g group were significantly higher than those in the control group (p < 0.05) (Figure 3E,F). At d60, the Chao1 index in the 5 g group was significantly higher than that in the control group (p < 0.05) (Figure 3G). At other ages, there were no significant differences in alpha diversity among the treatment groups (p > 0.05) (Figure 3).
At the phylum level, fecal microbiota in both the CON and 5 g/d groups were predominantly composed of Bacteroidota, Actinobacteriota, and Firmicutes at 21, 42, and 60 days (Figure 4A,C,E). At 21 days, Bacteroides, Collinsella, and Faecalibacterium constituted the predominant genera (Figure 4B). By 42 days, the CON group was dominated by Collinsella, Blautia, and Lactobacillus (Figure 4D), whereas Blautia, Faecalibacterium, and Clostridia_UCG-014 predominated in the 5 g/d group. At 60 days, Blautia, Bacteroides, and Faecalibacterium emerged as the dominant genera in both groups (Figure 4F).
LEfSe analysis revealed distinct microbial compositions between groups (Figure 4G,H). At 21 days, the 5 g/d group exhibited significantly greater relative abundances of Clostridium_sensu_stricto_1 and Trueperella compared with the controls, whereas the control group showed higher Blautia abundance (Figure 4G). At 42 days, the 5 g/d group demonstrated significantly elevated relative abundances of Bacteroides (Figure 4I), Acidaminococcus (Figure 4J), Bifidobacterium (Figure 4K), Olsenella (Figure 4L), Faecalitalea (Figure 4M), and Ruminococcus (Figure 4N) versus the controls (Figure 4H). No significant compositional differences were observed between groups at 60 days.

4. Discussion

4.1. Effects of Clostridium butyricum on Growth Performance in Preweaning Calves

The health status of preweaning calves directly influences their subsequent development and adult production performance. Growth performance serves as a critical indicator for evaluating calf development [14], typically assessed through metrics including average daily gain (ADG), dry matter intake (DMI), and gain-to-feed ratio [15]. Current research on probiotic effects on livestock growth primarily focuses on lactic acid bacteria, Bacillus, and yeast. Studies involving Clostridium butyricum concentrate predominantly on monogastric animals such as chickens, rabbits, and swine, where it demonstrates beneficial effects on growth performance. Zhao et al. [16] demonstrated that dietary supplementation with Clostridium butyricum significantly increased body weight and average daily gain in 21-day-old broilers. Similarly, Yang et al. [17] reported enhanced ADG in broilers supplemented with C. butyricum, with more pronounced effects during later growth stages. Xue et al. [18] observed significantly increased DMI, ADG, and digestibility of DM, NDF, and ADF in goats receiving C. butyricum supplementation. Cai et al. [19] likewise documented elevated DMI, ADG, and improved digestibility of DM, NDF, and ADF in ruminants administered probiotics.
In this trial, supplementing preweaning calves’ milk replacer with Clostridium butyricum modestly improved average daily gain compared with controls, consistent with previous studies. This effect may be attributed to C. butyricum-derived metabolites such as butyrate and vitamins that enhance physiological development [20]. Concurrently, secreted proteases facilitate beneficial gut microbiota colonization, thereby improving nutrient digestion and absorption, and feed efficiency [21]. The limited growth response may relate to animal breed variations and dosage factors. However, some studies report no significant effects on diarrhea incidence or growth [22,23], with discrepancies potentially arising from differences in animal species, supplementation levels, or environmental conditions. Collectively, these findings suggest C. butyricum exerts moderate growth-promoting effects in preweaning calves.

4.2. Effects of Clostridium butyricum on Diarrhea Reduction in Preweaning Calves

At birth, calves possess an immature gastrointestinal microbial community and an underdeveloped immune system, rendering the gut ecosystem highly vulnerable to pathogenic disruption. A stable, healthy microbiota exerts long-term impacts on the host’s phenotypic traits and production performance [24]. Diarrhea represents a critical factor compromising the health of preweaning calves and constitutes a primary cause of mortality. Previous research has demonstrated that probiotics modulate intestinal microbial balance. By colonizing the gastrointestinal tract, they produce localized antimicrobial substances that inhibit pathogenic proliferation and promote beneficial microbiota establishment, thereby reducing diarrheal incidence [25,26]. Studies indicate that dietary Clostridium butyricum supplementation reduces diarrhea incidence in livestock and poultry to varying degrees [27]. Wu et al. [28] investigated the effect of C. butyricum on diarrhea in weaned piglets. Their results demonstrated significantly lower diarrhea incidence in piglets supplemented with C. butyricum compared with the controls during the nursing period. Reduced diarrhea incidence lowers direct costs for veterinary interventions and antibiotic usage while improving diarrheal management in calves. This prevention of associated appetite reduction mitigates production performance losses. Furthermore, it contributes to enhanced animal welfare and generates economic benefits for farms [29]. In this study, diarrhea incidence in control calves fluctuated between 7% and 36% during the trial, decreasing with advancing age. Diarrhea rates in C. butyricum-supplemented groups showed no significant difference from the controls during the first three weeks. However, the 5 g/d group exhibited significantly lower diarrhea incidence than the controls during Weeks 4–8, consistent with previous findings that early probiotic intervention demonstrates preventive efficacy against diarrhea. We postulate that reduced diarrhea incidence may be closely linked to enhanced immune function, improved gut barrier integrity, and altered gut microbiota composition. These mechanisms likely contributed to the observed growth performance improvements, consistent with the growth data obtained in this trial.

4.3. Effects of Clostridium butyricum on Serum Immune and Antioxidant Functions in Preweaning Calves

Antioxidant capacity and immune function represent two critical indicators reflecting an animal’s health status and disease resistance, enabling assessment of systemic antioxidant status and immune response levels. The liver plays a crucial role in regulating oxidative stress and immune responses in vivo. Immunoglobulins (including IgA, IgG, and IgM) are antibody-active proteins that mediate antiviral, antibacterial, and other immunological functions, primarily through antibody-secreting B lymphocytes. Research indicates that probiotics modulate various immune cells to enhance host immunity [30]. Similarly, Zhang et al. [31,32] demonstrated that dietary C. butyricum supplementation elevates serum immunoglobulin concentrations in weaned piglets and broilers. The present findings demonstrate that dietary C. butyricum supplementation enhanced serum IgA, IgM, and IgG concentrations throughout the preweaning period. This variation likely resulted from differential C. butyricum dosing levels.
Antioxidant capacity is essential for maintaining organismal homeostasis in animals. Under normal physiological conditions, endogenous antioxidant enzymes primarily scavenge free radicals to sustain dynamic equilibrium [33]. When animals experience endogenous or exogenous stimuli, antioxidant systems mobilize to scavenge free radicals, thereby maintaining redox homeostasis and preserving animal health. Total antioxidant capacity (T-AOC) serves as a key parameter for assessing systemic antioxidant capacity, while malondialdehyde (MDA) reflects the lipid peroxidation extent, indirectly indicating oxidative damage severity. Lower MDA concentrations denote stronger antioxidant capacity. This study measured these parameters to assess antioxidant status. Plasma T-AOC levels were significantly elevated in calves aged 22–60 days compared with the controls, while MDA levels were significantly reduced in calves aged 0–42 days. C. butyricum modulates the body’s antioxidant capacity primarily by activating key antioxidant signaling pathways [34] and enhancing the expression of antioxidant enzymes [35], thereby alleviating oxidative damage.

