Regulatory Effects of Codonopsis pilosula Alkali-Extracted Polysaccharide Induced Intestinal Lactobacillus Enrichment on Peripheral Blood Proteomics in Tumor-Bearing Mice
Abstract
1. Introduction
2. Materials and Methods
2.1. Preparation of CPAP
2.2. Experimental Animals and Tumor Model Establishment
2.3. Determination of 16S rDNA Amplicon
2.4. Intestinal Metabolic Product Determination
2.5. Differential Protein Determination
2.6. Data Analysis
3. Results
3.1. Gut Microbiota Composition Results
3.2. Analysis of Differential Metabolites Between the Model and CPAP Groups
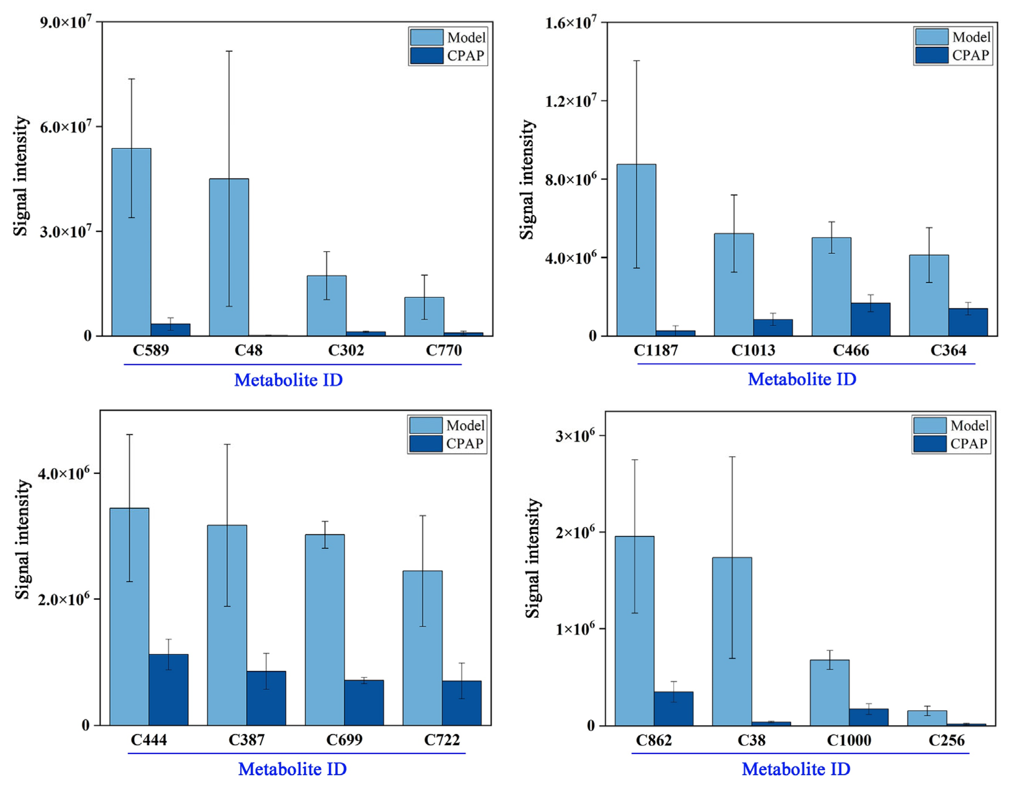
3.3. Analysis of Highly Expressed Metabolites in the Model Group
3.4. Analysis of Highly Expressed Metabolites in the CPAP Group
3.5. Analysis of Highly Expressed Proteins in Sera from the Model Group
3.6. Analysis of Highly Expressed Proteins in Sera from the CPAP Group
3.7. Analysis of Highly Expressed Proteins in Leukocytes from the Model Group
3.8. Analysis of Highly Expressed Proteins in Leukocytes from the CPAP Group
3.9. Analysis of Highly Expressed Proteins in Solid Tumors from the Model Group
3.10. Analysis of Highly Expressed Proteins in Solid Tumors from the CPAP Group
4. Conclusions
Supplementary Materials
Author Contributions
Funding
Institutional Review Board Statement
Informed Consent Statement
Data Availability Statement
Conflicts of Interest
References
- Luan, F.; Ji, Y.; Peng, L.; Liu, Q.; Cao, H.; Yang, Y.; He, X.; Zeng, N. Extraction, purification, structural characteristics and biological properties of the polysaccharides from Codonopsis pilosula: A review. Carbohydr. Polym. 2021, 261, 117863. [Google Scholar] [CrossRef] [PubMed]
- Rong, X.; Shu, Q. Modulating butyric acid-producing bacterial community abundance and structure in the intestine of immunocompromised mice with neutral polysaccharides extracted from Codonopsis pilosula. Int. J. Biol. Macromol. 2024, 278, 134959. [Google Scholar] [CrossRef] [PubMed]
- Cao, L.; Du, C.; Zhai, X.; Li, J.; Meng, J.; Shao, Y.; Gao, J. Codonopsis pilosula Polysaccharide Improved Spleen Deficiency in Mice by Modulating Gut Microbiota and Energy Related Metabolisms. Front. Pharmacol. 2022, 13, 862763. [Google Scholar] [CrossRef]
- Nie, C.; Lan, J.; Guo, H.; Ouyang, Q.; Zhao, Y.; Wang, P.; Wang, R.; Li, Y.; Wang, X.; Fang, B.; et al. Codonopsis pilosula polysaccharides (CPP) intervention alleviates sterigmatocystin (STC)-induced liver injury and gut microbiota dysbiosis. Int. J. Biol. Macromol. 2024, 275, 133190. [Google Scholar] [CrossRef]
- Fan, Y.; Long, Y.; Gong, Y.; Gao, X.; Zheng, G.; Ji, H. Systemic Immunomodulatory Effects of Codonopsis pilosula Glucofructan on S180 Solid-Tumor-Bearing Mice. Int. J. Mol. Sci. 2023, 24, 15598. [Google Scholar] [CrossRef]
