Genomic Characterization of Escherichia coli Isolates from Alpaca Crias (Vicugna pacos) in the Peruvian Highlands: Insights into Functional Diversity and Pathogenicity
Abstract
1. Introduction
2. Materials and Methods
2.1. Sampling
2.2. Isolation and Biochemical and Molecular Characterization
2.3. DNA Sequencing, Assembly, and Genome Annotation
2.4. Multi-Locus Sequence Typing (MLST), Serotype, and Phylogroup Determination
2.5. Antibiotic Resistance Gene and Virulence Factors and Pathotypes Identification
2.6. Plasmid Replicon Identification and Genomic Island Prediction
2.7. Pan-Genome Analysis
2.8. Functional Annotation and Enrichment Analysis
2.9. Phylogenomic Analysis
3. Results
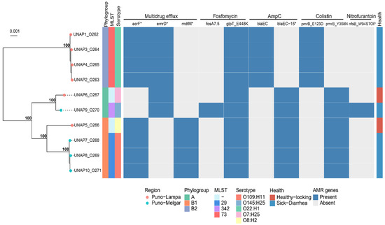
3.1. MLST, Core Genome MLST (cgMLST), Serotype, and Phylogroup
3.2. Phylogenetic Relationships Between the 10 E. coli Isolates
3.3. Phenotypic Antimicrobial Susceptibility Testing (AST)
3.4. Antimicrobial Resistance Profile in E. coli Isolates
3.5. Genotypic and Phenotypic Resistance Comparison
3.6. Virulence Profile in E. coli Isolates
3.7. Genomic Island and Plasmid Replicon Analysis
3.8. Pan-Genome Analysis of the 10 E. coli Isolates
3.9. Functional Categorization and Biological Pathway Analysis
3.10. Comparative Genomics
4. Discussion
5. Conclusions
Supplementary Materials
Author Contributions
Funding
Institutional Review Board Statement
Informed Consent Statement
Data Availability Statement
Acknowledgments
Conflicts of Interest
References
- Joensen, K.G.; Scheutz, F.; Lund, O.; Hasman, H.; Kaas, R.S.; Nielsen, E.M.; Aarestrup, F.M. Real-Time Whole-Genome Sequencing for Routine Typing, Surveillance, and Outbreak Detection of Verotoxigenic Escherichia coli. J. Clin. Microbiol. 2014, 52, 1501–1510. [Google Scholar] [CrossRef] [PubMed]
- Zhou, Z.; Alikhan, N.-F.; Mohamed, K.; Fan, Y.; the Agama Study Group; Achtman, M.; Brown, D.; Chattaway, M.; Dallman, T.; Delahay, R.; et al. The EnteroBase User’s Guide, with Case Studies on Salmonella Transmissions, Yersinia Pestis Phylogeny, and Escherichia Core Genomic Diversity. Genome Res. 2020, 30, 138–152. [Google Scholar] [CrossRef] [PubMed]
- Alcock, B.P.; Raphenya, A.R.; Lau, T.T.Y.; Tsang, K.K.; Bouchard, M.; Edalatmand, A.; Huynh, W.; Nguyen, A.-L.V.; Cheng, A.A.; Liu, S.; et al. CARD 2020: Antibiotic Resistome Surveillance with the Comprehensive Antibiotic Resistance Database. Nucleic Acids Res. 2019, 48, D517–D525. [Google Scholar] [CrossRef] [PubMed]
- Beghain, J.; Bridier-Nahmias, A.; Le Nagard, H.; Denamur, E.; Clermont, O. ClermonTyping: An Easy-to-Use and Accurate in Silico Method for Escherichia Genus Strain Phylotyping. Microb. Genom. 2018, 4, e000192. [Google Scholar] [CrossRef]
- Carattoli, A.; Zankari, E.; García-Fernández, A.; Voldby Larsen, M.; Lund, O.; Villa, L.; Møller Aarestrup, F.; Hasman, H. In Silico Detection and Typing of Plasmids Using PlasmidFinder and Plasmid Multilocus Sequence Typing. Antimicrob. Agents Chemother. 2014, 58, 3895–3903. [Google Scholar] [CrossRef]