4.4. Effects of Clostridium butyricum on Intestinal SCFA Production in Preweaning Calves

Short-chain fatty acids (SCFAs), also termed volatile fatty acids, are produced through microbial fermentation of indigestible complex carbohydrates—such as dietary fiber and non-starch polysaccharides—in the gastrointestinal tract. They play pivotal roles in regulating immune responses, energy metabolism, and cellular proliferation [36]. Acetate, propionate, and butyrate represent the most abundant SCFAs [37]. Butyric acid is the preferred energy source for colonic epithelial cells or colon cells. An adequate supply of butyric acid efficiently nourishes colon cells, promoting their proliferation and normal function. This is crucial for maintaining intestinal barrier integrity [38]. Propionic acid serves as a substrate for gluconeogenesis in the liver. This process helps provide a stable supply of glucose to the body, regulating appetite and energy metabolism [39]. Therefore, increasing both butyric acid and propionic acid creates a healthier intestinal microenvironment. Sallem et al. [40] observed that multi-strain probiotics promote intestinal SCFA production. Li et al. [41] documented significantly increased fecal butyrate and total SCFA concentrations in domestic shorthair cats administered probiotic formulations. Zhang et al. [42] reported elevated SCFA levels in hyperlipidemic rats supplemented with Pediococcus acidilactici. Similarly, Jiang et al. [43] demonstrated significantly higher fecal acetate, propionate, and butyrate concentrations in neonatal Holstein calves receiving Lactobacillus supplementation. The results indicate that at 42 days, calves supplemented with 5 g/d Clostridium butyricum exhibited significantly higher fecal propionate and butyrate concentrations than the controls. This effect may stem from C. butyricum promoting beneficial microbial proliferation, thereby providing substrates for propionate- and butyrate-producing bacteria. Concurrently, C. butyricum likely inhibited enteric pathogens while stimulating intestinal epithelial proliferation and mucosal development, contributing to diarrhea alleviation [44]. These findings align with the reduced diarrhea incidence observed in the C. butyricm-supplemented group. Thus, 5 g/d C. butyricum supplementation enhances gastrointestinal health by elevating intestinal SCFA production.

4.5. Effects of Clostridium butyricum on the Gut Microbiota’s Structure and Microbial Abundance in Preweaning Calves

The composition of gastrointestinal microbiota fundamentally influences the health and growth performance of ruminants [45]. Dietary regimens during early development similarly shape microbial colonization in calves. Appropriate probiotic supplementation substantially benefits calf growth during this critical period [46]. Disruption of beneficial microbiota, coupled with the proliferation of pathogens or opportunistic bacteria, precipitates gastrointestinal disorders including diarrhea, enteritis, and functional impairment [47].
Multiple studies demonstrate that Bacteroidota represents one of the predominant phyla in bovine intestines [48,49], generally regarded as beneficial and protective. These microorganisms colonize and occupy substantial intestinal niches, limiting opportunities for pathogenic colonization. Furthermore, certain Bacteroides species modulate immune responses and exhibit anti-inflammatory properties [50]. Previous research suggests that Alistipes, a genus within Bacteroidota, may exert protective effects in the gut by producing anti-inflammatory fatty acids associated with host health [51]. The results of this experiment confirm the dominant status of Bacteroidota within the gastrointestinal microbial ecosystem and demonstrate significantly higher abundance in the fecal microbiota of calves supplemented with C. butyricum compared with the controls. Recent studies have demonstrated a synergistic, mutualistic “cross-feeding” relationship between Clostridium butyricum and Bacteroidota [52].
Acidaminococcus, a genus within the phylum Verrucomicrobia, comprises Gram-negative anaerobic cocci primarily colonizing human and animal intestines. These bacteria utilize amino acids (particularly glutamate) as their primary carbon source, producing metabolites including short-chain fatty acids [53,54]. Research indicates that increased abundance of Acidaminococcus may enhance protein digestion and nutrient absorption [55]. Acidaminococcus not only produces acetate and butyrate but also eliminates harmful metabolites during ruminal fermentation [56,57]. Through butyrate production, it promotes intestinal epithelial repair and enhances the host’s energy metabolism [54]. This study observed a higher relative abundance of Acidaminococcus in the fecal microbiota of calves supplemented with 5 g/d C. butyricum at Day 42 compared with the controls, aligning with previous findings.
Dietary supplementation with C. butyricum and particularly Bifidobacterium promotes the proliferation of butyrate-producing microorganisms and significantly influences microbial diversity and distinct community composition [58]. Research has found that feeding butyric acid bacteria to fattening pigs can increase the relative abundance of Bifidobacterium at the genus and species levels in fecal samples [59]. Bifidobacterium also enhances intestinal epithelial barrier function by downregulating claudin-2 expression [60]. Research indicates that Bifidobacterium, a dominant genus in fecal microbiota, is commonly used as a probiotic and exerts beneficial effects against various diseases, including rotavirus-associated diarrhea, antibiotic-associated diarrhea, and certain inflammatory bowel diseases [61]. This suggests that Bifidobacterium reduces diarrhea incidence by promoting butyrate production, enhancing intestinal barrier function, and modulating immune responses.
Faecalitalea, a genus within the Firmicutes phylum, ferments D-glucose, sucrose, D-mannose, and raffinose. It may protect intestinal barrier function through short-chain fatty acid (SCFA) production [62]. Moreover, as a butyrate producer, butyrate exerts potent anti-inflammatory effects that mitigate intestinal inflammation, thereby preventing inflammation-induced gut damage and fluid exudation. Consequently, Faecalitalea abundance is inversely correlated with calf diarrhea incidence [63]. The results of this experiment demonstrate significantly higher fecal abundances of Bifidobacterium and Faecalitalea in calves supplemented with 5 g/d C. butyricum compared with the control group.
Olsenella, a genus within the Actinobacteria phylum, comprises Gram-positive anaerobic bacilli commonly inhabiting mucosal environments including the oral cavity, intestine, and vagina [64]. This bacterium ferments carbohydrates to produce short-chain fatty acids (SCFAs) such as lactate and acetate. Research suggests that specific Olsenella strains participate in tryptophan metabolism to generate immunomodulatory metabolites (e.g., inosine). These strains enhance the efficacy of checkpoint blockade immunotherapy, significantly improving immune checkpoint inhibitor outcomes in four murine cancer models [65]. The results of this study demonstrate significantly higher fecal Olsenella abundance in calves supplemented with 5 g/d C. butyricum compared with the control group.
In the 5 g/d C. butyricum supplementation group, Ruminococcus constituted a dominant genus in calf fecal microbiota compared with the controls. Liu et al. [66] indicated that Clostridium butyricum can significantly increase the relative abundance of Ruminococcus in the intestines of obese mice and improve the composition of intestinal microbiota. Ruminococcus, a strictly anaerobic Gram-positive coccus belonging to the family Lachnospiraceae, actively ferments dietary fiber and polysaccharides [67]. Its primary metabolites include acetate, formate, and ethanol, though it does not produce butyrate. Certain strains metabolize mucins and human milk oligosaccharides (HMOs), influencing intestinal barrier integrity [68]. Research evidence indicates that Ruminococcus commonly inhabits the intestinal microbiota of humans and ruminants and may play a significant role in modulating intestinal inflammatory activity [69].
The results demonstrate a significantly higher relative abundance of Ruminococcus in the fecal microbiota of calves supplemented with 5 g/d C. butyricum at Day 42 compared with the control group. We therefore propose that supplementing C. butyricum during the preweaning period reduces diarrhea incidence by modulating gut microbial diversity. Despite the predominance of 16S rRNA sequencing in the field of prokaryotic research, its efficacy is limited in the analysis of eukaryotic microorganisms, such as fungi, and viral communities within complex samples. Secondly, DNA-based sequencing is unable to distinguish between surviving organisms and deceased organisms, nor can it differentiate between free environmental DNA and other sources of DNA. This limitation may have a significant impact on the biological interpretation of the results. Future studies should investigate microbiota changes under C. butyricum supplementation.