- Tian, B.; Zhou, X.; Geng, Y.; Hu, J.; Ye, B.; Sun, P.; Yang, K. Characterization and in vitro digestion of alkali-extracted polysaccharides from Grifola frondosa and its impacts on human gut microbiota. Food Biosci. 2024, 60, 104499. [Google Scholar] [CrossRef]
- Berney, D.M.; Colecchia, M.; Comperat, E.; Cornejo, K.M.; Gill, A.J.; Gupta, S.; Cheville, J.C.; Idrees, M.T.; Kao, C.-S.; Maclean, F.; et al. Observer variation in the diagnosis of testicular sex cord-stromal tumors by a Genitourinary Pathology Society and International Society of Urological Pathology panel: Paving the way for a new classification. Mod. Pathol. 2025, 38, 100804. [Google Scholar] [CrossRef]
- Liu, Z.; Gao, T.; Yang, Y.; Meng, F.; Zhan, F.; Jiang, Q.; Sun, X. Anti-Cancer Activity of Porphyran and Carrageenan from Red Seaweeds. Molecules 2019, 24, 4286. [Google Scholar] [CrossRef]
- Chen, Y.; Fan, W.; Zhao, Y.; Liu, M.; Hu, L.; Zhang, W. Progress in the Regulation of Immune Cells in the Tumor Microenvironment by Bioactive Compounds of Traditional Chinese Medicine. Molecules 2024, 29, 2374. [Google Scholar] [CrossRef] [PubMed]
- Kay, J.; Thadhani, E.; Samson, L.; Engelward, B. Inflammation-induced DNA damage, mutations and cancer. DNA Repair 2019, 83, 102673. [Google Scholar] [CrossRef] [PubMed]
- Sender, R.; Fuchs, S.; Milo, R. Revised Estimates for the Number of Human and Bacteria Cells in the Body. PLoS Biol. 2016, 14, e1002533. [Google Scholar] [CrossRef]
- Fan, S.; Ding, Y.; Hu, Z.; Zhang, Z.; Fu, L.; Zhang, J.; Zhu, Y.; Bai, J.; Xiao, X. Inter-individual variation in human microbiota drives differential impacts on the fermentability of insoluble bran by soluble β-glucans from whole barley. Food Hydrocoll. 2025, 162, 111034. [Google Scholar] [CrossRef]
- Gopalakrishnan, V.; Helmink, B.A.; Spencer, C.N.; Reuben, A.; Wargo, J.A. The Influence of the Gut Microbiome on Cancer, Immunity, and Cancer Immunotherapy. Cancer Cell 2018, 33, 570–580. [Google Scholar] [CrossRef]
- Honda, K.; Littman, D.R. The microbiota in adaptive immune homeostasis and disease. Nature 2016, 535, 75–84. [Google Scholar] [CrossRef] [PubMed]
- Dai, K.-Y.; Liu, C.; Ji, H.-Y.; Liu, A.-J. Structural characteristics and anti-tumor activity of alkali-extracted acidic polysaccharide extracted from Panax ginseng. Int. J. Biol. Macromol. 2025, 305, 141230. [Google Scholar] [CrossRef]
- Gong, Y.; Guo, N.; Dai, K.; Han, B.; Wang, Z.; Ji, H. Primary structure analysis of cold water-soluble alcohol extract from green tea and the regulatory effects on intestinal flora metabolism. LWT 2025, 216, 117313. [Google Scholar] [CrossRef]
- Chen, Q.; Ren, R.; Zhang, Q.; Wu, J.; Zhang, Y.; Xue, M.; Yin, D.; Yang, Y. Coptis chinensis Franch polysaccharides provide a dynamically regulation on intestinal microenvironment, based on the intestinal flora and mucosal immunity. J. Ethnopharmacol. 2021, 267, 113542. [Google Scholar] [CrossRef] [PubMed]