- Feldgarden, M.; Brover, V.; Haft, D.H.; Prasad, A.B.; Slotta, D.J.; Tolstoy, I.; Tyson, G.H.; Zhao, S.; Hsu, C.-H.; McDermott, P.F.; et al. Validating the AMRFinder Tool and Resistance Gene Database by Using Antimicrobial Resistance Genotype-Phenotype Correlations in a Collection of Isolates. Antimicrob. Agents Chemother. 2019, 63, e00483-19. [Google Scholar] [CrossRef]
- Silva, M.; Machado, M.P.; Silva, D.N.; Rossi, M.; Moran-Gilad, J.; Santos, S.; Ramirez, M.; Carriço, J.A. chewBBACA: A Complete Suite for Gene-by-Gene Schema Creation and Strain Identification. Microb. Genom. 2018, 4, e000166. [Google Scholar] [CrossRef]
- Koneman, E.W.; Davis, M.A. Postmortem Bacteriology: III. Clinical Significance of Microorganisms Recovered at Autopsy. Am. J. Clin. Pathol. 1974, 61, 28–40. [Google Scholar] [CrossRef]
- Odds, F. Biochemical Tests for Identification of Medical Bacteria. J. Clin. Pathol. 1981, 34, 572. [Google Scholar] [CrossRef]
- Bessonov, K.; Laing, C.; Robertson, J.; Yong, I.; Ziebell, K.; Gannon, V.P.J.; Nichani, A.; Arya, G.; Nash, J.H.E.; Christianson, S. ECTyper: In Silico Escherichia coli Serotype and Species Prediction from Raw and Assembled Whole-Genome Sequence Data. Microb. Genom. 2021, 7, 000728. [Google Scholar] [CrossRef]
- Sherry, N.L.; Horan, K.A.; Ballard, S.A.; Gonҫalves da Silva, A.; Gorrie, C.L.; Schultz, M.B.; Stevens, K.; Valcanis, M.; Sait, M.L.; Stinear, T.P.; et al. An ISO-Certified Genomics Workflow for Identification and Surveillance of Antimicrobial Resistance. Nat. Commun. 2023, 14, 60. [Google Scholar] [CrossRef] [PubMed]
- Zankari, E.; Hasman, H.; Cosentino, S.; Vestergaard, M.; Rasmussen, S.; Lund, O.; Aarestrup, F.M.; Larsen, M.V. Identification of Acquired Antimicrobial Resistance Genes. J. Antimicrob. Chemother. 2012, 67, 2640–2644. [Google Scholar] [CrossRef] [PubMed]
- Camacho, C.; Coulouris, G.; Avagyan, V.; Ma, N.; Papadopoulos, J.; Bealer, K.; Madden, T.L. BLAST+: Architecture and Applications. BMC Bioinformatics 2009, 10, 421. [Google Scholar] [CrossRef] [PubMed]
- Malberg Tetzschner, A.M.; Johnson, J.R.; Johnston, B.D.; Lund, O.; Scheutz, F. In Silico Genotyping of Escherichia coli Isolates for Extraintestinal Virulence Genes by Use of Whole-Genome Sequencing Data. J. Clin. Microbiol. 2020, 58, e01269-20. [Google Scholar] [CrossRef]
- Liu, B.; Zheng, D.; Zhou, S.; Chen, L.; Yang, J. VFDB 2022: A General Classification Scheme for Bacterial Virulence Factors. Nucleic Acids Res. 2022, 50, D912–D917. [Google Scholar] [CrossRef]
- Yu, G. Using Ggtree to Visualize Data on Tree-Like Structures. Curr. Protoc. Bioinforma. 2020, 69, e96. [Google Scholar] [CrossRef]
- Bertelli, C.; Laird, M.R.; Williams, K.P.; Simon Fraser University Research Computing Group; Lau, B.Y.; Hoad, G.; Winsor, G.L.; Brinkman, F.S. IslandViewer 4: Expanded Prediction of Genomic Islands for Larger-Scale Datasets. Nucleic Acids Res. 2017, 45, W30–W35. [Google Scholar] [CrossRef]
- Seemann, T. Prokka: Rapid Prokaryotic Genome Annotation. Bioinformatics 2014, 30, 2068–2069. [Google Scholar] [CrossRef]
- Tonkin-Hill, G.; MacAlasdair, N.; Ruis, C.; Weimann, A.; Horesh, G.; Lees, J.A.; Gladstone, R.A.; Lo, S.; Beaudoin, C.; Floto, R.A.; et al. Producing Polished Prokaryotic Pangenomes with the Panaroo Pipeline. Genome Biol. 2020, 21, 180. [Google Scholar] [CrossRef]