5. Conclusions

This study demonstrates that administering C. butyricum at 5 g/d significantly increased average daily gain (ADG) and reduced diarrhea incidence in preweaning calves, particularly during the first 42 days. Calves in the 5 g/d group exhibited elevated plasma IgM concentrations and T-AOC, concomitant with reduced MDA and IL-1β levels, suggesting enhanced immunocompetence and attenuated oxidative stress. The beneficial effects of C. butyricum were attributable to its modulation of the gut microbiota and enhancement of SCFA production. Supplementation with C. butyricum at 5 g/d significantly increased the abundance of putative beneficial genera (Bacteroides, Bifidobacterium, and Faecalibacterium) and elevated fecal propionic and butyric acid concentrations at Day 42. On the basis of these findings, we recommend supplementing preweaning calf diets with 5 g/d C. butyricum to optimize health and productivity during this critical developmental phase.

Author Contributions

Conceptualization: J.N.; data curation: P.G. and S.P.; formal analysis: J.N. and P.G.; methodology: P.G. and Q.L.; software: Y.T. and Q.W.; writing—original draft: P.G.; writing—review and editing: W.Z. C.N. X.M. and J.N.; supervision, J.N.; project administration, X.M. and J.N.; funding acquisition, J.N. All authors have read and agreed to the published version of the manuscript.

Funding

This study was supported by the National Natural Science Foundation of China (32260855) and Shihezi University Youth Innovative Talent Cultivation Plan (CXBJ202310).

Institutional Review Board Statement

The animal study protocol was approved by the Biology Ethics Committee of Shihezi University (protocol code: A2023-616; date of approval: 21 December 2023).

Informed Consent Statement

Not applicable.

Data Availability Statement

The original data presented in the study are openly available in the NCBI SRA under accession PRJNA1294751.

Conflicts of Interest

The authors declare no conflicts of interest.