- Zhu, Z.; Bu, S.; Liu, J.; Niu, C.; Wang, L.; Yuan, H.; Zhang, L.; Song, Y. Label-free-based proteomics analysis reveals differential proteins of sheep, goat, and cow milk. J. Dairy Sci. 2024, 107, 8908–8918. [Google Scholar] [CrossRef] [PubMed]
- Liu, X.; Yu, Y.; Yu, H.; Sarkar, B.; Zhang, Y.; Yang, Y.; Qin, S. Nonbiodegradable microplastic types determine the diversity and structure of soil microbial communities: A meta-analysis. Environ. Res. 2024, 260, 119663. [Google Scholar] [CrossRef]
- Hayakawa, K.; Saito, S.; Miyoshi-Akiyama, T.; Fukui, Y.; Takemoto, N.; Hashimoto, T.; Inagaki, T.; Hirose, K.; Kobayashi, K.; Koizumi, R. Comparison of the effects of cefmetazole and meropenem on microbiome: A pilot study. J. Infect. Chemother. 2024, 30, 1274–1279. [Google Scholar] [CrossRef]
- Zeng, H.; Larson, K.J.; Cheng, W.-H.; Bukowski, M.R.; Safratowich, B.D.; Liu, Z.; Hakkak, R. Advanced liver steatosis accompanies an increase in hepatic inflammation, colonic, secondary bile acids and Lactobacillaceae/Lachnospiraceae bacteria in C57BL/6 mice fed a high-fat diet. J. Nutr. Biochem. 2020, 78, 108336. [Google Scholar] [CrossRef]
- Ji, H.-F.; Li, M.; Han, X.; Fan, Y.-T.; Yang, J.-J.; Long, Y.; Yu, J.; Ji, H.-Y. Lactobacilli-Mediated Regulation of the Microbial–Immune Axis: A Review of Key Mechanisms, Influencing Factors, and Application Prospects. Foods 2025, 14, 1763. [Google Scholar] [CrossRef]
- Dong, X.; Sun, S.; Wang, X.; Yu, H.; Dai, K.; Jiao, J.; Peng, C.; Ji, H.; Peng, L. Structural characteristics and intestinal flora metabolism mediated immunoregulatory effects of Lactarius deliciosus polysaccharide. Int. J. Biol. Macromol. 2024, 278, 135063. [Google Scholar] [CrossRef]
- Ulger Toprak, N.; Duman, N.; Sacak, B.; Ozkan, M.C.; Sayın, E.; Mulazimoglu, L.; Soyletir, G. Alloprevotella rava isolated from a mixed infection of an elderly patient with chronic mandibular osteomyelitis mimicking oral squamous cell carcinoma. New Microbes New Infect. 2021, 42, 100880. [Google Scholar] [CrossRef]
- Ruiz-Perez, D.; Guan, H.; Madhivanan, P.; Mathee, K.; Narasimhan, G. So you think you can PLS-DA? BMC Bioinform. 2020, 21, 2. [Google Scholar] [CrossRef] [PubMed]
- Liu, P.; Zhu, W.; Chen, C.; Yan, B.; Zhu, L.; Chen, X.; Peng, C. The mechanisms of lysophosphatidylcholine in the development of diseases. Life Sci. 2020, 247, 117443. [Google Scholar] [CrossRef]
- Cheng, S.; Zhang, D.; Feng, J.; Hu, Q.; Tan, A.; Xie, Z.; Chen, Q.; Huang, H.; Wei, Y.; Ouyang, Z.; et al. Metabolic Pathway of Monounsaturated Lipids Revealed by In-Depth Structural Lipidomics by Mass Spectrometry. Research 2023, 6, 0087. [Google Scholar] [CrossRef]