- Minh, B.Q.; Schmidt, H.A.; Chernomor, O.; Schrempf, D.; Woodhams, M.D.; von Haeseler, A.; Lanfear, R. IQ-TREE 2: New Models and Efficient Methods for Phylogenetic Inference in the Genomic Era. Mol. Biol. Evol. 2020, 37, 1530–1534. [Google Scholar] [CrossRef]
- Cantalapiedra, C.P.; Hernández-Plaza, A.; Letunic, I.; Bork, P.; Huerta-Cepas, J. eggNOG-Mapper v2: Functional Annotation, Orthology Assignments, and Domain Prediction at the Metagenomic Scale. Mol. Biol. Evol. 2021, 38, 5825–5829. [Google Scholar] [CrossRef] [PubMed]
- Wu, T.; Hu, E.; Xu, S.; Chen, M.; Guo, P.; Dai, Z.; Feng, T.; Zhou, L.; Tang, W.; Zhan, L.; et al. clusterProfiler 4.0: A Universal Enrichment Tool for Interpreting Omics Data. Innov. Camb. Mass 2021, 2, 100141. [Google Scholar] [CrossRef] [PubMed]
- Dyer, N.P.; Päuker, B.; Baxter, L.; Gupta, A.; Bunk, B.; Overmann, J.; Diricks, M.; Dreyer, V.; Niemann, S.; Holt, K.E.; et al. EnteroBase in 2025: Exploring the Genomic Epidemiology of Bacterial Pathogens. Nucleic Acids Res. 2025, 53, D757–D762. [Google Scholar] [CrossRef] [PubMed]
- Zhou, Z.; Charlesworth, J.; Achtman, M. HierCC: A Multi-Level Clustering Scheme for Population Assignments Based on Core Genome MLST. Bioinformatics 2021, 37, 3645–3646. [Google Scholar] [CrossRef]
- Zhou, Z.; Alikhan, N.-F.; Sergeant, M.J.; Luhmann, N.; Vaz, C.; Francisco, A.P.; Carriço, J.A.; Achtman, M. GrapeTree: Visualization of Core Genomic Relationships among 100,000 Bacterial Pathogens. Genome Res. 2018, 28, 1395–1404. [Google Scholar] [CrossRef]
- Kalyaanamoorthy, S.; Minh, B.Q.; Wong, T.K.F.; von Haeseler, A.; Jermiin, L.S. ModelFinder: Fast Model Selection for Accurate Phylogenetic Estimates. Nat. Methods 2017, 14, 587–589. [Google Scholar] [CrossRef]
- Srinivasan, U.; Foxman, B.; Marrs, C.F. Identification of a Gene Encoding Heat-Resistant Agglutinin in Escherichia coli as a Putative Virulence Factor in Urinary Tract Infection. J. Clin. Microbiol. 2003, 41, 285–289. [Google Scholar] [CrossRef]
- Munhoz, D.D.; Santos, F.F.; Mitsunari, T.; Schüroff, P.A.; Elias, W.P.; Carvalho, E.; Piazza, R.M.F. Hybrid Atypical Enteropathogenic and Extraintestinal Escherichia coli (aEPEC/ExPEC) BA1250 Strain: A Draft Genome. Pathogens 2021, 10, 475. [Google Scholar] [CrossRef]
- Turton, J.F. Virulence Factors among Isolates of Extraintestinal Escherichia coli (ExPEC) from Hospitals in the United Kingdom. boiRix 2022. [Google Scholar] [CrossRef]
- Butters, A.; Jovel, J.; Gow, S.; Liljebjelke, K.; Waldner, C.; Checkley, S.L. PmrB Y358N, E123D Amino Acid Substitutions Are Not Associated with Colistin Resistance but with Phylogeny in Escherichia coli. Microbiol. Spectr. 2024, 12, e0053224. [Google Scholar] [CrossRef]
- Mercado, E.C.; Rodríguez, S.M.; Elizondo, A.M.; Marcoppido, G.; Parreño, V. Isolation of Shiga Toxin-Producing Escherichia coli from a South American Camelid (Lama Guanicoe) with Diarrhea. J. Clin. Microbiol. 2004, 42, 4809–4811. [Google Scholar] [CrossRef]
- Featherstone, C.A.; Foster, A.P.; Chappell, S.A.; Carson, T.; Pritchard, G.C. Verocytotoxigenic Escherichia coli O157 in Camelids. Vet. Rec. 2011, 168, 194–195. [Google Scholar] [CrossRef] [PubMed]