References

  1. Why did Europe choose to ban antibiotics in animal nutrition: Feed science. AFMA Matrix 2015, 24, 35–37.
  2. Aghamohammad, S.; Rohani, M. Antibiotic resistance and the alternatives to conventional antibiotics: The role of probiotics and microbiota in combating antimicrobial resistance. Microbiol. Res. 2023, 267, 127275. [Google Scholar] [CrossRef] [PubMed]
  3. Fu, J.; Wang, T.; Xiao, X.; Cheng, Y.; Wang, F.; Jin, M.; Wang, Y.; Zong, X. Clostridium butyricum ZJU-F1 Benefits the Intestinal Barrier Function and Immune Response Associated with Its Modulation of Gut Microbiota in Weaned Piglets. Cells 2021, 10, 527. [Google Scholar] [CrossRef] [PubMed]
  4. Heczko, P.B.; Giemza, M.; Ponikiewska, W.; Strus, M. Importance of Lactobacilli for Human Health. Microorganisms 2024, 12, 2382. [Google Scholar] [CrossRef]
  5. Xie, H.; Yu, T.; Zhou, Q.; Na, K.; Lu, S.; Zhang, L.; Guo, X. Comparative evaluation of spores and vegetative forms of Bacillus subtilis and bacillus licheniformis on probiotic functionality In vitro and In vivo. Probiotics Antimicrob. Proteins 2024, 1–19. [Google Scholar] [CrossRef]
  6. Samal, L.; Behura, N.C. Prebiotics: An Emerging Nutritional Approach for Improving Gut Health of Livestock and Poultry. Asian J. Anim. Vet. Adv. 2015, 10, 724–739. [Google Scholar] [CrossRef]
  7. Zhang, J.; Chen, X.; Liu, P.; Zhao, J.; Sun, J.; Guan, W.; Johnston, L.J.; Levesque, C.L.; Fan, P.; He, T. Dietary Clostridium butyricum Induces a Phased Shift in Fecal Microbiota Structure and Increases the Acetic Acid-Producing Bacteria in a Weaned Piglet Model. J. Agric. Food Chem. 2018, 66, 5157–5166. [Google Scholar] [CrossRef]
  8. Zhu, Y.; Li, Z.; Yang, Y.; Zhan, T.; Bu, D.; Ma, L. Early-life Clostridium butyricum supplementation improved rumen development and immune by promoting the maturation of intestinal microbiota. J. Agric. Food Res. 2024, 18, 101517. [Google Scholar] [CrossRef]
  9. Liu, B.; Wang, C.; Huasai, S.; Han, A.; Zhang, J.; He, L.; Aorigele, C. Compound probiotics improve the diarrhea rate and intestinal microbiota of newborn calves. Animals 2022, 12, 322. [Google Scholar] [CrossRef]
  10. AOAC International. Official Methods of Analysis, 17th ed.; AOAC International: Gaithersburg, MD, USA, 2000. [Google Scholar]
  11. AOAC International. Official Methods of Analysis, 18th ed.; AOAC International: Washington, DC, USA, 2005. [Google Scholar]
  12. Van Soest, P.V.; Robertson, J.B.; Lewis, B.A. Methods for dietary fiber, neutral detergent fiber, and nonstarch polysaccha rides in relation to animal nutrition. Dairy Sci. 1991, 74, 3583–3597. [Google Scholar] [CrossRef]
  13. Lee, H.J.; Khan, M.A.; Lee, W.S.; Yang, S.H.; Kim, S.B.; Ki, K.S.; Choi, Y.J. Influence of equalizing the gross composition of milk replacer to that of whole milk on the performance of Holstein calves. J. Anim. Sci. 2009, 87, 1129–1137. [Google Scholar] [CrossRef]
  14. Van De Stroet, D.L.; Díaz, J.C.; Stalder, K.J.; Heinrichs, A.J.; Dechow, C.D. Association of calf growth traits with production characteristics in dairy cattle. J. Dairy Sci. 2016, 99, 8347–8355. [Google Scholar] [CrossRef]
  15. Yang, X.; Wang, J.; Cheng, J.; Zhang, D.; Huang, K.; Zhang, Y.; Zhang, X. Relationship between sheep feces scores and gastrointestinal microorganisms and their effects on growth traits and blood indicators. Front. Microbiol. 2024, 15, 1348873. [Google Scholar] [CrossRef]
  16. Zhao, X.; Zhuang, J.; Zhang, F.; Li, H.; Yu, J.; Wang, C.; Zhang, J. Effects of compatibility of Clostridium butyricum and Bacillus subtilis on growth performance, lipid metabolism, antioxidant status and cecal microflora of broilers during the starter phase. Anim. Biosci. 2024, 37, 1933. [Google Scholar] [CrossRef] [PubMed]
  17. Yang, T.; Du, M.; Zhang, J.; Ahmad, B.; Cheng, Q.; Wang, X.; Si, D. Effects of Clostridium butyricum as an Antibiotic Alternative on Growth Performance, Intestinal Morphology, Serum Biochemical Response, and Immunity of Broilers. Antibiotics 2023, 12, 433. [Google Scholar] [CrossRef] [PubMed]
  18. Xue, L.; Wang, D.; Zhang, F.; Cai, L. Prophylactic Feeding of Clostridium butyricum and Saccharomyces cerevisiae Were Advantageous in Resisting the Adverse Effects of Heat Stress on Rumen Fermentation and Growth Performance in Goats. Animals 2022, 12, 2455. [Google Scholar] [CrossRef] [PubMed]
  19. Cai, L.; Li, M.; Zhou, S.; Xu, Q. The Mixture of Saccharomyces cerevisiae and Clostridium butyricum Could Promote Rumen Fermentation and Improve the Growth Performance of Goats in Hot Summer. Metabolites 2023, 13, 104. [Google Scholar] [CrossRef]
  20. Dang, D.X.; Zou, Q.; Xu, Y.; Cui, Y.; Li, X.; Xiao, Y.; Li, D. Feeding Broiler Chicks with Bacillus subtilis, Clostridium butyricum, and Enterococcus faecalis Mixture Improves Growth Performance and Regulates Cecal Microbiota. Probiotics Antimicrob. Proteins 2022, 16, 113–124. [Google Scholar] [CrossRef]
  21. Zhang, L.; Zhang, L.; Zhan, X.A.; Zeng, X.; Zhou, L.; Cao, G.; Yang, C. Effects of dietary supplementation of probiotic, Clostridium butyricum, on growth performance, immune response, intestinal barrier function, and digestive enzyme activity in broiler chickens challenged with Escherichia coli K88. J. Anim. Sci. Biotechnol. 2016, 7, 107–115. [Google Scholar] [CrossRef]
  22. Liang, J.; Kou, S.; Chen, C.; Raza, S.H.A.; Wang, S.; Ma, X.; Nie, C. Effects of Clostridium butyricum on growth performance, metabonomics and intestinal microbial differences of weaned piglets. BMC Microbiol. 2021, 21, 85. [Google Scholar] [CrossRef]
  23. Zhang, B.; Yang, X.; Guo, Y.; Long, F. Effects of dietary lipids and Clostridium butyricum on the performance and the digestive tract of broiler chickens. Arch. Anim. Nutr. 2011, 65, 329–339. [Google Scholar] [CrossRef]
  24. Furman, O.; Shenhav, L.; Sasson, G.; Kokou, F.; Honig, H.; Jacoby, S.; Mizrahi, I. Stochasticity constrained by deterministic effects of diet and age drive rumen microbiome assembly dynamics. Nat. Commun. 2020, 11, 1904. [Google Scholar] [CrossRef]
  25. Timmerman, H.M.; Koning, C.J.; Mulder, L.; Rombouts, F.M.; Beynen, A.C. Monostrain, multistrain and multispecies probiotics—A comparison of functionality and efficacy. Int. J. Food Microbiol. 2004, 96, 219–233. [Google Scholar] [CrossRef] [PubMed]
  26. Frizzo, L.S.; Zbrun, M.V.; Soto, L.P.; Signorini, M.L. Effects of probiotics on growth performance in young calves: A meta-analysis of randomized controlled trials. Anim. Feed. Sci. Technol. 2011, 169, 147–156. [Google Scholar] [CrossRef]
  27. Chen, L.; Li, S.; Zheng, J.; Li, W.; Jiang, X.; Zhao, X.; Wu, D. Effects of dietary Clostridium butyricum supplementation on growth performance, intestinal development, and immune response of weaned piglets challenged with lipopolysaccharide. J. Anim. Sci. Biotechnol. 2018, 9, 62. [Google Scholar] [CrossRef] [PubMed]
  28. Wu, J.; Wang, J.; Lin, Z.; Liu, C.; Zhang, Y.; Zhang, S.; Ma, X. Clostridium butyricum alleviates weaned stress of piglets by improving intestinal immune function and gut microbiota. Food Chem. 2023, 405, 135014. [Google Scholar] [CrossRef]
  29. Jung, Y.; Ku, J.Y.; Kim, B.; Kim, Y.; Park, K.M.; Baek, J.; Park, J. Determining lactate concentrations in Korean indigenous calves and evaluating its role as a predictor for acidemia in calf diarrhea. BMC Vet. Res. 2024, 20, 373. [Google Scholar] [CrossRef]