- Moreno, C.; Santos, R.M.; Burns, R.; Zhang, W.C. Succinate Dehydrogenase and Ribonucleic Acid Networks in Cancer and Other Diseases. Cancers 2020, 12, 3287. [Google Scholar] [CrossRef]
- Jiang, N.; Zhao, Z. Intestinal aging is alleviated by uridine via regulating inflammation and oxidative stress in vivo and in vitro. Cell Cycle 2022, 21, 1519–1531. [Google Scholar] [CrossRef] [PubMed]
- Parolini, M.; Ghilardi, A.; Della Torre, C.; Magni, S.; Prosperi, L.; Calvagno, M.; Del Giacco, L.; Binelli, A. Environmental concentrations of cocaine and its main metabolites modulated antioxidant response and caused cyto-genotoxic effects in zebrafish embryo cells. Environ. Pollut. 2017, 226, 504–514. [Google Scholar] [CrossRef] [PubMed]
- Bouyahya, A.; Mechchate, H.; Benali, T.; Ghchime, R.; Charfi, S.; Balahbib, A.; Burkov, P.; Shariati, M.A.; Lorenzo, J.M.; Omari, N.E. Health Benefits and Pharmacological Properties of Carvone. Biomolecules 2021, 11, 1803. [Google Scholar] [CrossRef] [PubMed]
- Patil, M.D.; Bhaumik, J.; Babykutty, S.; Banerjee, U.C.; Fukumura, D. Arginine dependence of tumor cells: Targeting a chink in cancer’s armor. Oncogene 2016, 35, 4957–4972. [Google Scholar] [CrossRef]
- Sahebnasagh, A.; Saghafi, F.; Negintaji, S.; Hu, T.; Shabani-Borujeni, M.; Safdari, M.; Ghaleno, H.R.; Miao, L.; Qi, Y.; Wang, M.; et al. Nitric Oxide and Immune Responses in Cancer: Searching for New Therapeutic Strategies. Curr. Med. Chem. 2022, 29, 1561–1595. [Google Scholar] [CrossRef]
- Kai, K.; Furuyabu, K.; Tani, A.; Hayashi, H. Production of the Quorum-Sensing Molecules N-Acylhomoserine Lactones by endobacteria associated with Mortierella alpina A-178. Chembiochem 2012, 13, 1776–1784. [Google Scholar] [CrossRef] [PubMed]
- Fliegert, R.; Heeren, J.; Koch-Nolte, F.; Nikolaev, V.O.; Lohr, C.; Meier, C.; Guse, A.H. Adenine nucleotides as paracrine mediators and intracellular second messengers in immunity and inflammation. Biochem. Soc. Trans. 2019, 47, 329–337. [Google Scholar] [CrossRef] [PubMed]
- Li, J.; Chen, Y.; Li, R.; Zhang, X.; Chen, T.; Mei, F.; Liu, R.; Chen, M.; Ge, Y.; Hu, H.; et al. Gut microbial metabolite hyodeoxycholic acid targets the TLR4/MD2 complex to attenuate inflammation and protect against sepsis. Mol. Ther. 2023, 31, 1017–1032. [Google Scholar] [CrossRef]
- Pang, Q.; Huang, S.; Li, X.; Cao, J. Hyodeoxycholic acid inhibits colorectal cancer proliferation through the FXR/EREG/EGFR axis. Front. Cell Dev. Biol. 2024, 12, 1480998. [Google Scholar] [CrossRef]
- Guo, X.; Okpara, E.S.; Hu, W.; Yan, C.; Wang, Y.; Liang, Q.; Chiang, J.Y.L.; Han, S. Interactive Relationships between Intestinal Flora and Bile Acids. Int. J. Mol. Sci. 2022, 23, 8343. [Google Scholar] [CrossRef]