- Maturrano, L.; Aleman, M.; Carhuaricra, D.; Maximiliano, J.; Siuce, J.; Luna, L.; Rosadio, R. Draft Genome Sequences of Enterohemorrhagic and Enteropathogenic Escherichia coli Strains Isolated from Alpacas in Peru. Genome Announc. 2018, 6, e01391-17. [Google Scholar] [CrossRef] [PubMed]
- Perrin-Guyomard, A.; Jouy, E.; Urban, D.; Chauvin, C.; Granier, S.A.; Mourand, G.; Chevance, A.; Adam, C.; Moulin, G.; Kempf, I. Decrease in Fluoroquinolone Use in French Poultry and Pig Production and Changes in Resistance among E. coli and Campylobacter. Vet. Microbiol. 2020, 243, 108637. [Google Scholar] [CrossRef] [PubMed]
- Yoshida, M.; Thiriet-Rupert, S.; Mayer, L.; Beloin, C.; Ghigo, J.-M. Selection for Nonspecific Adhesion Is a Driver of FimH Evolution Increasing Escherichia coli Biofilm Capacity. microLife 2022, 3, uqac001. [Google Scholar] [CrossRef]
- Zhang, W.; An, E.-K.; Kim, S.-J.; Park, H.-B.; Lee, P.C.W.; Jin, J.-O. Escherichia coli Adhesion Protein FimH Exacerbates Colitis via CD11b+CD103- Dendritic Cell Activation. Front. Immunol. 2023, 14, 1284770. [Google Scholar] [CrossRef]
- Biran, D.; Sura, T.; Otto, A.; Yair, Y.; Becher, D.; Ron, E.Z. Surviving Serum: The Escherichia coli Iss Gene of Extraintestinal Pathogenic E. coli Is Required for the Synthesis of Group 4 Capsule. Infect. Immun. 2021, 89, e00316-21. [Google Scholar] [CrossRef]
- Sarowska, J.; Futoma-Koloch, B.; Jama-Kmiecik, A.; Frej-Madrzak, M.; Ksiazczyk, M.; Bugla-Ploskonska, G.; Choroszy-Krol, I. Virulence Factors, Prevalence and Potential Transmission of Extraintestinal Pathogenic Escherichia coli Isolated from Different Sources: Recent Reports. Gut Pathog. 2019, 11, 10. [Google Scholar] [CrossRef]
- Fabbri, A.; Bracci, L. Immunomodulatory Properties of CNF1 Toxin from E. coli: Implications for Colorectal Carcinogenesis. Am. J. Cancer Res. 2022, 12, 651–660. [Google Scholar]
- Tsoumtsa Meda, L.L.; Landraud, L.; Petracchini, S.; Descorps-Declere, S.; Perthame, E.; Nahori, M.-A.; Ramirez Finn, L.; Ingersoll, M.A.; Patiño-Navarrete, R.; Glaser, P.; et al. The Cnf1 Gene Is Associated with an Expanding Escherichia coli ST131 H30Rx/C2 Subclade and Confers a Competitive Advantage for Gut Colonization. Gut Microbes 2022, 14, 2121577. [Google Scholar] [CrossRef]
- Wallenstein, A.; Rehm, N.; Brinkmann, M.; Selle, M.; Bossuet-Greif, N.; Sauer, D.; Bunk, B.; Spröer, C.; Wami, H.T.; Homburg, S.; et al. ClbR Is the Key Transcriptional Activator of Colibactin Gene Expression in Escherichia coli. mSphere 2020, 5, e00591-20. [Google Scholar] [CrossRef] [PubMed]
- Dhahi, M.A.R. Analysis of the Partial Sequencing of clbA, clbB and clbQ in Escherichia coli Isolates That Produce Colibactin and Multilocus Sequence Typing. Sci. Rep. 2024, 14, 17966. [Google Scholar] [CrossRef] [PubMed]
- Rihtar, E.; Žgur Bertok, D.; Podlesek, Z. The Uropathogenic Specific Protein Gene Usp from Escherichia coli and Salmonella Bongori Is a Novel Member of the TyrR and H-NS Regulons. Microorganisms 2020, 8, 330. [Google Scholar] [CrossRef] [PubMed]
- Molan, K.; Podlesek, Z.; Hodnik, V.; Butala, M.; Oswald, E.; Žgur Bertok, D. The Escherichia coli Colibactin Resistance Protein ClbS Is a Novel DNA Binding Protein That Protects DNA from Nucleolytic Degradation. DNA Repair 2019, 79, 50–54. [Google Scholar] [CrossRef]