  30. Wang, T.; Fu, J.; Xiao, X.; Lu, Z.; Wang, F.; Jin, M.; Zong, X. CBP22, a Novel Bacteriocin Isolated from Clostridium butyricum ZJU-F1, Protects against LPS-Induced Intestinal Injury through Maintaining the Tight Junction Complex. Mediat. Inflamm. 2021, 2021, 8032125. [Google Scholar] [CrossRef]
  31. Zhang, L.; Cao, G.T.; Zeng, X.F.; Zhou, L.; Ferket, P.R.; Xiao, Y.P.; Chen, A.G.; Yang, C.M. Effects of Clostridium butyricum on Growth Performance, Immune Function, and Cecal Microflora in Broiler Chickens Challenged with Escherichia coli K88 Parkinson’s Disease. Microb. Pathog. 2021, 160, 105187–105194. [Google Scholar] [CrossRef]
  32. Masek, T.; Mikulec, Ž.; Valpotic, H.; Antunac, N.; Mikulec, N.; Stojevic, Z.; Filipovic, N.; Pahovic, S.; Valpotic, H.; Antunac, N.; et al. Influence of live yeast culture (Saccharomyces cerevisiae) on milk production and composition, and blood biochemistry of grazing dairy ewes during the milking period. Acta Vet. Brno 2008, 77, 547–554. [Google Scholar] [CrossRef]
  33. Ramjiganesh, T.; Roy, S.; Freake, H.C.; Fernandez, M.L.; McIntyre, J.C. Corn fiber oil lowers plasma cholesterol by altering hepatic cholesterol metabolism and up-regulating LDL receptors in guinea pigs. J. Nutr. 2002, 132, 335–340. [Google Scholar] [CrossRef] [PubMed]
  34. Li, J.; Shen, H.; Zhao, Z.; Cao, D.; Zhang, L. Protective effects of Clostridium butyricum against oxidative stress induced by food processing and lipid-derived aldehydes in caco-2 cells. Appl. Microbiol. Biotechnol. 2020, 104, 9343–9361. [Google Scholar] [CrossRef] [PubMed]
  35. Liang, J.; Raza, S.H.A.; Kou, S.; Chen, C.; Yao, M.; Wu, Y.; Wang, S.H.; Ma, X.; Zhang, W.J.; Nie, C.X. Effect of Clostridium butyricum on Plasma Immune Function, Antioxidant Activity and Metabolomics of Weaned Piglets. Livest. Sci. 2020, 241, 104267. [Google Scholar] [CrossRef]
  36. Morrison, D.J.; Preston, T. Formation of short chain fatty acids by the gut microbiota and their impact on human metabolism. Gut Microbes 2024, 12, 28. [Google Scholar] [CrossRef]
  37. Bartoszek, A.; Von Moo, E.; Binienda, A.; Fabisiak, A.; Krajewska, J.B.; Mosińska, P.; Fichna, J. Free Fatty Acid Receptors as new potential therapeutic target in inflammatory bowel diseases. Pharmacol. Res. 2020, 152, 104604. [Google Scholar] [CrossRef]
  38. Patra, S.; Chelikani, P.K. Microencapsulated Propionate and Butyrate Improved Energy Balance and Gut Microbiota Composition in Diet-Induced Obese Rats. Nutrients 2025, 17, 2180. [Google Scholar] [CrossRef]
  39. Wolever, T.M.; Spadafora, P.; Eshuis, H. Interaction between colonic acetate and propionate in humans. Am. J. Clin. Nutr. 1991, 53, 681–687. [Google Scholar] [CrossRef]
  40. Saleem, A.S.; Abdelnour, S.; Bassiony, S.M.; Abdel-Monem, U.M.; Elaref, M.Y.; Al-Marakby, K.M. Probiotic supplementation in sustainable sheep production: Impacts on health, performance, and methane mitigation. Trop. Anim. Health Prod. 2025, 57, 206. [Google Scholar] [CrossRef]
  41. Li, Y.; Ali, I.; Lei, Z.; Li, Y.; Yang, M.; Yang, C.; Li, L. Effect of a Multistrain Probiotic on Feline Gut Health through the Fecal Microbiota and Its Metabolite SCFAs. Metabolites 2023, 13, 228. [Google Scholar] [CrossRef]
  42. Zhang, Q.; Guo, W.L.; Chen, G.M.; Qian, M.; Han, J.Z.; Lv, X.C.; Ni, L. Pediococcus acidilactici FZU106 alleviates high-fat diet-induced lipid metabolism disorder in association with the modulation of intestinal microbiota in hyperlipidemic rats. Curr. Res. Food Sci. 2022, 5, 775–788. [Google Scholar] [CrossRef]
  43. Jiang, X.; Xu, H.J.; Cui, Z.Q.; Zhang, Y.G. Effects of supplementation with Lactobacillus plantarum 299v on the performance, blood metabolites, rumen fermentation and bacterial communities of preweaning calves. Livest. Sci. 2020, 239, 104120. [Google Scholar] [CrossRef]
  44. Celi, P.; Cowieson, A.J.; Fru-Nji, F.; Steinert, R.E.; Kluenter, A.M.; Verlhac, V. Gastrointestinal functionality in animal nutrition and health: New opportunities for sustainable animal production. Anim. Feed. Sci. Technol. 2017, 234, 88–100. [Google Scholar] [CrossRef]
  45. Malmuthuge, N.; Griebel, P.J.; Guan, L.L. The Gut Microbiome and Its Potential Role in the Development and Function of Newborn Calf Gastrointestinal Tract. Front. Vet. Sci. 2015, 2, 36. [Google Scholar] [CrossRef]
  46. Cai, X.; Yi, P.; Chen, X.; Wu, J.; Lan, G.; Li, S.; Shen, P. Intake of compound probiotics accelerates the construction of immune function and gut microbiome in Holstein calves. Microbiol. Spectr. 2024, 12, e0190923. [Google Scholar] [CrossRef]
  47. Amat, S.; Holman, D.B.; Schmidt, K.; Menezes, A.C.B.; Baumgaertner, F.; Winders, T.; Dahlen, C.R. The Nasopharyngeal, Ruminal, and Vaginal Microbiota and the Core Taxa Shared across These Microbiomes in Virgin Yearling Heifers Exposed to Divergent In Utero Nutrition during Their First Trimester of Gestation and in Pregnant Beef Heifers in Response to Mineral Supplementation. Microorganisms 2021, 9, 2011. [Google Scholar] [CrossRef]
  48. Hinsu, A.T.; Tulsani, N.J.; Panchal, K.J.; Pandit, R.J.; Jyotsana, B.; Dafale, N.A.; Jakhesara, S.J. Characterizing rumen microbiota and CAZyme profile of Indian dromedary camel (Camelus dromedarius) in response to different roughages. Sci. Rep. 2021, 11, 9400. [Google Scholar] [CrossRef]
  49. Virginio Junior, G.F.; Silva, A.P.D.; Toledo, A.F.D.; Poczynek, M.; Cezar, A.M.; Montenegro, H.; Bittar, C.M.M. Ruminal and Fecal Bacteriome of Dairy Calves Fed Different Levels and Sources of NDF. Animals 2021, 11, 2705. [Google Scholar] [CrossRef]
  50. Maslen, B.N.; Hine, B.C.; Duff, C.; Alexandre, P.A.; Clark, S.A.; van der Werf, J.; Pant, S.D. Faecal microbial profiles of Angus beef cattle with divergent immune responses. Livest. Sci. 2025, 297, 105719. [Google Scholar] [CrossRef]
  51. Parker, B.J.; Wearsch, P.A.; Veloo, A.C.; Rodriguez-Palacios, A. The Genus Alistipes: Gut Bacteria With Emerging Implications to Inflammation, Cancer, and Mental Health. Front. Immunol. 2020, 11, 906. [Google Scholar] [CrossRef]
  52. Qiao, S.; Wang, T.; Sun, J.; Han, J.; Dai, H.; Du, M.; Liu, H. Cross-feeding-based rational design of a probiotic combination of Bacterides xylanisolvens and Clostridium butyricum therapy for metabolic diseases. Gut Microbes 2025, 25, 17. [Google Scholar] [CrossRef] [PubMed]
  53. Rogosa, M. Acidaminococcus gen. n., Acidaminococcus fermentans sp. n., Anaerobic Gram-negative Diplococci Using Amino Acids as the Sole Energy Source for Growth. J. Bacteriol. 1969, 98, 756–766. [Google Scholar] [CrossRef]
  54. Xu, S.Y.; Feng, X.R.; Zhao, W.; Bi, Y.L.; Diao, Q.Y.; Tu, Y. Rumen and hindgut microbiome regulate average daily gain of preweaning Holstein heifer calves in different ways. Microbiome 2024, 12, 131. [Google Scholar] [CrossRef] [PubMed]
  55. Liu, Y.; Cao, L.; Yu, C.; Zhou, Q.; Li, H.; Zhang, R.; Che, L. Dietary supplementation with Bacillus subtilis PB6 alleviates diarrhea and improves growth performance and immune function in weaned piglets fed a high-protein diet. Front. Vet. Sci. 2025, 12, 1525354. [Google Scholar] [CrossRef]
  56. Cook, G.M.; Wells, J.E.; Russell, J.B. Ability of Acidaminococcus fermentans to oxidize trans-aconitate and decrease the accumulation of tricarballylate, a toxic end product of ruminal fermentation. Appl. Environ. Microbiol. 1994, 60, 2533–2537. [Google Scholar] [CrossRef] [PubMed]
  57. Hartel, U.; Buckel, W. Sodium ion-dependent hydrogen production in Acidaminococcus fermentans. Arch. Microbiol. 1996, 166, 350–356. [Google Scholar] [CrossRef] [PubMed]