- Shinu, P.; Gupta, G.L.; Sharma, M.; Khan, S.; Goyal, M.; Nair, A.B.; Kumar, M.; Soliman, W.E.; Rahman, A.; Attimarad, M.; et al. Pharmacological Features of 18β-Glycyrrhetinic Acid: A Pentacyclic Triterpenoid of Therapeutic Potential. Plants 2023, 12, 1086. [Google Scholar] [CrossRef]
- Ramakrishna, R.; Bhateria, M.; Puttrevu, S.k.; Durga Prasad, Y.; Singh, R.; Bhatta, R.S. A liquid chromatography–tandem mass spectrometry method for the quantitation of actarit in rabbit plasma: Application to pharmacokinetics and metabolic stability. J. Mass Spectrom. 2016, 51, 69–78. [Google Scholar] [CrossRef]
- Makdissi, S.; Loudhaief, R.; George, S.; Weller, T.; Salim, M.; Malick, A.; Mu, Y.; Parsons, B.D.; Di Cara, F. Alterations in ether phospholipids metabolism activate the conserved UPR-Xbp1- PDIA3/ERp60 signaling to maintain intestinal homeostasis. iScience 2025, 28, 111946. [Google Scholar] [CrossRef]
- Zhang, S.; Wang, S.; Zhang, Q.; Chang, C.W.; Zhan, J. Three new fusidic acid derivatives and their antibacterial activity. Bioorganic Med. Chem. Lett. 2015, 25, 1920–1924. [Google Scholar] [CrossRef] [PubMed]
- Gulfidan, G.; Turanli, B.; Beklen, H.; Sinha, R.; Arga, K.Y. Pan-cancer mapping of differential protein-protein interactions. Sci. Rep. 2020, 10, 3272. [Google Scholar] [CrossRef]
- Seo, J.; Park, M. Molecular crosstalk between cancer and neurodegenerative diseases. Cell. Mol. Life Sci. 2020, 77, 2659–2680. [Google Scholar] [CrossRef]
- Nihira, N.T.; Kudo, R.; Ohta, T. Inflammation and tumor immune escape in response to DNA damage. Semin. Cancer Biol. 2025, 110, 36–45. [Google Scholar] [CrossRef]
- Barghout, S.H. Targeted Protein Degradation: An Emerging Therapeutic Strategy in Cancer. Anti-Cancer Agents Med. Chem. 2021, 21, 214–230. [Google Scholar] [CrossRef]
- Thol, K.; Pawlik, P.; McGranahan, N. Therapy sculpts the complex interplay between cancer and the immune system during tumour evolution. Genome Med. 2022, 14, 137. [Google Scholar] [CrossRef]
- Bumiller-Bini, V.; de Freitas Oliveira-Toré, C.; Carvalho, T.M.; Kretzschmar, G.C.; Gonçalves, L.B.; Alencar, N.M.; Gasparetto Filho, M.A.; Beltrame, M.H.; Winter Boldt, A.B. MASPs at the crossroad between the complement and the coagulation cascades –the case for COVID-19. Genet. Mol. Biol. 2021, 44, e20200199. [Google Scholar] [CrossRef]
- Aleksandrowicz, K.; Hempel, D.; Polityńska, B.; Wojtukiewicz, A.M.; Honn, K.V.; Tang, D.G.; Wojtukiewicz, M.Z. The Complex Role of Thrombin in Cancer and Metastasis: Focus on Interactions with the Immune System. Semin. Thromb. Hemost. 2024, 50, 462–473. [Google Scholar] [CrossRef] [PubMed]
- Sepúlveda, F.; Mayorga-Lobos, C.; Guzmán, K.; Durán-Jara, E.; Lobos-González, L. EV-miRNA-Mediated Intercellular Communication in the Breast Tumor Microenvironment. Int. J. Mol. Sci. 2023, 24, 13085. [Google Scholar] [CrossRef] [PubMed]