- Salinas, L.; Cárdenas, P.; Johnson, T.J.; Vasco, K.; Graham, J.; Trueba, G. Diverse Commensal Escherichia coli Clones and Plasmids Disseminate Antimicrobial Resistance Genes in Domestic Animals and Children in a Semirural Community in Ecuador. mSphere 2019, 4, e00316-19. [Google Scholar] [CrossRef]
- Abdullah, S.; Mushtaq, M.A.; Ullah, K.; Hassan, B.; Azam, M.; Zahoor, M.A.; Wang, J.; Xu, J.; Toleman, M.A.; Mohsin, M. Dissemination of Clinical Escherichia coli Harboring the Mcr-1 Gene in Pakistan. Front. Microbiol. 2025, 15, 1502528. [Google Scholar] [CrossRef]
- Mangroliya, D.; Adhyaru, H.; Kabariya, J.; Ramani, V. Genomic Insights into Plasmid Mediated AMR Genes, Virulence Factors and Mobile Genetic Elements in Raw Milk Escherichia coli from Gujarat, India. Sci. Rep. 2025, 15, 6320. [Google Scholar] [CrossRef]
- Kondratyeva, K.; Salmon-Divon, M.; Navon-Venezia, S. Meta-Analysis of Pandemic Escherichia coli ST131 Plasmidome Proves Restricted Plasmid-Clade Associations. Sci. Rep. 2020, 10, 36. [Google Scholar] [CrossRef]
- Zalewska, M.; Błażejewska, A.; Gawor, J.; Adamska, D.; Goryca, K.; Szeląg, M.; Kalinowski, P.; Popowska, M. A Newly Identified IncY Plasmid from Multi-Drug-Resistant Escherichia coli Isolated from Dairy Cattle Feces in Poland. Microbiol. Spectr. 2024, 12, e0087724. [Google Scholar] [CrossRef]
- Touchon, M.; Perrin, A.; de Sousa, J.A.M.; Vangchhia, B.; Burn, S.; O’Brien, C.L.; Denamur, E.; Gordon, D.; Rocha, E.P. Phylogenetic Background and Habitat Drive the Genetic Diversification of Escherichia coli. PLoS Genet. 2020, 16, e1008866. [Google Scholar] [CrossRef]
- Geurtsen, J.; de Been, M.; Weerdenburg, E.; Zomer, A.; McNally, A.; Poolman, J. Genomics and Pathotypes of the Many Faces of Escherichia coli. FEMS Microbiol. Rev. 2022, 46, fuac031. [Google Scholar] [CrossRef] [PubMed]
- Lv, C.; Abdullah, M.; Su, C.-L.; Chen, W.; Zhou, N.; Cheng, Z.; Chen, Y.; Li, M.; Simpson, K.W.; Elsaadi, A.; et al. Genomic Characterization of Escherichia coli with a Polyketide Synthase (Pks) Island Isolated from Ulcerative Colitis Patients. BMC Genomics 2025, 26, 19. [Google Scholar] [CrossRef]
- James, E.M.; Kimera, Z.I.; Mgaya, F.X.; Niccodem, E.M.; Efraim, J.E.; Matee, M.I.; Mbugi, E.V. Occurrence of Virulence Genes in Multidrug-Resistant Escherichia coli Isolates from Humans, Animals, and the Environment: One Health Perspective. PLoS ONE 2025, 20, e0317874. [Google Scholar] [CrossRef] [PubMed]
- Tantoso, E.; Eisenhaber, B.; Kirsch, M.; Shitov, V.; Zhao, Z.; Eisenhaber, F. To Kill or to Be Killed: Pangenome Analysis of Escherichia coli Strains Reveals a Tailocin Specific for Pandemic ST131. BMC Biol. 2022, 20, 146. [Google Scholar] [CrossRef]
- Mare, A.D.; Ciurea, C.N.; Man, A.; Tudor, B.; Moldovan, V.; Decean, L.; Toma, F. Enteropathogenic Escherichia coli—A Summary of the Literature. Gastroenterol. Insights 2021, 12, 28–40. [Google Scholar] [CrossRef]
- Slater, S.L.; Sågfors, A.M.; Pollard, D.J.; Ruano-Gallego, D.; Frankel, G. The Type III Secretion System of Pathogenic Escherichia coli. Curr. Top. Microbiol. Immunol. 2018, 416, 51–72. [Google Scholar] [CrossRef]