  58. Oikonomou, G.; Teixeira, A.G.V.; Foditsch, C.; Bicalho, M.L.; Machado, V.S.; Bicalho, R.C. Fecal microbial diversity in pre-weaned dairy calves as described by pyrosequencing of metagenomic 16S rDNA. Associations of Faecalibacterium species with health and growth. PLoS ONE 2017, 8, e63157. [Google Scholar] [CrossRef]
  59. Hirata, M.; Matsuoka, M.; Hashimoto, T.; Oura, T.; Ohnuki, Y.; Yoshida, C.; Morimatsu, F. Supplemental Clostridium butyricum MIYAIRI 588 affects intestinal bacterial composition of finishing pigs. Microbes Environ. 2022, 37, ME22011. [Google Scholar] [CrossRef]
  60. Wu, F.; Wuri, G.; Fang, B.; Shi, M.; Zhang, M.; Zhao, L. Alleviative mechanism and effect of Bifidobacterium animalis A6 on dextran sodium sulfate-induced ulcerative colitis in mice. Food Sci. Nutr. 2023, 11, 892–902. [Google Scholar] [CrossRef]
  61. Menard, O.; Butel, M.J.; Gaboriau-Routhiau, V.; Waligora-Dupriet, A.J. Gnotobiotic Mouse Immune Response Induced by Bifidobacterium sp. Strains Isolated from Infants. Appl. Environ. Microbiol. 2008, 74, 660–666. [Google Scholar] [CrossRef]
  62. Liu, Y.; Xu, S.; Cai, Q.; Li, D.; Li, H.; Yang, W. In Vitro Interactions between Okadaic Acid and Rat Gut Microbiome. Mar. Drugs 2022, 20, 556. [Google Scholar] [CrossRef]
  63. Ye, X.X.; Li, K.Y.; Li, Y.F.; Lu, J.N.; Guo, P.T.; Liu, H.Y.; Gan, Q.F. The effects of Clostridium butyricum on Ira rabbit growth performance, cecal microbiota and plasma metabolome. Front. Microbiol. 2022, 13, 974337. [Google Scholar] [CrossRef]
  64. Rôças, I.N.; Siqueira, J.F., Jr. Species-directed 16S rRNA gene nested PCR detection of Olsenella species in association with endodontic diseases. Lett. Appl. Microbiol. 2005, 41, 12–16. [Google Scholar] [CrossRef] [PubMed]
  65. Mager, L.F.; Burkhard, R.; Pett, N.; Cooke, N.C.; Brown, K.; Ramay, H.; McCoy, K.D. Microbiome-derived inosine modulates response to checkpoint inhibitor immunotherapy. Science 2020, 369, 1481–1489. [Google Scholar] [CrossRef] [PubMed]
  66. Liu, J.; Zhang, S.; Weng, H. Effects of Clostridium butyricum and inulin supplementation on intestinal microbial composition in high-fat diet fed mice. Food Funct. 2024, 15, 10870–10884. [Google Scholar] [CrossRef] [PubMed]
  67. Gong, G.; Zhou, S.; Luo, R.; Gesang, Z.; Suolang, S. Metagenomic insights into the diversity of carbohydrate-degrading enzymes in the yak fecal microbial community. BMC Microbiol. 2020, 20, 302. [Google Scholar] [CrossRef]
  68. He, X.; Hu, M.; Xu, Y.; Xia, F.; Tan, Y.; Wang, Y.; Zhou, H. The gut–brain axis underlying hepatic encephalopathy in liver cirrhosis. Nat. Med. 2025, 31, 627–638. [Google Scholar] [CrossRef]
  69. Solans-Lopez, M.C.; Sanchez-Somolinos, M.; Igualada-Blazquez, C.; Quevedo-Narciso, T.; Vicente-Herrera, E.; Riquelme-García, O.; Esparragoza-Cabrera, L. Ruminococcus gnavus, an unusual cause of surgical site infection following vertebral posterior instrumentation: A case report. J. Spine Surg. 2023, 9, 102. [Google Scholar] [CrossRef]
Figure 1. Multivariate statistical analysis of short-chain fatty acid. (A) The stability of short-chain fatty acid in QC samples. (B) PCA score plot of SCFAs in rectal samples of calves at Day 21. (C) PCA score plot of SCFAs in rectal samples of calves at Day 42. (D) PCA score plot of SCFAs in rectal samples of calves at Day 60. (E) Propionic acid concentrations in rectal samples of calves at Day 42. (F) Butyric acid concentrations in rectal samples of calves at Day 42.
Figure 1. Multivariate statistical analysis of short-chain fatty acid. (A) The stability of short-chain fatty acid in QC samples. (B) PCA score plot of SCFAs in rectal samples of calves at Day 21. (C) PCA score plot of SCFAs in rectal samples of calves at Day 42. (D) PCA score plot of SCFAs in rectal samples of calves at Day 60. (E) Propionic acid concentrations in rectal samples of calves at Day 42. (F) Butyric acid concentrations in rectal samples of calves at Day 42.
Microorganisms 13 01993 g001
Figure 2. Venn diagram and principal coordinate analysis in rectal samples of calves. In the Venn diagram, green represents OTUs in the control group and purple represents OTUs in the group fed 5 g/d C. butyricum. The overlap represents OTUs present in both groups. (A) Venn diagram in rectal samples of calves at Day 21. (B) Venn diagram in rectal samples of calves at Day 42. (C) Venn diagram in rectal samples of calves at Day 60. (D) Principal coordinate analysis in rectal samples of calves at Day 21. (E) Principal coordinate analysis in rectal samples of calves at Day 42. (F) Principal coordinate analysis in rectal samples of calves at Day 60.
Figure 2. Venn diagram and principal coordinate analysis in rectal samples of calves. In the Venn diagram, green represents OTUs in the control group and purple represents OTUs in the group fed 5 g/d C. butyricum. The overlap represents OTUs present in both groups. (A) Venn diagram in rectal samples of calves at Day 21. (B) Venn diagram in rectal samples of calves at Day 42. (C) Venn diagram in rectal samples of calves at Day 60. (D) Principal coordinate analysis in rectal samples of calves at Day 21. (E) Principal coordinate analysis in rectal samples of calves at Day 42. (F) Principal coordinate analysis in rectal samples of calves at Day 60.
Microorganisms 13 01993 g002
Figure 3. Richness and diversity of feces of calves fed with C. butyricum. a,b Indicates a significant difference between groups (p ≤ 0.05). (A) Chao1 index in rectal samples of calves at Day 21. (B) Simpson index in rectal samples of calves at Day 21. (C) Shannon index in rectal samples of calves at Day 21. (D) Chao1 index in rectal samples of calves at Day 42. (E) Simpson index in rectal samples of calves at Day 42. (F) Shannon index in rectal samples of calves at Day 42. (G) Chao1 index in rectal samples of calves at Day 60. (H) Simpson index in rectal samples of calves at Day 60. (I) Shannon index in rectal samples of calves at Day 60.
Figure 3. Richness and diversity of feces of calves fed with C. butyricum. a,b Indicates a significant difference between groups (p ≤ 0.05). (A) Chao1 index in rectal samples of calves at Day 21. (B) Simpson index in rectal samples of calves at Day 21. (C) Shannon index in rectal samples of calves at Day 21. (D) Chao1 index in rectal samples of calves at Day 42. (E) Simpson index in rectal samples of calves at Day 42. (F) Shannon index in rectal samples of calves at Day 42. (G) Chao1 index in rectal samples of calves at Day 60. (H) Simpson index in rectal samples of calves at Day 60. (I) Shannon index in rectal samples of calves at Day 60.
Microorganisms 13 01993 g003
Figure 4. Microbial community composition in rectal samples of calves. a,b Indicates a significant difference between groups (p ≤ 0.05). (A) Bacterial composition at the phylum level at Day 21. (B) Bacterial composition at the genus level at Day 21. (C) Bacterial composition at the phylum level at Day 42. (D) Bacterial composition at the genus level at Day 42. (E) Bacterial composition at the phylum level at Day 60. (F) Bacterial composition at the genus level at Day 60. (G) LEfSe analysis in rectal microbiota of calves at Day 21. The graph shows that green represents the control group and purple represents the group fed 5 g/d of C. butyricum. Each horizontal bar represents a species that is statistically significantly different from the others. The length of each bar corresponds to the LDA score. Higher scores indicate that the species contributes more to differentiating between the two groups. (H) LEfSe analysis in the rectal microbiota of calves at Day 42. The same description applies to Figure 4G. (I) The relative abundance of Bacteroides in the rectal microbiota of calves at Day 42. (J) The relative abundance of Acidaminococcus in the rectal microbiota of calves at Day 42. (K) The relative abundance of Bifidobacterium in the rectal microbiota of calves at Day 42. (L) The relative abundance of Olsenella in the rectal microbiota of calves at Day 42. (M) The relative abundance of Faecalitalea in the rectal microbiota of calves at Day 42. (N) The relative abundance of Ruminococcus in the rectal microbiota of calves at Day 42.