- Bonam, S.R.; Wang, F.; Muller, S. Lysosomes as a therapeutic target. Nat. Rev. Drug Discov. 2019, 18, 923–948. [Google Scholar] [CrossRef]
- Mullen, N.J.; Singh, P.K. Nucleotide metabolism: A pan-cancer metabolic dependency. Nat. Rev. Cancer 2023, 23, 275–294. [Google Scholar] [CrossRef] [PubMed]
- Yang, Y.; Li, C.; Liu, T.; Dai, X.; Bazhin, A.V. Myeloid-Derived Suppressor Cells in Tumors: From Mechanisms to Antigen Specificity and Microenvironmental Regulation. Front. Immunol. 2020, 11, 1371. [Google Scholar] [CrossRef]
- Lim, S.A.; Su, W.; Chapman, N.M.; Chi, H. Lipid metabolism in T cell signaling and function. Nat. Chem. Biol. 2022, 18, 470–481. [Google Scholar] [CrossRef]
- Li, X.; Li, Y.; Tuerxun, H.; Zhao, Y.; Liu, X.; Zhao, Y. Firing up “cold” tumors: Ferroptosis causes immune activation by improving T cell infiltration. Biomed. Pharmacother. 2024, 179, 117298. [Google Scholar] [CrossRef]
- Vera-Ramirez, L.; Sanchez-Rovira, P.; Ramirez-Tortosa, M.C.; Ramirez-Tortosa, C.L.; Granados-Principal, S.; Lorente, J.A.; Quiles, J.L. Free radicals in breast carcinogenesis, breast cancer progression and cancer stem cells. Biological bases to develop oxidative-based therapies. Crit. Rev. Oncol./Hematol. 2011, 80, 347–368. [Google Scholar] [CrossRef]
- Jing, X.; Wang, X.-j.; Zhang, T.; Zhu, W.; Fang, Y.; Wu, H.; Liu, X.; Ma, D.; Ji, X.; Jiang, Y.; et al. Cell-Cycle–Dependent Phosphorylation of PRPS1 Fuels Nucleotide Synthesis and Promotes Tumorigenesis. Cancer Res. 2019, 79, 4650–4664. [Google Scholar] [CrossRef] [PubMed]
- Eichelberger, K.R.; Goldman, W.E. Manipulating neutrophil degranulation as a bacterial virulence strategy. PLoS Pathog. 2020, 16, e1009054. [Google Scholar] [CrossRef]
- Kruse, B.; Buzzai, A.C.; Shridhar, N.; Braun, A.D.; Gellert, S.; Knauth, K.; Pozniak, J.; Peters, J.; Dittmann, P.; Mengoni, M.; et al. CD4+ T cell-induced inflammatory cell death controls immune-evasive tumours. Nature 2023, 618, 1033–1040. [Google Scholar] [CrossRef]
- Liu, X.; Ren, B.; Ren, J.; Gu, M.; You, L.; Zhao, Y. The significant role of amino acid metabolic reprogramming in cancer. Cell Commun. Signal. 2024, 22, 380. [Google Scholar] [CrossRef] [PubMed]
- Hill, M.; Tran, N. miRNA interplay: Mechanisms and consequences in cancer. Dis. Models Mech. 2021, 14, dmm047662. [Google Scholar] [CrossRef]
- Ebrahimi, N.; Fardi, E.; Ghaderi, H.; Palizdar, S.; Khorram, R.; Vafadar, R.; Ghanaatian, M.; Rezaei-Tazangi, F.; Baziyar, P.; Ahmadi, A.; et al. Receptor tyrosine kinase inhibitors in cancer. Cell. Mol. Life Sci. 2023, 80, 104. [Google Scholar] [CrossRef]
- Hua, H.; Kong, Q.; Zhang, H.; Wang, J.; Luo, T.; Jiang, Y. Targeting mTOR for cancer therapy. J. Hematol. Oncol. 2019, 12, 71. [Google Scholar] [CrossRef] [PubMed]