- Braverman, D.; Gershberg, J.; Sal-Man, N. The Transmembrane Domains of the Type III Secretion System Effector Tir Are Involved in Its Secretion and Cellular Activities. Front. Cell. Infect. Microbiol. 2023, 13, 1103552. [Google Scholar] [CrossRef]
- Siuce, J.; Maturrano, L.; Wheeler, J.C.; Rosadio, R. Diarrheagenic Escherichia coli Isolates from Neonatal Alpacas Mainly Display F17 Fimbriae Adhesion Gene. Trop. Anim. Health Prod. 2020, 52, 3917–3921. [Google Scholar] [CrossRef]
- Montso, P.K.; Mlambo, V.; Ateba, C.N. The First Isolation and Molecular Characterization of Shiga Toxin-Producing Virulent Multi-Drug Resistant Atypical Enteropathogenic Escherichia coli O177 Serogroup From South African Cattle. Front. Cell. Infect. Microbiol. 2019, 9, 333. [Google Scholar] [CrossRef]
- Desvaux, M.; Dalmasso, G.; Beyrouthy, R.; Barnich, N.; Delmas, J.; Bonnet, R. Pathogenicity Factors of Genomic Islands in Intestinal and Extraintestinal Escherichia coli. Front. Microbiol. 2020, 11, 2065. [Google Scholar] [CrossRef]
- Anderson, M.A.; Whitlock, J.E.; Harwood, V.J. Diversity and Distribution of Escherichia coli Genotypes and Antibiotic Resistance Phenotypes in Feces of Humans, Cattle, and Horses. Appl. Environ. Microbiol. 2006, 72, 6914–6922. [Google Scholar] [CrossRef]
- González-Santamarina, B.; Weber, M.; Menge, C.; Berens, C. Comparative Genomic Analysis of Antimicrobial-Resistant Escherichia coli from South American Camelids in Central Germany. Microorganisms 2022, 10, 1697. [Google Scholar] [CrossRef] [PubMed]
- Sicha, R.F.; Morales-Cauti, S.; Lucas, L.J.; Eslava, C.C.; Vásquez, C.M.; Barrios, A.M.; Rodríguez, G.J.; Lira, M.B. Análisis Filogenético de Cepas de Escherichia coli Aisladas de Crías de Alpacas (Vicugna pacos) con Diarrea en la Sierra Central del Perú. Rev. Investig. Vet. Perú 2020, 31, e17826. [Google Scholar] [CrossRef]
- Elmarghani, E.D.; Pettersson, J.H.-O.; Atterby, C.; Hickman, R.A.; Seng, S.; San, S.; Osbjer, K.; Magnusson, U.; Mourkas, E.; Järhult, J.D. Genomic Insights into Extended-Spectrum β-Lactamase- and Plasmid-Borne AmpC-Producing Escherichia coli Transmission between Humans and Livestock in Rural Cambodia. J. Med. Microbiol. 2025, 74, 001988. [Google Scholar] [CrossRef] [PubMed]
- Murray, M.; Salvatierra, G.; Dávila-Barclay, A.; Ayzanoa, B.; Castillo-Vilcahuaman, C.; Huang, M.; Pajuelo, M.J.; Lescano, A.G.; Cabrera, L.; Calderón, M.; et al. Market Chickens as a Source of Antibiotic-Resistant Escherichia coli in a Peri-Urban Community in Lima, Peru. Front. Microbiol. 2021, 12, 635871. [Google Scholar] [CrossRef]
- Rwego, I.B.; Gillespie, T.R.; Isabirye-Basuta, G.; Goldberg, T.L. High Rates of Escherichia coli Transmission between Livestock and Humans in Rural Uganda. J. Clin. Microbiol. 2008, 46, 3187–3191. [Google Scholar] [CrossRef]
- Eldesoukey, I.E.; Elmonir, W.; Alouffi, A.; Beleta, E.I.M.; Kelany, M.A.; Elnahriry, S.S.; Alghonaim, M.I.; alZeyadi, Z.A.; Elaadli, H. Multidrug-Resistant Enteropathogenic Escherichia coli Isolated from Diarrhoeic Calves, Milk, and Workers in Dairy Farms: A Potential Public Health Risk. Antibiotics 2022, 11, 999. [Google Scholar] [CrossRef]