Figure 4. Microbial community composition in rectal samples of calves. a,b Indicates a significant difference between groups (p ≤ 0.05). (A) Bacterial composition at the phylum level at Day 21. (B) Bacterial composition at the genus level at Day 21. (C) Bacterial composition at the phylum level at Day 42. (D) Bacterial composition at the genus level at Day 42. (E) Bacterial composition at the phylum level at Day 60. (F) Bacterial composition at the genus level at Day 60. (G) LEfSe analysis in rectal microbiota of calves at Day 21. The graph shows that green represents the control group and purple represents the group fed 5 g/d of C. butyricum. Each horizontal bar represents a species that is statistically significantly different from the others. The length of each bar corresponds to the LDA score. Higher scores indicate that the species contributes more to differentiating between the two groups. (H) LEfSe analysis in the rectal microbiota of calves at Day 42. The same description applies to Figure 4G. (I) The relative abundance of Bacteroides in the rectal microbiota of calves at Day 42. (J) The relative abundance of Acidaminococcus in the rectal microbiota of calves at Day 42. (K) The relative abundance of Bifidobacterium in the rectal microbiota of calves at Day 42. (L) The relative abundance of Olsenella in the rectal microbiota of calves at Day 42. (M) The relative abundance of Faecalitalea in the rectal microbiota of calves at Day 42. (N) The relative abundance of Ruminococcus in the rectal microbiota of calves at Day 42.
Microorganisms 13 01993 g004
Table 1. Composition and nutritional level of starter and alfalfa hay (%).
Table 1. Composition and nutritional level of starter and alfalfa hay (%).
ItemsStarterAlfalfa
Ingredients, %
Corn55.10-
Soybean meal18.60-
Corn gluten meal10.00-
DGGS13.00-
Limestone1.70-
NaCl0.60-
Premix (1)1.00-
Nutrient composition, %
Dry matter87.3391.33
Crude protein19.7216.72
Ether extract4.641.56
Ash5.388.17
Neutral detergent fiber16.5349.44
Acid detergent fiber6.0233.93
Ca1.151.33
P0.580.25
Note: (1) The premix provides the following per kg of the starter diet: VA, 15,000 IU; VD 5000, IU; VE, 50 mg; Fe, 90 mg; Cu, 12.5 mg; Mn, 30 mg; Zn, 90 mg; Se, 0.3 mg; 11.0, mg; Co, 0.5 mg.
Table 2. The growth performance and incidence of diarrhea in control calves and calves fed with C. butyricum.
Table 2. The growth performance and incidence of diarrhea in control calves and calves fed with C. butyricum.
ItemsTreatmentSEMp-Value
CON1 g3 g5 g
Initial BW, kg40.6740.4440.7140.562.6540.273
Final BW, kg82.7785.0185.5188.842.8120.161
ADG, g/d701.67 b742.83 ab746.67 ab804.67 a28.440.040
Starter intake, g of DM/d23.1028.4727.9830.415.0160.523
Total feed intake, g of DM/d1231.161281.041288.771302.608.1210.523
Feed efficiency, kg of DMI/kg of gain1.751.721.731.620.0230.833
Incidence of diarrhea (Days 1 to 21), %20.9117.6915.4812.330.0790.075
Incidence of diarrhea (Days 22 to 42), %5.24 a3.29 a3.69 a1.59 b0.0160.039
Incidence of diarrhea (Days 43 to 60), %1.121.13--0.0090.084
a,b Means in the same row with different superscripts are significantly different (p ≤ 0.05).
Table 3. The plasma immunoglobulin, cytokine, and antioxidant index concentrations in control calves and calves fed with C. butyricum.
Table 3. The plasma immunoglobulin, cytokine, and antioxidant index concentrations in control calves and calves fed with C. butyricum.
ItemsTreatmentSEMp-Value
Con1 g3 g5 g
IgA, μg/mL
21 d190.556191.437197.874218.3619.550.359
42 d193.604203.705211.753216.10411.940.483
60 d195.187187.155201.536213.85310.20.288
IgG, μg/mL
21 d1904.8752108.8362162.572178.85494.560.159
42 d1959.5562103.272248.1332275.524110.320.254
60 d2086.7012032.3982182.3252150.53472.380.383
IgM, μg/mL
21 d131.158136.441143.427141.8585.410.598
42 d137.292 b145.163 ab141.593 ab148.927 a3.210.032
60 d139.627134.684142.073140.1096.320.149
IL-1β, ng/L
21 d49.09748.92848.44847.3632.570.269
42 d52.534 a51.676 ab48.828 ab46.385 b3.960.036
60 d52.53549.07648.84648.9462.150.365
IL-2, ng/L
21 d387.501382.243396.41403.7719.450.613
42 d403.425396.398409.63423.39732.280.357
60 d390.366371.807398.174409.32921.220.288
TNF-α, ng/L
21 d300.834299.167293.484298.38215.050.873
42 d314.88315.263303.297299.7413.10.091
60 d314.863298.86293.086288.6619.420.343
MDA, nmol/mL
21 d3.127 a2.995 a2.856 ab2.62 b0.250.033
42 d3.176 a3.122 a2.992 ab2.825 b0.230.018
60 d3.0383.062.8222.8230.240.133
T-AOC, μmol/mL
21 d65.7964.72370.46171.6383.530.318
42 d59.498 b65.377 ab68.988 a72.290 a2.940.003
60 d68.711 b69.477 ab68.636 ab75.575 a2.380.033
a,b Means in the same row with different superscripts are significantly different (p ≤ 0.05).
Table 4. Fecal short-chain fatty acid content in control calves and calves fed with C. butyricum for 21 days.
Table 4. Fecal short-chain fatty acid content in control calves and calves fed with C. butyricum for 21 days.
ItemsTreatmentSEMp-Value
CON5 g
Acetate, μg/g3001.942658.38179.7030.368
Propionic acid, μg/g1307.891513.08132.6270.466
Isobutyric acid, μg/g203.45314.1456.0760.348
Butyrate, μg/g962.711179.29121.7040.399
Isovaleric acid, μg/g186.02304.5857.3880.324
Valeric acid, μg/g143.1098.0243.5560.628
Caproic acid, μg/g4.971.921.2770.25
Total SCFA, μg/mL5810.085792.21514.0520.987
Table 5. Fecal short-chain fatty acid content in control calves and calves fed with C. butyricum for 42 days.
Table 5. Fecal short-chain fatty acid content in control calves and calves fed with C. butyricum for 42 days.
ItemsTreatmentSEMp-Value
CON5 g
Acetate, μg/g5810.085792.21514.0520.078
Propionic acid, μg/g1211.59 b1732.94 a136.7990.046
Isobutyric acid, μg/g1211.591691.47138.3010.081
Butyrate, μg/g782.2 b1197.94 a108.3580.04
Isovaleric acid, μg/g289.91448.5665.5510.244
Valeric acid, μg/g273.45340.3076.2510.682
Caproic acid, μg/g2.703.130.6960.775
Total SCFA, μg/mL5760.367885.69611.3630.080
a,b Means in the same row with different superscripts are significantly different (p ≤ 0.05).
Table 6. Fecal short-chain fatty acid content in control calves and calves fed with C. butyricum for 60 days.
Table 6. Fecal short-chain fatty acid content in control calves and calves fed with C. butyricum for 60 days.
ItemsTreatmentSEMp-Value
CON5 g
Acetate, μg/g2015.032401.64207.5470.377
Propionic acid, μg/g896.761023.94123.2940.629
Isobutyric acid, μg/g159.61161.5428.7440.975
Butyrate, μg/g580.64585.9275.7290.947
Isovaleric acid, μg/g151.31132.5432.0300.785
Valeric acid, μg/g135.82108.0333.5840.699
Caproic acid, μg/g3.971.241.1120.239
Total SCFA, μg/mL3943.154377.55445.7720.652
Disclaimer/Publisher’s Note: The statements, opinions and data contained in all publications are solely those of the individual author(s) and contributor(s) and not of MDPI and/or the editor(s). MDPI and/or the editor(s) disclaim responsibility for any injury to people or property resulting from any ideas, methods, instructions or products referred to in the content.