- Birts, C.N.; Banerjee, A.; Darley, M.; Dunlop, C.R.; Nelson, S.; Nijjar, S.K.; Parker, R.; West, J.; Tavassoli, A.; Rose-Zerilli, M.J.J.; et al. p53 is regulated by aerobic glycolysis in cancer cells by the CtBP family of NADH-dependent transcriptional regulators. Sci. Signal. 2020, 13, eaau9529. [Google Scholar] [CrossRef] [PubMed]
- Long, Y.; Ji, H.; Yang, J.; Ji, H.; Dai, K.; Ding, W.; Zheng, G.; Yu, J. Immunoregulatory Effects of Codonopsis pilosula Polysaccharide Modified Selenium Nanoparticles on H22 Tumor-Bearing Mice. Foods 2024, 13, 4073. [Google Scholar] [CrossRef] [PubMed]
- Guo, X.-J.; Zhu, B.-B.; Li, J.; Guo, P.; Niu, Y.-B.; Shi, J.-L.; Yokoyama, W.; Huang, Q.-S.; Shao, D.-Y. Cholesterol metabolism in tumor immunity: Mechanisms and therapeutic opportunities for cancer. Biochem. Pharmacol. 2025, 234, 116802. [Google Scholar] [CrossRef]










Disclaimer/Publisher’s Note: The statements, opinions and data contained in all publications are solely those of the individual author(s) and contributor(s) and not of MDPI and/or the editor(s). MDPI and/or the editor(s) disclaim responsibility for any injury to people or property resulting from any ideas, methods, instructions or products referred to in the content. |
© 2025 by the authors. Licensee MDPI, Basel, Switzerland. This article is an open access article distributed under the terms and conditions of the Creative Commons Attribution (CC BY) license (https://creativecommons.org/licenses/by/4.0/).
Share and Cite
Fan, Y.; Yang, C.; Zhao, Y.; Han, X.; Ji, H.; Ren, Z.; Ding, W.; Ji, H. Regulatory Effects of Codonopsis pilosula Alkali-Extracted Polysaccharide Induced Intestinal Lactobacillus Enrichment on Peripheral Blood Proteomics in Tumor-Bearing Mice. Microorganisms 2025, 13, 1750. https://doi.org/10.3390/microorganisms13081750
Fan Y, Yang C, Zhao Y, Han X, Ji H, Ren Z, Ding W, Ji H. Regulatory Effects of Codonopsis pilosula Alkali-Extracted Polysaccharide Induced Intestinal Lactobacillus Enrichment on Peripheral Blood Proteomics in Tumor-Bearing Mice. Microorganisms. 2025; 13(8):1750. https://doi.org/10.3390/microorganisms13081750
Chicago/Turabian StyleFan, Yuting, Chenqi Yang, Yiran Zhao, Xiao Han, Hongfei Ji, Zhuohao Ren, Wenjie Ding, and Haiyu Ji. 2025. "Regulatory Effects of Codonopsis pilosula Alkali-Extracted Polysaccharide Induced Intestinal Lactobacillus Enrichment on Peripheral Blood Proteomics in Tumor-Bearing Mice" Microorganisms 13, no. 8: 1750. https://doi.org/10.3390/microorganisms13081750
APA StyleFan, Y., Yang, C., Zhao, Y., Han, X., Ji, H., Ren, Z., Ding, W., & Ji, H. (2025). Regulatory Effects of Codonopsis pilosula Alkali-Extracted Polysaccharide Induced Intestinal Lactobacillus Enrichment on Peripheral Blood Proteomics in Tumor-Bearing Mice. Microorganisms, 13(8), 1750. https://doi.org/10.3390/microorganisms13081750