- Calderon Toledo, C.; von Mentzer, A.; Agramont, J.; Thorell, K.; Zhou, Y.; Szabó, M.; Colque, P.; Kuhn, I.; Gutiérrez-Cortez, S.; Joffré, E. Circulation of Enterotoxigenic Escherichia coli (ETEC) Isolates Expressing CS23 from the Environment to Clinical Settings. mSystems 2023, 8, e00141-23. [Google Scholar] [CrossRef]
- Gomes, L.; Bordalo, A.A.; Machado, A. Characterization of Escherichia coli Isolates in Recreational Waters: Implications for Public Health and One Health Approach. Water 2024, 16, 2695. [Google Scholar] [CrossRef]
- Kambire, O.; Adingra, A.A.; Yao, K.M.; Koffi-Nevry, R. Prevalence of Virulence Genes Associated with Diarrheagenic Pathotypes of Escherichia coli Isolates from Water, Sediment, Fish, and Crab in Aby Lagoon, Côte d’Ivoire. Int. J. Microbiol. 2017, 2017, 9532170. [Google Scholar] [CrossRef]
- Megantara, I.; Sylviana, N.; Amira, P.A.; Pradini, G.W.; Krissanti, I.; Lesmana, R. Potential of Waterbodies as a Reservoir of Escherichia coli Pathogens and the Spread of Antibiotic Resistance in the Indonesian Aquatic Environment. J. Water Sanit. Hyg. Dev. 2023, 13, 776–792. [Google Scholar] [CrossRef]
- Obi, C.L.; Green, E.; Bessong, P.O.; Villiers, B.D.; Hoosen, A.A.; Igumbor, E.O.; Potgieter, N. Gene Encoding Virulence Markers among Escherichia coli Isolates from Diarrhoeic Stool Samples and River Sources in Rural Venda Communities of South Africa. Water SA 2004, 30, 37–42. [Google Scholar] [CrossRef]
- Olanrewaju, O.S.; Molale-Tom, L.G.; Kritzinger, R.K.; Bezuidenhout, C.C. Genome Mining of Escherichia coli WG5D from Drinking Water Source: Unraveling Antibiotic Resistance Genes, Virulence Factors, and Pathogenicity. BMC Genom. 2024, 25, 263. [Google Scholar] [CrossRef] [PubMed]
- Olsen, S.J.; Miller, G.; Breuer, T.; Kennedy, M.; Higgins, C.; Walford, J.; McKee, G.; Fox, K.; Bibb, W.; Mead, P. A Waterborne Outbreak of Escherichia coli O157:H7 Infections and Hemolytic Uremic Syndrome: Implications for Rural Water Systems. Emerg. Infect. Dis. 2002, 8, 370–375. [Google Scholar] [CrossRef] [PubMed]
- Orsi, R.H.; Stoppe, N.C.; Sato, M.I.Z.; Gomes, T.A.T.; Prado, P.I.; Manfio, G.P.; Ottoboni, L.M.M. Genetic Variability and Pathogenicity Potential of Escherichia coli Isolated from Recreational Water Reservoirs. Res. Microbiol. 2007, 158, 420–427. [Google Scholar] [CrossRef]









| Isolate | Health Condition | Region | MLST | ST Complex | cgST | Phylogroup | Serotype |
|---|---|---|---|---|---|---|---|
| UNAP1_O262 | Diarrhea | Puno | 73 | ST73 Cplx | 321083 | B2 | O22:H1 |
| UNAP2_O263 | Diarrhea | Puno | 73 | ST73 Cplx | 321084 | B2 | O22:H1 |
| UNAP3_O264 | Diarrhea | Puno | 73 | ST73 Cplx | 321085 | B2 | O22:H1 |
| UNAP4_O265 | Diarrhea | Puno | 73 | ST73 Cplx | 321084 | B2 | O22:H1 |
| UNAP5_O266 | Healthy | Puno | - | - | 321086 | B1 | O8:H2 |
| UNAP6_O267 | Healthy | Puno | - | - | 321088 | A | O7:H25 |
| UNAP7_O268 | Diarrhea | Puno | 29 | ST29 Cplx | 321087 | B1 | O109:H11 |
| UNAP8_O269 | Diarrhea | Puno | 29 | ST29 Cplx | 321087 | B1 | O109:H11 |
| UNAP9_O270 | Diarrhea | Puno | 342 | - | 321089 | A | O145:H25 |
| UNAP10_O271 | Diarrhea | Puno | 29 | ST29 Cplx | 321087 | B1 | O109:H11 |