Share and Cite

MDPI and ACS Style

Gao, P.; Pang, S.; Wang, Q.; Tang, Y.; Li, Q.; Zhang, W.; Nie, C.; Ma, X.; Niu, J. Clostridium butyricum Supplementation Reduces Diarrhea in Preweaning Calves by Modulating Fecal Short-Chain Fatty Acids and Gut Microbiota. Microorganisms 2025, 13, 1993. https://doi.org/10.3390/microorganisms13091993

AMA Style

Gao P, Pang S, Wang Q, Tang Y, Li Q, Zhang W, Nie C, Ma X, Niu J. Clostridium butyricum Supplementation Reduces Diarrhea in Preweaning Calves by Modulating Fecal Short-Chain Fatty Acids and Gut Microbiota. Microorganisms. 2025; 13(9):1993. https://doi.org/10.3390/microorganisms13091993

Chicago/Turabian Style

Gao, Peiyun, Shaoyang Pang, Qianqian Wang, Yaqin Tang, Qiuyan Li, Wenju Zhang, Cunxi Nie, Xiaoling Ma, and Junli Niu. 2025. "Clostridium butyricum Supplementation Reduces Diarrhea in Preweaning Calves by Modulating Fecal Short-Chain Fatty Acids and Gut Microbiota" Microorganisms 13, no. 9: 1993. https://doi.org/10.3390/microorganisms13091993

APA Style

Gao, P., Pang, S., Wang, Q., Tang, Y., Li, Q., Zhang, W., Nie, C., Ma, X., & Niu, J. (2025). Clostridium butyricum Supplementation Reduces Diarrhea in Preweaning Calves by Modulating Fecal Short-Chain Fatty Acids and Gut Microbiota. Microorganisms, 13(9), 1993. https://doi.org/10.3390/microorganisms13091993

Note that from the first issue of 2016, this journal uses article numbers instead of page numbers. See further details here.

Article Metrics

Back to TopTop