| Plasmid Marker | Description | Genomes |
|---|---|---|
| ColRNAI_1 | A small plasmid with an RNA-based replication origin. Common in cloning vectors, not typically linked to resistance. | UNAP9_O270, UNAP10_O271 |
| IncY_1 | A broad-host-range plasmid often associated with antimicrobial resistance. | UNAP7_O268, UNAP8_O269, UNAP10_O271 |
| IncFIC(FII)_1 | Found in E. coli, often carrying multidrug resistance genes and virulence factors. | UNAP7_O268, UNAP8_O269, UNAP10_O271 |
| IncFIB(pB171)_1_pB171 | Associated with virulence and resistance in E. coli. Plays a role in pathogenesis and gene transfer. | UNAP7_O268, UNAP8_O269, UNAP10_O271 |
| Col(MG828)_1 | A small cryptic plasmid with no known association to resistance or virulence. | UNAP9_O270, UNAP10_O271 |
| Col156_1 | A small plasmid with limited host range, not strongly linked to resistance or virulence. | UNAP5_O266 |
Disclaimer/Publisher’s Note: The statements, opinions and data contained in all publications are solely those of the individual author(s) and contributor(s) and not of MDPI and/or the editor(s). MDPI and/or the editor(s) disclaim responsibility for any injury to people or property resulting from any ideas, methods, instructions or products referred to in the content. |
© 2025 by the authors. Licensee MDPI, Basel, Switzerland. This article is an open access article distributed under the terms and conditions of the Creative Commons Attribution (CC BY) license (https://creativecommons.org/licenses/by/4.0/).
Share and Cite
Zapata, C.; Rodríguez, L.; Romero, Y.; Coila, P.; Hañari-Quispe, R.D.; Oros, O.; Zanabria, V.; Quilcate, C.; Rojas, D.; Cruz, J.; et al. Genomic Characterization of Escherichia coli Isolates from Alpaca Crias (Vicugna pacos) in the Peruvian Highlands: Insights into Functional Diversity and Pathogenicity. Microorganisms 2025, 13, 1533. https://doi.org/10.3390/microorganisms13071533
Zapata C, Rodríguez L, Romero Y, Coila P, Hañari-Quispe RD, Oros O, Zanabria V, Quilcate C, Rojas D, Cruz J, et al. Genomic Characterization of Escherichia coli Isolates from Alpaca Crias (Vicugna pacos) in the Peruvian Highlands: Insights into Functional Diversity and Pathogenicity. Microorganisms. 2025; 13(7):1533. https://doi.org/10.3390/microorganisms13071533
Chicago/Turabian StyleZapata, Celso, Lila Rodríguez, Yolanda Romero, Pedro Coila, Renán Dilton Hañari-Quispe, Oscar Oros, Victor Zanabria, Carlos Quilcate, Diórman Rojas, Juancarlos Cruz, and et al. 2025. "Genomic Characterization of Escherichia coli Isolates from Alpaca Crias (Vicugna pacos) in the Peruvian Highlands: Insights into Functional Diversity and Pathogenicity" Microorganisms 13, no. 7: 1533. https://doi.org/10.3390/microorganisms13071533
APA StyleZapata, C., Rodríguez, L., Romero, Y., Coila, P., Hañari-Quispe, R. D., Oros, O., Zanabria, V., Quilcate, C., Rojas, D., Cruz, J., Ortiz, N., & Estrada, R. (2025). Genomic Characterization of Escherichia coli Isolates from Alpaca Crias (Vicugna pacos) in the Peruvian Highlands: Insights into Functional Diversity and Pathogenicity. Microorganisms, 13(7), 1533. https://doi.org/10.3390/microorganisms13071533

